1/80
Looks like no tags are added yet.
Name | Mastery | Learn | Test | Matching | Spaced | Call with Kai |
|---|
No analytics yet
Send a link to your students to track their progress
Quels sont les 5 rôles des glucides?
1. Structure
2. Réserves énergétiques
3. Composants de métabolites fondamentaux
4. Signes de reconnaissance
5. Déterminants antigéniques
Quels sont les 3 grand types de glucides?
Oses (réducteurs, non hydrolysables), Osides (réducteurs ou non), Glycoconjugués (structures glucidiques complexes associés de façon covalente)
Quels sont les deux types d'osides?
Les Holosides et Les Hétérosides
De quoi sont constitués les Holosides?
De plusieurs oses
De quoi sont constitués les Hétérosides?
De 1 ou plusieurs oses + aglycone (protéines, bases, lipides etc)
Quels sont les deux types d'holosides?
Les Oligosides (2-10 oses), et les Polyosides (>10 oses).
Comment nomme-t-on les oses?
Selon la position du OH porté par le carbone asymétrique le plus éloigné de la fonction aldéhyde ou cétone.
Quelles sont les deux séries des oses?
Les séries L et D
Quelles sont les caractéristiques des oses de la séries D?
- Ils sont rattachés au D-glycéraldéhyde
- Le OH est à D-roite
- Rare dans la nature
Quelles sont les caractéristiques des oses de la série L?
- Plus fréquent dans la nature
- Le OH est à gauche (L-eft)
- Dérivement par voie chimique du L(glycéraldéhyde)
Quelles sont les isomères?
Même formule brute, molécules différentes
Quelles sont les stéréoisomères?
Même formule développée, différent position d'aomes OU groupes d'atome dans l'espace.
Quels sont les énantiomères?
Stéréoisomères de configuration, image dans le miroir (non superposables), isomères optiques.
Quels sont les trois principaux oses naturels selon Fischer?
Ils sont les Aldohexoses (Série D):
D Gal
D Glc
D Man
Quel est la notion d’épimère chez les oses?
Les molécules ne diffèrent que par la configuration absolue d’1 C asymétrique.
Structure cyclique des oses
En solution, les oses sont en forme cyclique. Liaison entre C=O et HO ce qui forme un hémiacétal.
Quelles sont les deux formes de hémicétal?
Pyranose: 6 côtés (99%)
Furanose: 5 côtés (<1%)
Quelle est la notion de mutarotation des oses?
C’est l’équilibre dans les solution ou les cycles se forment et se rompent en permanence.
Qu’est ce l’anomérie dans les oses?
C’est le principe que le groupement OH en C-1 (aldoses) ou C-2 (cétoses) peut être situé soit au dessous (α) du plan soit au dessus (β).
Quelles sont quelques exemples de conformations possible avec le cycle pyranose?
Chair
Boat
Skew
Chair (inversé)
Half-Chair
Envelope

Quelle est la nomenclature de cette molécule?
Quelle est la nomenclature de cette molécule?
α-D-Glucose-6-phosphate
Quels sont quelques dérivés d’acides d’oses?
Acides aldoniques: oxydation de la fonction hémiacétalique des aldoses
Acides uroniques: oxydation de la fonction alcool primaire en C6
De quoi sont constitués les glycosaminoglycanes?
Acides uroniques
Quelles sont les osides?
Elles sont des molécules dont l’hydrolyse fournit 2 ou plusieurs molécules doses (identiques ou différents)
Quels sont les deux types d’osides?
Holosides (plusieurs oses) et Hétérosides (ose + aglycone)
Quels sont les deux types d’holosides?
Oligosides: 2-10 oses
Polyosides: >10 oses
Comment se lie les osides?
Par des liaisons osidique (notamment glycosidique)
Que donne des oses qui sont liés ensembles et quel est son caractéristique?
Elles forment des diholoside qui peut être soit réducteur soit non réducteur.
Quel est la difference entre un diholoside réducteur et non réducteur?
Réducteur
Liaison osido-ose
Possède un OH libre sur le carbone anomérique d’un des monosaccharides.
Peut réduire des réactifs chimiques (ex. Fehling, Benedict).
Non réducteur
Liaison osido-osidique
Tous les carbones anomériques sont impliqués dans la liaison glycosidique.
Ne peut pas réduire de réactifs chimiques.

Diholoside: Maltose
Diholoside réducteur formé de deux molécules de glucose.
Liaison glycosidique α(1→4).
Présent dans la dégraduation de l’amidon.

Diholoside: Lactose
Diholoside réducteur formé de glucose + galactose.
Liaison glycosidique β(1→4).
Sucre principal du lait.

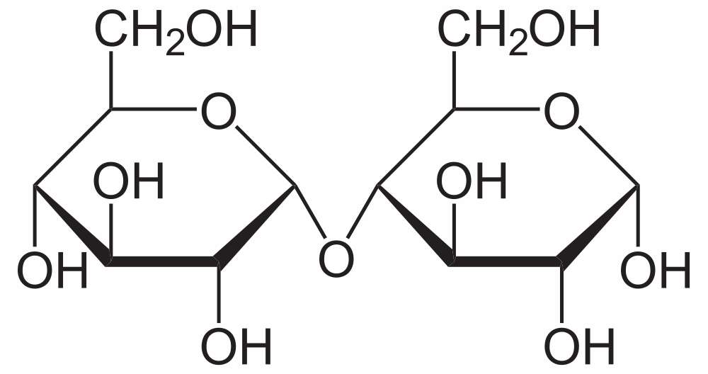
Diholoside: Saccharose
Diholoside non réducteur formé de glucose + fructose.
Liaison glycosidique α(1→2) entre les deux carbones anomériques.
Sucre commun du sucre de table.

