Amino Acids

0.0(0)
studied byStudied by 0 people
0.0(0)
full-widthCall with Kai
GameKnowt Play
New
learnLearn
examPractice Test
spaced repetitionSpaced Repetition
heart puzzleMatch
flashcardsFlashcards
Card Sorting

1/19

encourage image

There's no tags or description

Looks like no tags are added yet.

Study Analytics
Name
Mastery
Learn
Test
Matching
Spaced

No study sessions yet.

20 Terms

1
New cards
term image

Histidine (His or H)

Basic (pos charge); hydrophilic

2
New cards
term image

Arginine (Arg or R)

Basic (pos charge); hydrophilic

3
New cards
term image

Lysine (Lys or K)

Basic (pos charge); hydrophilic

4
New cards
term image

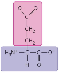
Glutamic acid (Glu or E)

Acidic (negative charge); hydrophilic

5
New cards
term image

Aspartic acid (Asp or D)

Acidic (negative charge); hydrophilic

6
New cards
term image

Glutamine (Gln or Q)

Polar side chain; hydrophilic

7
New cards
term image

Asparagine (Asn or N)

Polar side chains; hydrophilic

8
New cards
term image

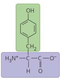
Tyrosine (Tyr or Y)

Polar side chains; hydrophilic

9
New cards
term image

Cysteine (Cys or C)

Polar side chains; hydrophilic

10
New cards
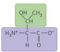
term image

Threonine (Thr or T)

Polar side chains; hydrophilic

11
New cards
term image

Serine (Ser or S)

Polar side chains; hydrophilic

12
New cards
term image

Proline (Pro or P)

nonpolar side chains; hydrophobic

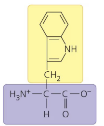
13
New cards
term image

Tryptophan (Trp or W)

nonpolar side chains; hydrophobic

14
New cards
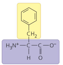
term image

Phenylalanine (Phe or F)

Nonpolar side chains; hydrophobic

15
New cards
<p></p><p></p>

Methionine (Met or M)

nonpolar side chains; hydrophobic

16
New cards
term image

Isoleucine (Ile or I)

nonpolar side chains; hydrophobic

17
New cards
term image

Leucine (Leu or L)

nonpolar side chains; hydrophobic

18
New cards
term image

Valine (Val or V)

nonpolar side chains; hydrophobic

19
New cards
term image

Alanine (Ala or A)

nonpolar side chains; hydrophobic

20
New cards
term image

Glycine (Gly or G)

Nonpolar side chains; hydrophobic