1/26
Looks like no tags are added yet.
Name | Mastery | Learn | Test | Matching | Spaced | Call with Kai |
|---|
No analytics yet
Send a link to your students to track their progress

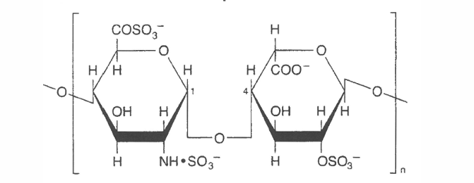
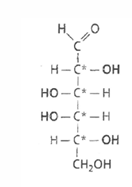
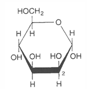
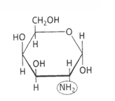
nom de la molécules et nom de celle de d et de g
ses caractéristiques, motifs, rôle
polysaccharides
motifs répétés par des liaison 1-4
configuration β vers l’extérieur du motif
rôle d’anticoagulant


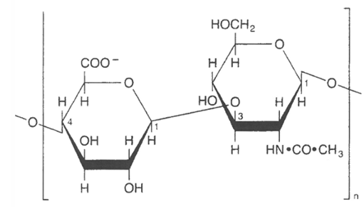
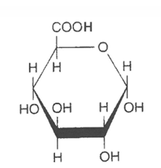
nom de la molécules et nom de celle de d et de g
caractéristiques, motifs, dans quelle structures est elle présente
Polysaccharide
constitué de motifs répétés reliés par des liaison β(1→4) entre les motifs et β(1→3 à l’intérieur du motif)
Groupement sulfate donne une charge - à la molécule
présente dans les tissus conjonctif (cartilage)


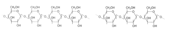
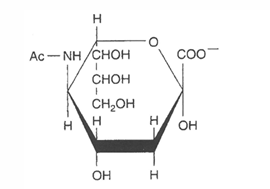
nom de la molécules et nom de celle de d et de g
caractéristiques, motifs, dans quelle structures est elle présente, enzyme
Polysaccharide, motifs répétés reliés par des liaisons β(1→3) et β(1→4).
Présent dans de nombreux liquides biologiques (liquide articulaire: synovial) et tissus conjonctifs
Barrière contre les substances étrangères
Dégradé par son Enzyme hyaluronidase (produite par des bactéries)


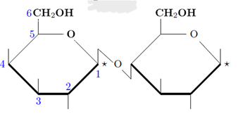
nom de la molécules et nom de celle de d et de g
caractéristiques, motifs, dans quelle structures est elle présente
Polysaccharide, motifs répétés de N-acétylglucosamine reliés par des liaisons β(1→4)
Structure proche de celle de la cellulose: grande résistance mécanique
Présente dans l’exosquelette des insectes


nom de la molécules
caractéristiques, motifs, dans quelle structures est elle présente, son enzyme
Polysaccharide NON RAMIFIE constitué de résidus de glucose reliés par des liaisons β(1→4)
représente environ 50% du carbone présent dans le monde végétale: principale substance de soutient des végétaux
insoluble: bcp de liaison H
son enzyme: cellulase
absente chez l’humain: pas digérée par l‘homme
présente chez les ruminant


nom de la molécules
caractéristiques, motifs, dans quelle structures est elle présente
Polysaccharide de réserve de glucose chez les animaux
stocké: foie (+ riche en glycogène/g de tissus), muscle(masse total glycogène + importante)
très ramifié: liaison α(1→4) dans les chaînes et des ramifications α(1→6) très rapprochée
toutes les 10 à 18 unités de glucose


nom de la molécules
caractéristiques, motifs, dans quelle structures est elle présente
polysaccharide avec 1 seul type de sucre (glucose)= Homopolysaccharide
molécule de réserve nrgétique chez les plantes, nutritionnel chez l’Homme

2 composantes de l’amidon
Amylose: chaines linéaire en hélice, représentant environ 15 à 20 % de l’amidon total
Amylopectine: très ramifiée, avec des chaînes de 24 à 30 résidus de glucose, reliées par des liaisons α(1→4) et des liaisons α(1→6) aux points de ramification



nom de la molécules
caractéristiques, motifs
Disaccharide (glucose + fructose)
sucre de table (café, thé), Les deux unités sont reliées par une liaison α(1→2) glycosidique, impliquant les groupements réducteurs des deux sucres, ce qui fait du saccharose un sucre non réducteur




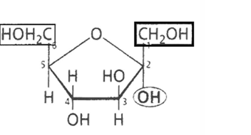
nom de la molécules
caractéristiques
α - D- Galactose
monosaccharide, sucre réducteur, activité dextrogyre
nom de la molécules
caractéristiques
α - D- Galactose
monosaccharide, sucre réducteur, activité dextrogyre


nom de la molécules
caractéristiques,
α - D- mannose
monosaccharide, surtout chez les véféteaux, soluble, dextrogyre, chaine de galatane


α - D- Fructo furanose

α - D- frustofuranose
fruit, liquide séminal H

ribose








caractéristique et nom
Acide gluconique
par oxydation d’un groupement aldéhyde, facilement cyslisé

nom et caractéristique
obtenu par fonction alcool primaire, l’1 des A le + répandu dans l’organisme, élimination des éléments étrangers de la circulation




c’est de la vitamine C, effet réducteur, antioxydant très puissant qu’on va trouver dans la nourriture : végétaux frais, un déficit donne le scorbut. Très soluble


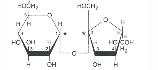
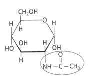
nom et nom des 2 molécules d et g
caractéristiques
Disaccharide du lait, galactose et glucose, liaison beta 1-4, il conserve son caractères réducteur, au nvo de la santé on peut avoir des troubles : intolérance lactose


Disaccharide, sucre réducteur
très soluble dans l’eau et est dextrogyre
il peut former des chaînes de galactanes ou de mannanes
