Hydrogen Atom Radial Wave Functions

0.0(0)
studied byStudied by 0 people
0.0(0)
full-widthCall Kai
learnLearn
examPractice Test
spaced repetitionSpaced Repetition
heart puzzleMatch
flashcardsFlashcards
GameKnowt Play
Card Sorting

1/5

encourage image

There's no tags or description

Looks like no tags are added yet.

Study Analytics
Name
Mastery
Learn
Test
Matching
Spaced

No study sessions yet.

6 Terms

1
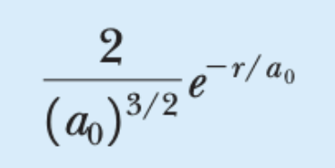
New cards

n = 1
l = 0

knowt flashcard image
2
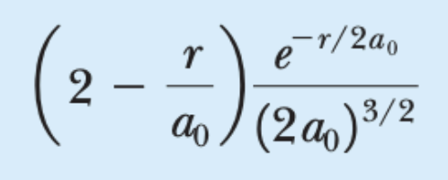
New cards

n = 2
l = 0

knowt flashcard image
3
New cards

n = 2
l = 1

knowt flashcard image
4
New cards

n = 3
l = 0

knowt flashcard image
5
New cards

n = 3
l = 1

knowt flashcard image
6
New cards

n = 3
l = 2

knowt flashcard image