1/69
Looks like no tags are added yet.
Name | Mastery | Learn | Test | Matching | Spaced | Call with Kai |
|---|
No analytics yet
Send a link to your students to track their progress

adenine

thymine

cytosine

guanine

uracil
PRPP is made from
ribose 5-phosphate
What enzyme makes PRPP?
PRPP synthetase
Pyrimidibe synthesis proceeds by first making the pyrimidine ring in the form of
orotate

OMP/ortidylate
Where is CPS-II located
cytosol
What does CPS-II do?
it makes carbamoyl phosphate using glutamine, CO2, and ATP
CPS-II is dependent on
glutamine
CPS-II has an _______________ to prevent protonation of ammonia
ammonia tunnel
There are ___ carbamoyl pools located in
2; mitochondria; cytosol
A UCD could lead to the leakage of carbamoyl phosphate, leading to
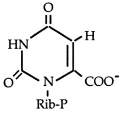
orotic aciduria
Aspartate transcarbomoylase catalyzes
aspartate —> carbamoylaspartate
dihydroorotase
carbamoylaspartate —> dihydroorotate
dihydroorotate dehydrogenase (DHODH)
dihydroorotate —> orotate
orotate phosphoribosyltransferase
orotate—> OMP/ortidylate

orotic acid/orotate
ortidylate decarboxylase
orotidylate —> uritidylate UMP

UMP/uritidylate
kinases
UMP—> UTP (uridine 5’-triphosphate)
cytidylate synthetase (CS-II)
UTP—>CTP

UTP

CTP
thymidylate synthase
dUMP—> dTMP
dihydrofolate reductase
dihydrofolate—> tetrahydrofolate
CAD complex
CPSII
ATCase
DHODH
CPSII is inhibited by
UTP
CPSII is activated by
PRPP
Aspartate transcarbamoylase (ATCase) is inhibited by
CTP
ATCase is activated by
ATP
CSII is activated by
GTP
prymidine degradation lead to NH4 production and
urea cycle
Carbons of thymine are degraded to
succinyl CoA
carbons of cytosine and uracil get degraded to
Acetyl CoA
first step of purine synthesis
PRPP—> 5-phospho-B-D-ribosylamine
what AA acts as an amine group donor in the first stage of purine synthesis
glutamine
second step of purine synthesis
5-phospho-B-D-ribosylamine (and glycine)—→ GAR (glycinamide ribonucleotide)

IMP/inosinate
last step of purine synthesis
FAICAR—> IMP
the first step of purine synthesis is catalyzed by
glutamine-PRPP amidotransferase
the last step of purine synthesis is catalyzed by
IMP synthase

adenylosuccinate

AMP

XMP

GMP
nucleoside monophosphate kinases
use ATP to form other nucleoside diphosphates
nucleoside diphosphate kinases
convert nucleoside diphosphates to triphosphates
inhibitors of PRPP synthetase
ADP
inhibitors of glutamine PRPP amidotransferase
AMP,GMP, IMP
inhibitor of adenylosuccinate
AMP (stops making more AMP)
inhibitor of IMP dehydrogenase
GMP (stops making more GMP)
HGPRT
catalyzes the salvage of guanine and xanthine
adenosine phosphoribosyl-transferase
catalyzes the reaction of a free adenine with PRPP to make AMP
ribonucleotide reductase
ribo—> deoxyribo
thioredoxin
intermediate hydrogen carrying protein
glutaredoxin
transfers reduxing power from GSH to ribonucleotide reductase
thioredoxin reductase
catalyzes the reduction of the oxidized form of thioredoxin
5’ nucleotidase
GMP/AMP to guanosine/adenosine
nucleosidase
guanosine/inosine to guanine/hypoxanthine
guanine deaminase
guanine to xanthine
adenosine deaminase
adenosine to inosine
xanthine oxidase
hypoxanthine to xanthine
ALSO
xanthine to uric acid
biotin
transfers CO2
tetrahydrofolate
transfers oxidation states
SAM
transfers methyl groups