9.10.25 Histamine and Antihistamines (Gardner)

0.0(0)
studied byStudied by 1 person
0.0(0)
full-widthCall with Kai
GameKnowt Play
New
learnLearn
examPractice Test
spaced repetitionSpaced Repetition
heart puzzleMatch
flashcardsFlashcards
Card Sorting

1/50

encourage image

There's no tags or description

Looks like no tags are added yet.

Study Analytics
Name
Mastery
Learn
Test
Matching
Spaced

No study sessions yet.

51 Terms

1
New cards

autocoids (“self remedy”)

  • naturally occurring substances

  • local hormones

    • histamine

    • serotonin

    • bradykinin

    • prostaglandins

    • eosinophil chemotactic factor

    • leukotrienes (SRS-A) → slow-reacting substances of anaphylaxis (mixture of leukotrienes)

2
New cards

histamine, β-imidizolethylamine, 2-(4-imidazoyl)ethylamine

  • fairly ubiquitous

  • occurs in plants and animals

  • component of many venoms, toxins, and stinging secretions

  • 1st synthesized in 1907; later isolated from mammalian tissue

  • histamine hypothesis → hypersensitivity

    • histamine has a central role in allergic reactions; mediates many classic symptoms of allergic responses → immediate hypersensitivity; primary mediator of type I allergic rxns including anaphylaxis

  • species and tissue variation in action

3
New cards

histamine

  • 1910 → first detected as uterine stimulant in ergot extracts

  • 1927 → best, dale, dudley, and thorpe → isolated histamine from liver and lung, established as natural constituent

  • 1928 → lewis → provided evidence that “H-substance” with properties of histamine was released from cells of skin by injurious including Ab-ag complex

4
New cards

histamine synthesis and inactivation

  • histidine → histamine

    • decarboxylation; thru L-histidine decarboxylase

    • CO2 gets removed

  • histamine (active group = amine group)

    • → methyl histamine

      • ring methylation; thru imidazole-N-methyltransferase

    • → imidazoleactic acid

      • oxidative deamination; mainly thru diamine oxidase

    • methyl histamine → methyl ImAA

      • oxidation; thru monoamine oxidase

    • imidazoleacetic acid → ImAA riboside

      • conjugation with ribose

<ul><li><p>histidine → histamine</p><ul><li><p>decarboxylation; thru L-histidine decarboxylase</p></li><li><p>CO<sub>2</sub> gets removed</p></li></ul></li><li><p>histamine (active group = amine group)</p><ul><li><p>→ methyl histamine</p><ul><li><p>ring methylation; thru imidazole-N-methyltransferase</p></li></ul></li><li><p>→ imidazoleactic acid</p><ul><li><p>oxidative deamination; mainly thru diamine oxidase</p></li></ul></li><li><p>methyl histamine → methyl ImAA</p><ul><li><p>oxidation; thru monoamine oxidase</p></li></ul></li><li><p>imidazoleacetic acid → ImAA riboside</p><ul><li><p>conjugation with ribose</p></li></ul></li></ul></li></ul><p></p>
5
New cards

major histamine-producing cells vs minor histamine-producing cells

activation signals → cells → histamine release

  • IgE crosslinking (allergen binding to IgE antibodies), complement, allergy-inducing drugs → mast cell → histamine release

  • IgE crosslinking, complement, allergy-inducing drugs → basophil → histamine release

  • somatostatin, gastrin → ECL cell → histamine release

  • activation of N-methyl-D-aspartate, U opioid, dopamine D2, and serotonin receptors → histaminergic neuron → histamine release

minor histamine-producing cells

  • dendritic cells

  • T cells

  • macrophages

  • neutrophils

  • epithelial cells

<p>activation signals → cells → histamine release</p><ul><li><p>IgE crosslinking (allergen binding to IgE antibodies), complement, allergy-inducing drugs → mast cell → histamine release</p></li><li><p>IgE crosslinking, complement, allergy-inducing drugs → basophil → histamine release</p></li><li><p>somatostatin, gastrin → ECL cell → histamine release</p></li><li><p>activation of N-methyl-D-aspartate, U opioid, dopamine D2, and serotonin receptors → histaminergic neuron → histamine release</p></li></ul><p></p><p>minor histamine-producing cells</p><ul><li><p>dendritic cells</p></li><li><p>T cells</p></li><li><p>macrophages</p></li><li><p>neutrophils</p></li><li><p>epithelial cells</p></li></ul><p></p>
6
New cards

histamine in various human tissues and cells

  • lung → 33 ± 10 histamine cotent

  • mucosa (nasal) → 15.6 (range 5.0-38.5)

