1/14
Looks like no tags are added yet.
Name | Mastery | Learn | Test | Matching | Spaced | Call with Kai |
|---|
No analytics yet
Send a link to your students to track their progress
Law of Reflection
angle of incidence = angle of reflection

Focal Length of Spherical Mirror
ignoring spherical abberation. f = focal length; r = radius of curvature of spherical mirror

Mirror/ Lens Equations
Where
d0 = object distance from mirror/lens
di = image distance from mirror/lens
f = focal length
m = magnification
hi = image height
ho = object height

index of refraction
where
n = index of refraction
v = speed of light in that material
c = speed of light in a vacuum (3 × 10^8 m/s)

Law of Refraction/Snell’s Law
where
n1 = index of refraction of medium 1
theta 1 = angle of light in medium 1
n2 = index of refraction of medium 2
theta 2 = angle of light in medium 2

Total Internal Reflection
where
n1 = index of refraction of medium 1
theta c = critical angle
n2 = index of refraction of medium 2

Magnification of Magnifying Glass
Where
M = magnification
theta’ = angle image makes with eye
theta = angle object makes with eye

Magnification of eye focused for near point (no object distance)
where
M = magnification
N = near point (usually 25cm)
f = focal length

Magnification of “relaxed” eye
where
M = magnification
N = near point (usually 25 cm)
f = focal length

Image size
where
s = image size
theta = angle that object “occupies” in the field of view
f = focal length

Angular Resolution
theta res = angular resolution
lambda = incoming light wavelength
D = device diameter

Snell’s Law (Waves)
where
n1 = index of refraction of medium 1
lambda 1 = light wavelength in medium 1
n2 = index of refraction of medium 2
lambda 2 = light wavelength in medium 2

speed of light (waves)
where
c = speed of light
lambda = wavelength
f = frequency

Constructive Interference
where
d = gap between slits
lambda = light wavelength
m = whole number order

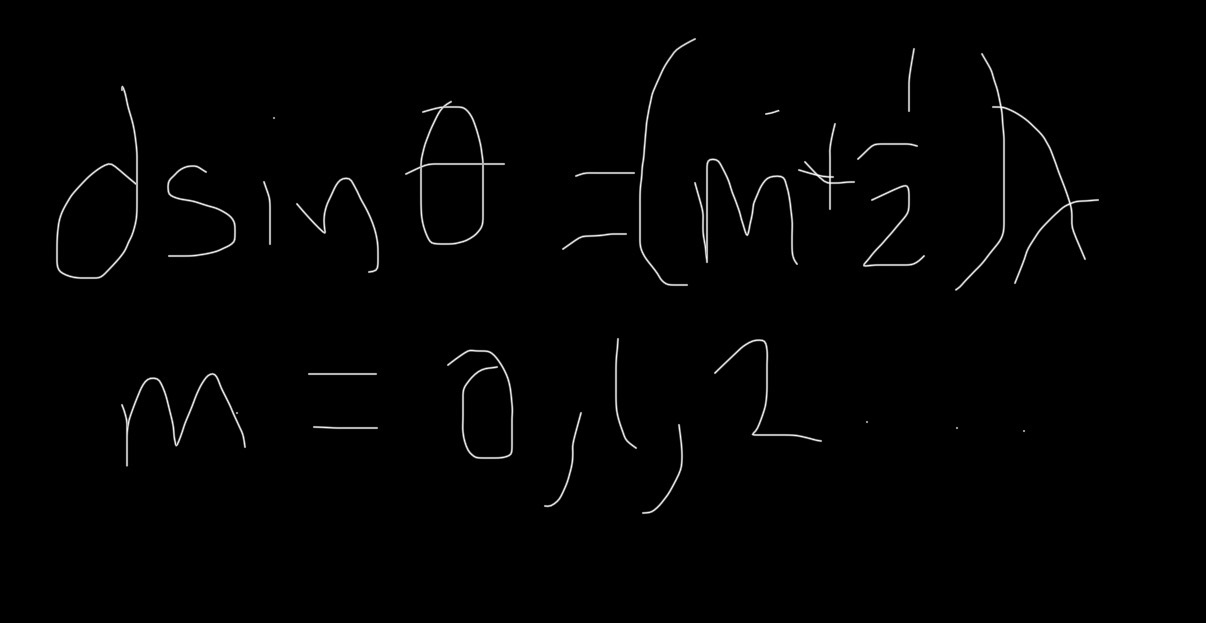
Destructive Interference
where
d = gap between slits
lambda = light wavelength
m = whole number order
