limits final

0.0(0)
studied byStudied by 4 people
0.0(0)
full-widthCall Kai
learnLearn
examPractice Test
spaced repetitionSpaced Repetition
heart puzzleMatch
flashcardsFlashcards
GameKnowt Play
Card Sorting

1/5

encourage image

There's no tags or description

Looks like no tags are added yet.

Study Analytics
Name
Mastery
Learn
Test
Matching
Spaced

No study sessions yet.

6 Terms

1
New cards
term image

0

sinx *lnx = 0

2
New cards
term image

-2/pi

constant/pi
negate

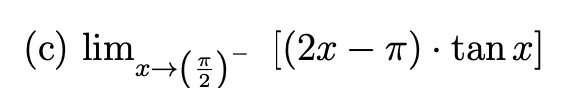
3
New cards
<p></p>

1
(x-pi)tan = 1

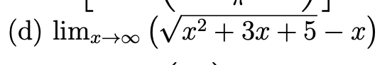
4
New cards
term image

3/2

b/2

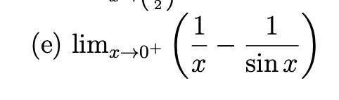
5
New cards
term image

-infinity

1/x-1/sinx = -infinty

6
New cards
term image

2/3

constant / fraction
1/3
× 2