Polyosides ou Polysaccharides complexes: Cellulose
Polysaccharide réducteur partiel composé de glucose.
Formé de amylose (α(1→4)) et amylopectine (α(1→4) + α(1→6)).
Principal sucre de réserve chez les plantes.

Polyosides ou Polysaccharides complexes: L’amidon
Polysaccharide réducteur partiel composé de glucose.
Très ramifié : α(1→4) chaînes linéaires + α(1→6) ramifications.
Sucre de réserve chez les animaux, surtout dans le foie et les muscles.

Polyosides ou Polysaccharides complexes: Le glycogène
Polysaccharide non réducteur formé de glucose.
Chaînes linéaires β(1→4) avec liaisons H entre chaînes.
Constituant principal des parois végétales, indigestible pour l’homme.
Quels sont les glycosaminoglycanes?
Polysaccharides anioniques constitués par la répétition d’unités disaccharidiques formant des chaines linéaires généralement de grande taille.
Quels sont les caractéristiques de glycosaminoglycanes?
Constituant de la matrice extracellulaire
Liés à des protéines particulières pour former de protéoglycanes (exception: acide hyaluronique)
Quels sont les caractéristiques des unités disaccharides qui foment les glycosaminoglycanes?
Composée de 2 monosaccharides :
Glucosamine ou galactosamine dérivée
Acide uronique ou galactose
Au moins un monosaccharide possède un groupement anionique (ex. –SO₃⁻ ou –COO⁻)
Comment se lient les glycosaminoglycans avec les protéines?
Types de GAG concernés : chondroïtine sulfate, dermatane sulfate, héparine sulfate.
Type de liaison : liaison O-glycosidique entre sérine (protéine) et hexose (GAG).
Motif : hexose associé à un trisaccharide qui sert de point d’attache.
Résultat : formation d’un protéoglycane = GAG + protéine.
Glycoprotéines: Kératane sulfate
Types de liaison possibles :
O-glycosidique : entre sérine ou tyrosine et N-acétylgalactosamine.
N-glycosidique : entre asparagine et N-acétylglucosamine.
Ces liaisons permettent de former des protéoglycanes.
Qu’est ce qu’une glycoprotéine?
Une glycoprotéine est une protéine modifiée qui possède une ou plusieurs chaînes de sucres (os ou dérivés d’os) attachées de manière covalente à certains acides aminés, formant ainsi un hétéroprotéine.
Quels sont les caractéristiques des glycoprotéines?
Les oligosaccharides se fixent sur les protéines par des liaisons N-osidiques sur l’amide d’une asparagine, formant une protéine glycosylée.
La glycosylation module la structure et la fonction de la protéine sans changer l’information génétique.
Quelle est la définition des lipides?
Des composés ternaires constitués de C, H, O
Esters d’acides gras + alcools
Quels sont les trois types d’alcool estérifiés par des acides gras?
Glycérol (donne glycérides)
Cholestérol (donne Stérides)
Alcool à MM élevé (donne Cérides)
Quels sont les caractéristiques des acides gras?
Possède une fonction COOH
Longue chaine carbonéd (2 à 24 carbones)
Nombre pair d’atomes de carbone
Ne circulent pas librement sous forme d’acide mais sous forme estérifiée
Quel est la nomenclature de l’acide gras à 4 carbonnes?
Butyrique
Quel est la nomenclature de l’acide gras à 6 carbonnes?
Caproïque
Quel est la nomenclature de l’acide gras à 8 carbonnes?
Caprylique
Quel est la nomenclature de l’acide gras à 10 carbonnes?
Caprique
Quel nombre de carbonnes possèdent les acides gras à courte chaîne?
2 à 10
Quel est la nomenclature de l’acide gras à 12 carbonnes?
Laurique
Quel est la nomenclature de l’acide gras à 14 carbonnes?
Myristique
Quel est la nomenclature de l’acide gras à 16 carbonnes?
Palmitique
Quel est la nomenclature de l’acide gras à 18 carbonnes?
Stéarique
Quel nombre de carbonnes possèdent les acides gras à chaîne moyenne?
12 à 18
Quel nombre de carbonnes possèdent les acides gras à chaîne longue?
20+
Quels sont les acides gras saturés les plus représentatifs?
4C → Acide butyrique
16C → Acide palmitrique
18C → Acide stéarique
Quel est le premier carbone chez les acides gras saturés?
Le carboxyl
Quel est l’origine des acides gras saturés?
Exogène: par alimentation (viandes, lait etc)
Endogène (voie malonique = fabriqué par le corps)
Ou se trouvent principalement les acides gras saturés?
Tissus adipeux (type de tissue conjonctif)
Tissus de protection des organes
Circulation sanguine
Quel est le rôle principal des acides gras saturés?
Rôle énergétique: 1g=9kCal
Quels sont les 2 notations possible des acides gras insaturés?
Soit en partant du carboxyle → ∆
Soit en partant du méthyl (dernier carbonne) → ω
Quelle est la différence entre les acides gras saturés et insaturés?
Saturés = pas de double liaison, chaîne saturée en hydrogène
Insaturés = une ou plusieurs double liasons, chaîne n’est pas complétement saturés par des hydrogènes
Quels sont les triglycérides?
Esters du glycérol
Si on a une esterification → monoglycérides
Si on a deux esterifications → diglycérides
Si on a trois esterifications → triglycérides
Quels sont les cérides?
Esters d’alcool gras
Quels sont les stérides?
Esters de stérol