  • stomach → 14 ± 4.0

  • duodenum → 14 ± 0.9

  • skin (face) → 30.4

  • whole blood → 16-89 ug/L

  • basophils → 1080 ug/109 cells

  • eosinophils → 160 ug/109 cells

<ul><li><p>lung → 33 ± 10 histamine cotent</p></li><li><p>mucosa (nasal) → 15.6 (range 5.0-38.5)</p></li><li><p>stomach → 14 ± 4.0</p></li><li><p>duodenum → 14 ± 0.9</p></li><li><p>skin (face) → 30.4</p></li><li><p>whole blood → 16-89 ug/L </p></li><li><p>basophils → 1080 ug/10<sup>9</sup> cells</p></li><li><p>eosinophils → 160 ug/10<sup>9</sup> cells</p></li></ul><p></p>
7
New cards

histamine distribution and storage

  • slow turnover rate

    • mast cells → tissue

    • basophils → blood

  • stored in granules

    • to exert its action, must be released from storage granules

  • stored in complex with:

    • heparin

    • chondroitin sulfate

    • sulfated polysaccharide

    • eosinophil chemotactic factor

    • IL-8

    • proteases

  • rapid turnover rate

    • gastric enterochromaffin-like cells

    • histaminergic CNS cells

    • NO storage; produced on demand

8
New cards

regulation

  • histamine release is controlled by negative feedback which allows for autoregulation

  • histaminergic neurons → regulation thru muscarinic and H3 receptors

  • when histamine is released from mast cell it sends a negative signal to H2 receptor → generates an inhibitor signal to reduce further histamine release

<ul><li><p>histamine release is controlled by <strong>negative feedback</strong> which allows for autoregulation</p></li><li><p>histaminergic neurons → regulation thru <u>muscarinic</u> and <u>H<sub>3</sub> receptors</u></p></li><li><p>when histamine is released from mast cell it sends a negative signal to H<sub>2</sub> receptor → generates an inhibitor signal to reduce further histamine release</p></li></ul><p></p>
9
New cards

histamine releasers

  • certain drugs

    • morphine, turbocurarine

    • these drugs trigger histamine release WITHOUT requiring energy

  • chemical or mechanical injury

  • compound 48/80

    • causes specific degranulation

    • requires energy and Ca2+

10
New cards

mast cell degranulation stimulated by…

Ca2+ ionophore

11
New cards

conditions that release histamine

  1. tissue injury

  2. allergic reactions → type 1 hypersensitivity rxns

  3. drugs and other foreign compounds

  • morphine

  • dextran

  • antimalarial drugs

  • dyes

  • antibiotic bases

  • alkaloids

  • amides

  • quarternary ammonium compounds

  • enzymes (PLC)

  • penicillins

  • tetracyclines

  • basic drugs

  • amides

  • amidines

  • diamidines

  • toxins

  • venoms

  • proteolytic enzymes

  • bradykinin

  • kallidin

  • substance P

12
New cards

type 1 hypersensitivity and mast cell degranulation

  1. IgE-coated resting mass cell

  2. antigen activated mast cell

    1. → histamine/lipid mediators released → vascular/smooth muscle response: immediate rxn

    2. → cytokines released → inflammation: late phase rxn

  • atropy = sustained, inappropriate IGE responses to common environmental antigens encountered at mucosal surfaces, usually familial association (strong hereditary component)

