Derivative Formulas

0.0(0)
studied byStudied by 0 people
0.0(0)
full-widthCall Kai
learnLearn
examPractice Test
spaced repetitionSpaced Repetition
heart puzzleMatch
flashcardsFlashcards
GameKnowt Play
Card Sorting

1/25

encourage image

There's no tags or description

Looks like no tags are added yet.

Study Analytics
Name
Mastery
Learn
Test
Matching
Spaced
Call with Kai

No study sessions yet.

26 Terms

1
New cards
<p></p>

<p></p>
2
New cards
<p></p>

knowt flashcard image
3
New cards
<p>k is a constant</p>

k is a constant

knowt flashcard image
4
New cards
term image
knowt flashcard image
5
New cards
term image
knowt flashcard image
6
New cards
term image
knowt flashcard image
7
New cards
term image
knowt flashcard image
8
New cards
term image
knowt flashcard image
9
New cards
term image
knowt flashcard image
10
New cards
<p></p>

knowt flashcard image
11
New cards
term image
knowt flashcard image
12
New cards
term image
knowt flashcard image
13
New cards
term image
knowt flashcard image
14
New cards
term image
knowt flashcard image
15
New cards
term image
knowt flashcard image
16
New cards
term image
knowt flashcard image
17
New cards
term image
knowt flashcard image
18
New cards
term image
knowt flashcard image
19
New cards
term image
knowt flashcard image
20
New cards
term image
knowt flashcard image
21
New cards
term image
knowt flashcard image
22
New cards
term image
knowt flashcard image
23
New cards
term image
knowt flashcard image
24
New cards
term image
knowt flashcard image
25
New cards
term image
knowt flashcard image
26
New cards
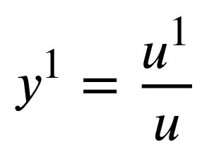
<p>What is y^1?</p>

What is y^1?

knowt flashcard image