1/73
Mostly conceptual. Some practice of variables
Name | Mastery | Learn | Test | Matching | Spaced | Call with Kai |
|---|
No analytics yet
Send a link to your students to track their progress
Purpose of primary treatment
removal of suspended solids by sedimentation
Types of settling and sedimentation
•Type 1: Discrete particle settling
•Type 2: Flocculant settling
•Type 3: Hindered or zone settling
•Type 4: Compression settling
Discrete particle settling (key characteristics)
particles settle as individual entities. particles in low solids concentration.
Application of discrete particle settling
observed in grit chambers and presedimentation tanks
Flocculant settling (key characteristics)
In dilute suspensions of particles that coalesce (flocculate). This increases the mass of particles and settling speed.
Application of flocculant settling
In sedimentation tanks or seen in flocculant removal in clarifiers after chemical coagulation-flocculation
Hindered or zone settling (key characteristics)
in intermediate concentrations, inter-particle forces hinder settling. particles settle as a unit.
application of hindered or zone settling
in secondary clarifiers after biological treatment
compression settling (key characteristics)
high concentration of particles leads to formation of a structure. compression is required which comes from the growing weight of the structure
application of compression settling
bottom of secondary clarifiers and sludge thickeners
Sum of forces in the y direction for Discrete Particle Settling
FD = Fg - Fb = (pb - pw)gVp

Drag Force Equation

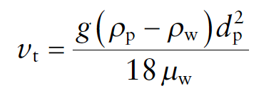
Terminal Velocity Equation

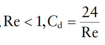
Reynolds number Equation. Phi is the particle shape factor, uw is the dynamic viscosity of water.

Laminar Flow

Transitional Flow

Turbulent Flow

Stokes Equation. Use when flow is laminar and particles are spherical.
Describe the Ideal Design of a Sedimentation tank

How to find detention time

What is design settling velocity, how do you find it?
Same as Surface Overflow Rate (SOR)

100% of particles will be removed if
settling velocity, vs > vo
Particles will be removed partially if
If vs < vo, percent of vs/vo
Steps for finding percent removal of particles if 100% is removed for a different size.
Assume laminar flow and calculate vt for known particle size. Check Re and recalculate if necessary until values converge.
Assume laminar flow for new particle size. find vt through the same guess and check. use vt2/vt1
Weir Loading Rate

What happens in Secondary Treatment
Biological treatment of primary effluent wastewater
Purpose of secondary treatment
reduce BOD and suspended solids to acceptable levels. nutrients may also be removed.
phases of biomass yield


what relationship does this curve show
microbial growth and substrate utilization
aerobic
requiring oxygen
anaerobic
no oxygen

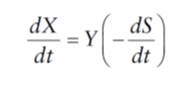
variables in this equation
biomass growth rate, biomass yield, substrate (food) utilization
how to find biomass yield

what are the ranges for biomass yield
aerobic: 0.4 < Y < 0.8
anaerobic: 0.08 < Y < 0.2
how to find biomass growth rate using specific growth rate

describe/draw the Monod Model


describe the variables in this equation
maximum specific growth rate, 1/days
substrate concentration, mg/L
half-saturation coefficient
the monod model at high substrate concentrations
(S » Ks) u=umax
the Monod model at low substrate concentrations
(S « Ks)

what is endogenous decay
kd, 1/days
rate of microorganisms breaking down on their own during the death and decay phase
how to find a microorganism net growth rate constant
use the net growth rate equation and divide by concentration, X to get a value in the units 1/days
what do umax and Ks describe
the organisms ability to function in the environment
High umax means
the organism will take up substrate very fast
low Ks means
the organism will take up substrate very efficiently
how to check efficiency of organisms based on umax and Ks
compare specific growth rate at initial concentration and goal concentration for both organisms
what are the 2 categories of biological treatment
suspended growth
attached growth
what is suspended growth
microorganisms are kept in suspension in a biological reactor to treat organic matter
3 components of suspended growth
a bio reactor with aerated microorganisms in suspension
sedimentation tank or clarifier
recycle system to return settled solids from the clarifier to the reactor

what is MLSS
Mixed Liquor Suspended Solids. Concentration of solids/microorganisms in a reactor (X)
what is SRT
Solids Retention Time (theta c). mass of solids in a reactor divided by the mass of solids wasted per day
what does the F/M ratio describe
The ratio of Food to Microorganisms in a reactor
describe/ draw the F/M ratios during microbial growth
lag phase
exponential phase - F/M = 1
stationary phase - 0.2 < F/M < 0.4
death phase - F/M = 0.05

what is the volumetric loading rate
(VL) is the mass of substrate/food per unit volume
units of volumetric loading rate
kg/m³d
what is HRT
Hydraulic Retention Time: time spent by a fluid particle in a reactor before discharge (theta)
what is the common range of HRT
3-8 hours

describe the graphical representation of this equation
a graph of 1/SRT vs the specific substrate utilization, U, would have a slop of Y and an intercept of kd.
how to find mass and volume of solids wasted per day
mass = Qw x Xu
volume = Qw

Types of suspended growth processes
conventional
oxidation ditch
sequencing batch reactor
membrane biological reactor
types of conventional activated sludge processes
•Step aeration or step feed process
•Tapered aeration process
•Contact stabilization process
•Staged activated sludge process
•Extended aeration process
Describe a Sequencing Batch Reactor (SBR)
A Fill-and -draw-type reactor where all processes (aeration, biodegradation, and settling) occur in a single reactor
Describe a Membrane biological reactor (MBR)
Uses a biological reactor with suspended biomass for BOD and/or nitrogen removal, and uses filtration membranes for solid separation
Advantages of a MBR
Can operate at high MLSS, can handle high volumetric loading and short hydraulic retention times. creates less sludge with a longer SRT and does not require a secondary clarifier. also lowers TSS, BOD, pathogens and turbidity
Disadvantages of a MBR
high capital cost, high membrane replacement cost, high energy cost
Stabilization ponds and lagoons
large earthen basins in which wastewater is retained long enough for natural purification processes to provide the required degree of treatment. Ponds use no mechanical mixing. Lagoons use mechanical mixing
advantages of stabilization ponds and lagoons
low cost, large volume, takes advantage of dilution
disadvantages of stabilization ponds and lagoons
large area is required, odor, high suspended solids in effluent, less effective in colder temperatures
what is attached growth
microorganisms are attached to an inert medium forming a biofilm. wastewater comes in contact and microorganisms degrade the organic matter. a secondary clarifier is used, but sludge recirculation is not necessary.
advantages of attached growth
low cost, low energy, simple operation, low sludge production and sludge bulking
disadvantages of attached growth
less efficient at low temperatures, mass transfer and diffusion limitations can occur, odor, worse effluent condition
3 attached culture systems
trickling filter, bio-tower, rotating biological contractor
Biofilm formation
microorganisms attach to media and grow a biofilm. wastewater passes through and suspended/colloidal particles are absorbed and decomposed into soluble products. O2 from waste and air voids creates aerobic condition.
what is sloughing
when biofilm is pulled off the medium due to the shearing action of wastewater flow.
BOD loading vs loading rate
BOD loading (W1) is QSo, and BOD loading rate is QSo/V. So BOD loading rate is W1/V.