<ol><li><p>IgE-coated resting mass cell</p></li><li><p>antigen activated mast cell </p><ol><li><p>→ histamine/lipid mediators released → vascular/smooth muscle response: immediate rxn</p></li><li><p>→ cytokines released → inflammation: late phase rxn</p></li></ol></li></ol><ul><li><p>atropy = sustained, inappropriate IGE responses to common environmental antigens encountered at mucosal surfaces, usually familial association (strong hereditary component)</p></li></ul><p></p>
13
New cards

histamine receptors

  • H1 receptor

    • on chromosome 3 @ 3p25

  • H2 receptor

    • on chromosome 5 @ 5q35.2

  • H3 receptor

    • on chromosome 21 @ 20q13.2

  • H4 receptor

    • on chromosome 18 @ 18q11.2

<ul><li><p>H<sub>1</sub> receptor</p><ul><li><p>on chromosome 3 @ 3p25</p></li></ul></li><li><p>H<sub>2</sub> receptor</p><ul><li><p>on chromosome 5 @ 5q35.2</p></li></ul></li><li><p>H<sub>3</sub> receptor</p><ul><li><p>on chromosome 21 @ 20q13.2</p></li></ul></li><li><p>H<sub>4</sub> receptor</p><ul><li><p>on chromosome 18 @ 18q11.2</p></li></ul></li></ul><p></p>
14
New cards

distribution of histamine receptors

  • H1 found in CV, smooth muscle, immune cells

  • H2 found in gastric parietal cells, heart, various immune cells

  • H3 found in histaminergic neurons, some immune cells

  • H4 found in mast cells, basophils, eosinophils, bone marrow, spleen

<ul><li><p>H<sub>1</sub> found in CV, smooth muscle, immune cells</p></li><li><p>H<sub>2</sub> found in gastric parietal cells, heart, various immune cells</p></li><li><p>H<sub>3</sub> found in histaminergic neurons, some immune cells</p></li><li><p>H<sub>4</sub> found in mast cells, basophils, eosinophils, bone marrow, spleen</p></li></ul><p></p>
15
New cards

histamine receptor signaling

  • H1

    • agonist binds to H1 receptor → activates Gαq/11 → activates PLC → PIP2 cleaves PLC into DAG and IP3 → IP3 increases Ca2+

  • H2

    • agonist binds to H2 receptor → activates Gαs → activates AC → increases cAMP

  • H3/H4

    • agonist binds to H3/H4 receptor → activates Gαi/o → inhibits AC → decreases cAMP

    • H4 also signals through β-arrestin

<ul><li><p>H<sub>1</sub></p><ul><li><p>agonist binds to H<sub>1</sub> receptor → activates <strong>G</strong><span><strong>αq/11</strong> → activates PLC → PIP<sub>2</sub> cleaves PLC into DAG and IP<sub>3</sub> → IP<sub>3</sub><u> increases </u><strong>Ca2+</strong></span></p></li></ul></li><li><p>H<sub>2</sub></p><ul><li><p>agonist binds to H<sub>2</sub> receptor → activates <strong>Gαs</strong> → activates AC → <u>increases</u><strong> cAMP</strong></p></li></ul></li><li><p>H<sub>3</sub>/H<sub>4</sub> </p><ul><li><p>agonist binds to H<sub>3</sub>/H<sub>4</sub> receptor → activates <strong>Gαi/o → </strong><u>inhibits</u> AC → <u>decreases </u><strong>cAMP</strong></p></li><li><p>H<sub>4</sub> also signals through <span>β-arrestin</span></p></li></ul></li></ul><p></p>
16
New cards

overview of main functions of histamine receptors

  • low affinity receptors = H1/H2

  • high affinity receptors = H3/H4

  • H1

    • G protein

      • q/11

    • function = allergic inflammation

      • alteration in vascular permeability

      • targeted for 2nd line medication in anaphylaxis

      • drugs targeted to this receptor help with

      • motion sickness and appetite suppression

  • H2

    • G protein

      • is

    • function = gastric acid secretion

      • regulation of gastric acid secretion

      • treatment target for peptic ulcer, GERD, dyspepsia

      • prevention of aspiration pneumonitis during surgery

  • H3

    • G protein

      • i/o (i think the diagram is wrong)

    • function = neurotransmission

      • regulation of neuronal histamine (autoreceptors)

      • cognition enhancers (heteroreceptors), schziophrenia

      • epilepsy, neuropathic pain

  • H4

    • G protein

      • i/o

    • function = immunomodulation

      • auto-immune disorders (e.g. cancer)

      • inflammation (associated with atopic dermatitis)

