1/31
Looks like no tags are added yet.
Name | Mastery | Learn | Test | Matching | Spaced |
|---|
No study sessions yet.

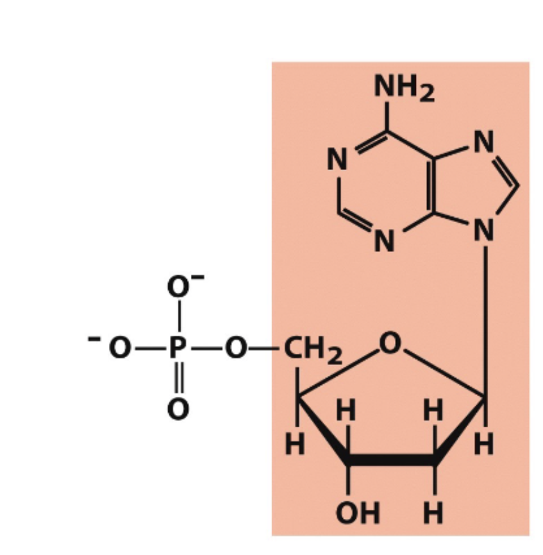
what is the nucleotide name?
Deoxyadenylate

what is the nucleotide name?
Deoxyguanylate

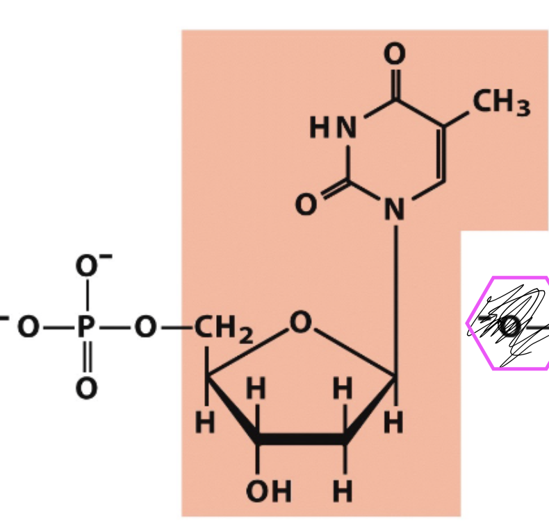
what is the nucleotide name?
Deoxythymidylate

what is the nucleotide name?
Deoxycytidylate
Deoxyadenylate nucleotide full name
deoxyadenosine 5'-monophosphate
Deoxyguanylate nucleotide full name
deoxyguanosine 5'-monophosphate
Deoxythymidylate nucleotide full name
deoxythymidine 5'-monophosphate
Deoxycytidylate nucleotide full name
deoxycytidine 5'-monophosphate
Deoxyadenylate symbols
A
dA (two letter codes)
dAMP (four letter codes)
Deoxyguanylate symbols
G
dG (two letter codes)
dGMP (four letter codes)
Deoxythymidylate symbols
T
dT (two letter codes)
dTMP (four letter codes)
Deoxycytidylate symbols
C
dC (two letter codes)
dCMP (four letter codes)
Deoxyadenylate nucleoside name
Deoxyadenosine
Deoxyguanylate nucleoside name
Deoxyguanosine
Deoxythymidylate nucleoside name
Deoxythymidine
Deoxycytidylate nucleoside name
Deoxycytidine

what is the nucleotide name?
Adenylate

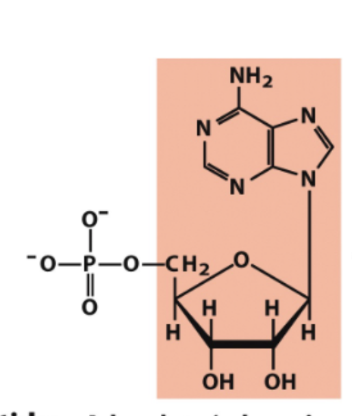
what is the nucleotide name?
Guanylate

what is the nucleotide name?
Uridylate

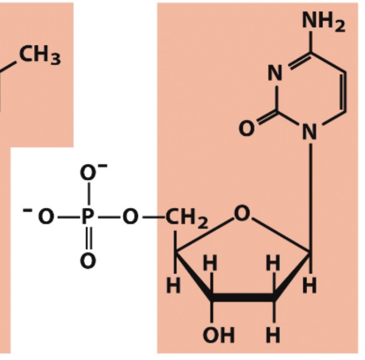
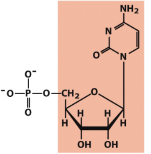
what is the nucleotide name?
Cytidylate
Adenylate nucleotide full name
adenosine 5’- monophosphate
Guanylate nucleotide full name
guanosine 5’- monophosphate
Uridylate nucleotide full name
Uridine 5’- monophosphate
Cytidylate nucleotide full name
Cytidine 5’- monophosphate
Adenylate Symbols
A
AMP
Guanylate Symbols
G
GMP
Uridylate Symbols
U
UMP
Cytidylate Symbols
C
CMP
Adenylate Nucleoside Name
Adenosine
Guanylate Nucleoside Name
Guanosine
Uridylate Nucleoside Name
Uridine
Cytidylate Nucleoside Name
Cytidine