1/30
Looks like no tags are added yet.
Name | Mastery | Learn | Test | Matching | Spaced | Call with Kai |
|---|
No analytics yet
Send a link to your students to track their progress
What is biological evolution defined as?
→ it is defined as descent with modification from a common ancestor
Define microevolution and macroevolution.
Microevolution → changes in allele frequency within a population or species
Macroevolution → changes in allele frequencies over thousands of years, leading to formation of new species (speciation)

What are the 5 agents of evolutionary change?
→ Natural selection
→ Disruption of gene flow
→ Genetic drift
→ Non-random mating
→ Mutation
What are the principles of natural selection and how they bring about evolution?

Name the types of natural selection.
1) Directional selection → Phenotype at one extreme is repeatedly selected for, favours what are initially relatively rare individuals
2) Disruptive selection → Intermediate phenotypes are selected against, favours individuals on both extremes
3) Stabilising selection → Extreme phenotypes are selected against, favours the more common intermediate variants in a population

Explain, with examples, how environmental factors act as forces of natural selection.
1) Peppered moth
→ 2 types, lighter form (white with black spots) and melanic form (black with white spots)
→ black form arose from spontaneous mutation in lighter form
→ before 1848, greater proportion of lighter form, because they were well-camouflaged from predators on light-coloured, lichen-covered tree barks, had selective advantage and were better adapted to enviro. Hence they were selected for and increased in frequency
→ with industrial revolution, enviro changed. Lichens on bark of trees were killed and dark-coloured barks were exposed. Soot from industries made barks appear darker. Lighter form of moth became more visible and easy prey to birds compared to the melanic form which were better camouflaged. Lighter form was selected against and their numbers declined. Darker forms were well-camouflaged and proliferated
→ the individuals with favourable characteristic were more likely to survive and reproduce as compared to indivs with unfavourable characteristics.
→ change in numbers due to selection pressure exerted by predatory birds
→ DIRECTIONAL NATURAL SELECTION, FAVOURING 1 EXTREME
2) Antibiotic resistant bacteria
→ resistant strains of bacteria usually arise by spontaneous mutations (ANTIBIOTICS DO NOT CAUSE BACTERIA TO MUTATE)
→ antibiotics kill most non-resistant bacteria, thus they are selected against in the presence of antibiotics in the environment
→ however antibiotic-resistant bacteria have a selective advantage in the presence of antibiotics, because they are best adapted to the environment due to their antibiotic resistance allele. Thus they are selected for and more likely to survive and reproduce, passing on the allele for antibiotic resistant to subsequent generations. Hence frequency of antibiotic resistant allele increases in the population
→ selection pressure exerted by antibiotics can lead to the prevalence of antibiotic resistant bacteria
→ DIRECTION NATURAL SELECTION

[ABI] Why do doctors always insist that we complete our course of antibiotics?

Define “gene flow”. Explain how disruption of gene flow can lead to evolutionary change.
→ Gene flow — is the transfer of alleles from one population to another, achieved through the movement of fertile individuals or their gametes
→ Gene flow tends to reduce differences in allele frequencies between neighbouring populations
→ Disruption in gene flow can result in differences in allele frequencies over time. It is required for speciation to occur, as over many generations, isolated. populations become more different from each other (BUT DISRUPTION OF GENE FLOW ITSELF DOES NOT CHANGE ALLELE FREQUENCIES)

Define “genetic drift”, the 2 types of genetic drift, and explain how it leads to evolutionary change.
→ Genetic drift — a change in the allele frequency due to chance events
→ Genetic drift tends to reduce genetic variation in populations through losses of alleles. THE SMALLER THE ORIGINAL POPULATION IS, THE GREATER THE IMPACT OF GENETIC DRIFT → because the effect is more pronounced in smaller populations
1) Founder effect
→ a few, random individuals from a larger population became pioneers of a newly isolated population, and are not likely to carry all the alleles present in the original population
→ new population is usually small and reproductively isolated. if there is continuous breeding within this pioneer population, rare alleles may become more common
→ eg Darwin’s finches on the Galápagos islands descended from the distant mainland South American finches
2) Bottleneck effect
→ catastrophic event leading to a drastic reduction in population results in the reduction of allele frequencies and even elimination of alleles in a random nature
→ few, random surviving individuals constitute a random genetic sample of the original pre-catastrophe population. certain alleles may become over-represented. or under-represented among the survivor’s
→ eg Northern elephant seals were hunted till 20 remained. even though population has rebounded to tens of thousands, genetic variation has been lost

Explain how non-random mating can lead to evolutionary change.

Define “mutation”, and how they can lead to evolutionary change.


summary for 5 agents of evolutionary change
adaptive radiation + reproductive barriers

Explain why the population is the smallest unit that can evolve.

how does genetic variation arise in a natural population?