<ul><li><p>low affinity receptors = H<sub>1</sub>/H<sub>2</sub></p></li><li><p>high affinity receptors = H<sub>3</sub>/H<sub>4</sub></p></li><li><p>H<sub>1</sub></p><ul><li><p>G protein</p><ul><li><p>Gα<sub>q</sub>/11</p></li></ul></li><li><p>function = allergic inflammation</p><ul><li><p>alteration in vascular permeability</p></li><li><p>targeted for 2nd line medication in anaphylaxis</p></li><li><p>drugs targeted to this receptor help with</p></li><li><p>motion sickness and appetite suppression</p></li></ul></li></ul></li><li><p>H<sub>2</sub></p><ul><li><p>G protein</p><ul><li><p>Gα<sub>is</sub></p></li></ul></li><li><p>function = gastric acid secretion</p><ul><li><p>regulation of gastric acid secretion</p></li><li><p>treatment target for peptic ulcer, GERD, dyspepsia</p></li><li><p>prevention of aspiration pneumonitis during surgery</p></li></ul></li></ul></li><li><p>H<sub>3</sub></p><ul><li><p>G protein</p><ul><li><p>Gα<sub>i/o</sub> (i think the diagram is wrong)</p></li></ul></li><li><p>function = neurotransmission</p><ul><li><p>regulation of neuronal histamine (autoreceptors)</p></li><li><p>cognition enhancers (heteroreceptors), schziophrenia</p></li><li><p>epilepsy, neuropathic pain</p></li></ul></li></ul></li><li><p>H<sub>4</sub></p><ul><li><p>G protein</p><ul><li><p>Gα<sub>i/o</sub></p></li></ul></li><li><p>function = immunomodulation</p><ul><li><p>auto-immune disorders (e.g. cancer)</p></li><li><p>inflammation (associated with atopic dermatitis)</p></li></ul></li></ul></li></ul><p></p>
17
New cards

functions of histamine in man

  • H4 receptors stimulate leukocytes

  • CNS

    • primary function = regulation of fundamental brain processes

  • CV

    • major effects = vascular and cardiac responses

  • skin

    • classic allergic manifestations = vasodilation, sensory effects, inflammatory responses

  • respiratory tract

    • airway responses = secretory effects; muscle effects

  • GI system

    • digestive effects = secretory function, motility effects

  • reproductive system

    • uterine effects = smooth muscle contraction

  • hematopoietic system

    • immune cell regulation = bone marrow effects, cGMP/cAMP modulation

<ul><li><p>H<sub>4</sub> receptors <u>stimulate</u> leukocytes</p></li><li><p>CNS</p><ul><li><p>primary function = regulation of fundamental brain processes</p></li></ul></li><li><p>CV</p><ul><li><p>major effects = vascular and cardiac responses</p></li></ul></li><li><p>skin</p><ul><li><p>classic allergic manifestations = vasodilation, sensory effects, inflammatory responses</p></li></ul></li><li><p>respiratory tract</p><ul><li><p>airway responses = secretory effects; muscle effects</p></li></ul></li><li><p>GI system</p><ul><li><p>digestive effects = secretory function, motility effects</p></li></ul></li><li><p>reproductive system</p><ul><li><p>uterine effects = smooth muscle contraction</p></li></ul></li><li><p>hematopoietic system </p><ul><li><p>immune cell regulation = bone marrow effects, cGMP/cAMP modulation</p></li></ul></li></ul><p></p>
18
New cards

pharmacological effects of histamine

knowt flashcard image
19
New cards

effects of histamine on blood psi

  • histamine alone greatly decreases blood psi as dose increases

  • adding diphendryamine (H1) → reduces the fall in blood pressure produced by histamine (dose dependent)

<ul><li><p>histamine alone <strong>greatly decreases</strong> blood psi as dose <strong>increases</strong></p></li><li><p>adding diphendryamine (H1) → reduces the fall in blood pressure produced by histamine (dose dependent)</p></li></ul><p></p>
20
New cards

pharmacological effect of histamine pt 2

i want to kms

<p>i want to kms</p>
21
New cards

influence of histamine on mucosal associated immune cell subsets

  • H1R

    • DC cells express mutliple histamine receptors: H1R, H2R, H4R → activation of H4R on DCs leads to chemotaxis, attracting these cells into the tissue → IL-12 produced by DCs stimulate nearby Th1 that express H1R → enhances IFN-g production and Th1 cell proliferation → H2R antagonizes this effect

    • on DC cells → increases antigen-presenting capacity and Th1 priming

  • H2R

    • on Th2 cells → suppresses IL-4 and Il-13 production and Th2 cell proliferation

    • on DC cells H2R induces IL-10 production, supresses Ag presentation and supports development of Treg cells

    • on Treg cells → histamine enhances IL-10 production → H2R potentiate suppressive effect of TGF-β

<ul><li><p>H1R</p><ul><li><p>DC cells express mutliple histamine receptors: H1R, H2R, H4R → activation of H4R on DCs leads to chemotaxis, attracting these cells into the tissue → IL-12 produced by DCs stimulate nearby Th1 that express H1R → enhances IFN-g production and Th1 cell proliferation → H2R <u>antagonizes</u> this effect</p></li><li><p>on DC cells → <u>increases</u> antigen-presenting capacity and Th1 priming</p></li></ul></li><li><p>H2R</p><ul><li><p>on Th2 cells → <u>suppresses</u> IL-4 and Il-13 production and Th2 cell proliferation</p></li><li><p>on DC cells H2R <u>induces</u> IL-10 production, <u>supresses</u> Ag presentation and <u>supports</u> development of T<sub>reg</sub> cells</p></li><li><p>on T<sub>reg</sub> cells → histamine enhances IL-10 production → H2R potentiate <u>suppressive</u> effect of TGF-<span>β</span></p></li></ul></li></ul><p></p>
22
New cards

histamine agonists

  • small modifications or subsitutions on imidizole ring modify selectively for H1, H2, H3 or H4

  • 2-methylhistamine → selective for H1

  • 4-methylhistamine → H2/H4

  • R-α-methylhistamine → H3

  • examples of histamine agonists

    • betazole (gastramine, histalog)

      • H2 agonist

      • diagnostic

      • testing gastric acid secretion

    • impromidine

      • H2 agonist and H3 antagonist

      • diagnostic

      • testing gastric acid secretion

    • clonidine (catapres)

      • H2 agonist

      • antihypertensive

    • clobenpropit

      • H3 antagonist and H4 agonist

23
New cards

H1 histamine antagonists

physiological antagonists = drugs that counteract the physiological action of histamine

  • examples: epinephrine; ephedrine

  • nonspecific

  • use for

    • acute anaphylaxis

    • bronchial asthma

release inhibitors = drugs that prevent histamine release from mast cells

  • inhibit degranulation of mast cells resulting from IgE

  • prophylactic (used to prevent a condition before it happens)

    • ex. cromolyn sodium (gastrocrom)

  • β2-adrenoreceptor agonists also reduce histamine release

    • ex. albuterol (ventolin)

24
New cards

H1 antihistamine history

  • 1944 → daniel bovet synthesized first antihistamines

  • compounds appeared to prevent binding of histamine to H1 receptor thru their structural similarities

25
New cards

H1 inverse agonists

  • “classical” antihistamine

    • displaces histamine from H1 receptor

    • competitive inhibitor

    • H1 receptor blockade prevents histamine activity and leads to decrease in Ca2+ inside of the cell

    • acts as inverse agonists → bind and stabilize inactive conformation of H1 receptor

26
New cards

general structure and properties of 1st generation antihistamines

  • stable, lipid soluble amines

  • most contain substitued ethylamine moiety similar to histamine

  • 3o amine

  • linked to 2 aromatic groups

  • absorbed well by GI tract

  • maximum absorption = 1-2 hr

  • high safety margin

  • similar pharmacological actions

<ul><li><p>stable, lipid soluble amines</p></li><li><p>most contain <strong>substitued ethylamine moiety</strong> similar to histamine</p></li><li><p>3<sup>o</sup> amine</p></li><li><p>linked to 2 aromatic groups</p></li><li><p>absorbed well by GI tract</p></li><li><p>maximum absorption = 1-2 hr</p></li><li><p>high safety margin</p></li><li><p><strong>similar pharmacological actions</strong></p></li></ul><p></p>
27
New cards