Explain how genetic variation (including recessive alleles) may be preserved in a natural population.
1) Diploidy / heterozygote protection
2) Balancing selection → occurs when natural selection maintains 2 or more alleles at a locus
i) heterozygote advantage
ii) frequency-dependent selection

Define the 5 concepts of species.
A) Biological species concept → REPRODUCTIVELY ISOLATED, CANNOT PRODUCE FERTILE, VIABLE OFFSPRING. also genetically isolated
B) Genetic species concept → genetically isolated, but may not be reproductively isolated
C) Ecological species concept → group of organisms sharing same ecological niche (role: predator, prey, primary producer or consumer, decomposer AND habitat)
D) Morphological species concept → group of organisms sharing similar body shape and structure features. However, some organisms may be superficially similar due to convergent evolution, and have different evolutionary origins
E) Phylogenetic species concept → smallest group of organisms that share a most recent common ancestor. They may have homologous morphological structures and/or homologous molecular sequences

Distinguish homologous and analogous structures.
Homologous → inherited from common ancestor, have similar anatomy but different functions
Analogous → different anatomy not inherited from common ancestor, but with similar functions
Morphological structure vs anatomical structure vs physiology
Morphological structures → similar external structure (eg hands, feet, flippers)
Anatomical structures → similar internal structure (eg organs)
Physiology → internal working mechanisms (eg homeostasis)
State the definition of “speciation”, the types of speciation, and the process by which new species arise. Name relevant examples.
Geographical isolation and allopatric speciation → physical barrier blocks migration
→ eg 1: porkfish. Ancestral fish population was split into 2 populations by the formation of Isthmus of Panama 3.5 million years ago, disrupted gene flow, divided sub-populations exposed to different environments and diff selection pressures…….
→ eg 2: Darwin’s finches. Ancestral population of Darwin’s finches strayed from mainland of Ecuador to one of the Galápagos Islands. They then colonised other islands. The sub-populations were geographically isolated in the various islands and did not interbreed, disrupting gene flow. The divided populations were exposed to different environments in the the diff islands and thus were under diff selection pressures……..
Physiological/Behaviour isolation and sympatric speciation → reproductive barrier blocks gene flow as mating is not possible due to physiology or behavioural differences
→ eg 1: palms on Lord Howe Island. Ancestral palm grew on Lord Howe Island, which had 2 soil types in close proximity to each other, namely older volcanic soil and younger calcareous soils. When palms that normally grew on volcanic soil started to grow on calcareous soils, a conspicuous flowering time difference may have arisen as a physiological response to growing on different soil. This prevented interbreeding between 2 sub-populations of palms although they were in close proximity, disrupting gene flow….
→ eg 2: Eastern and Western meadowlark. In an ancestral population of meadowlark, some members of the population developed a new call. Over many generations, the new bird call became more distinct. Birds began to distinguish between the 2 calls and tended to mate preferentially with the members with the same call. Disruption of gene flow..

Name the features of Linnaean classification, its advantages and disadvantages.
Features
→ hierarchical: species that are related are grouped into the same genus, which in turn is grouped into a more inclusive, larger category of family, and so on
→ binomial nomenclature: 2-part name, genus name followed by species name
Advantages
→ hierarchical classification is a systematic way of grouping organisms, so a newly discovered species can easily be categorised and named
→ binomial nomenclature provides accurate identity to each species, and far more precise than using its common name
Disadvantages
→ based on Linnaean classification, we cannot infer the evolutionary relationships between members of each category. we also cannot tell how distantly related one species is to another, and the name does not tell us the evolutionary history of the species

What is the mnemonic and classification for Linnaean classification?
Don’t Kids Prefer Candy Over Fresh Green Salad → Domain, Kingdom, Phylum, Class, Order, Family, Genus, Species

Name the features of phylogeny, and their advantages.
Features
→ Phylogenetic trees make use of homologous characters to group species into clades/branches.
→ Phylogenetic trees may reveal how long ago a species diverged from a common ancestor
Advantages
→ determines evolutionary history of an organism based on the study of homologous characteristics
→ degree of relatedness can be inferred
→ can tell how long ago a species diverged from their common ancestor

Differentiate between Linnaean and phylogenetic classification.

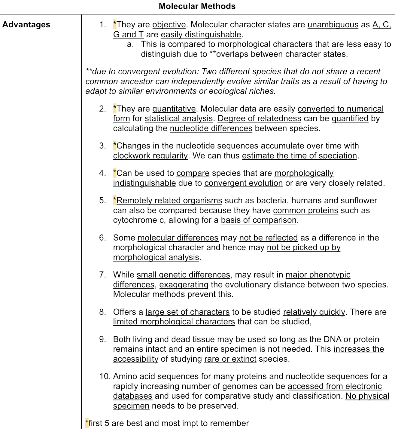
State the advantages of using molecular methods in classifying organisms and determining their phylogenetic relationships.

Explain how analysis of DNA allows evolutionary relationships to be determined.
→ Use same gene present in species to be compared, and compare DNA sequences
→ count nucleotide/base differences
→ more differences means less closely related
Why may mitochondrial DNA be preferred over genomic DNA in molecular phylogeny?

Outline the steps involved in drawing an evolutionary tree using molecular homology.

State the different types of evidence of homology.
1) Anatomical homology
2) Molecular homology
3) Biogeography

Anatomical homology


Molecular homology

Biogeography