H1 receptor states

panel A: basal receptor activity

  • inactive state

    • Gαq/11 = G protein

    • GDP is bound

  • active state

    • GTP is bound

panel B: agonist action (histamine)

  • inactive state

    • GDP is bound

  • active state (when histamine binds to receptor)

    • GTP is bound

  • leans more towards active state

panel C: H1-antihistamine (inverse agonist)

  • inactive state (when H1-antihistamine is bound)

    • GDP is bound

  • active state

    • GTP is bound

  • lean towards inactive state

<p>panel A: basal receptor activity</p><ul><li><p>inactive state</p><ul><li><p>G<span>α<sub>q</sub>/11 = G protein </span></p></li><li><p><span>GDP is bound</span></p></li></ul></li><li><p>active state</p><ul><li><p>GTP is bound </p></li></ul></li></ul><p></p><p>panel B: agonist action (histamine)</p><ul><li><p>inactive state</p><ul><li><p>GDP is bound</p></li></ul></li><li><p>active state (when histamine binds to receptor)</p><ul><li><p>GTP is bound</p></li></ul></li><li><p>leans more towards active state</p></li></ul><p></p><p>panel C: H1-antihistamine (inverse agonist)</p><ul><li><p>inactive state (when H1-antihistamine is bound)</p><ul><li><p>GDP is bound</p></li></ul></li><li><p>active state</p><ul><li><p>GTP is bound</p></li></ul></li><li><p>lean towards inactive state</p></li></ul><p></p>
28
New cards

pharmacological properties of H1 inverse agonists

  1. inhibit smooth muscle response to histamine in GI, respiratory tract, small blood vessels (H1)

  2. strongly antagonize increases in capilary permeability (inhibit edema formation, wheal, flare, pain and itching) (H1)

  3. local anesthetic action → due to effects on nerve endings (sensory nerves - reduce pain and itch) (H1)

  • NO effect on histamine release, gastric acid secretion (H2)

  • partial effect on vasodilation (blood psi) (H1 and H2)

  • minimal effect on bronchoconstriction in man; NO effect on H3 or H4 functions

  • clinical usefulness → mostly allergic conditions involving mucous membranes and skin

29
New cards

actions NOT caused by H1 blockade

potential adverse effects of 1st generation H1-antihistamines

  • CNS H1 receptors

    • decrease alertness, cognition, learning, memory, and psychomotor performance

    • increase impairment with or without sedation

  • muscarinic receptors

    • increase dry mouth

    • increase urinary retentin

    • increase sinus tachycardia

  • sertonin receptors

    • increase appetite

    • increase weight gain

  • α-adrenergic receptors

    • increase dizziness

    • increase postural hypotension

  • cardiac ion channels (IKr, INa, and others)

    • increase QT interval

    • increase ventricular arrhythmias

  • anti-nausea and anti-emetic actions

    • prevent motion sickness

    • block histaminergic signal from vestibular nucleus to the medulla

  • anti-parkinsonism effects

    • due to anti-cholinergic effect

<p>potential adverse effects of 1st generation H1-antihistamines</p><ul><li><p>CNS H1 receptors</p><ul><li><p><u>decrease</u> alertness, cognition, learning, memory, and psychomotor performance</p></li><li><p><u>increase</u> impairment with or without sedation</p></li></ul></li><li><p>muscarinic receptors</p><ul><li><p><u>increase</u> dry mouth</p></li><li><p><u>increase</u> urinary retentin</p></li><li><p><u>increase</u> sinus tachycardia</p></li></ul></li><li><p>sertonin receptors</p><ul><li><p><u>increase</u> appetite</p></li><li><p><u>increase</u> weight gain</p></li></ul></li><li><p><span>α-adrenergic receptors</span></p><ul><li><p><u>increase</u> dizziness</p></li><li><p><u>increase</u> postural hypotension</p></li></ul></li><li><p>cardiac ion channels (I<sub>Kr</sub>, I<sub>Na</sub>, and others)</p><ul><li><p><u>increase</u> QT interval</p></li><li><p><u>increase</u> ventricular arrhythmias</p></li></ul></li></ul><p></p><ul><li><p><strong>anti-nausea and anti-emetic actions</strong></p><ul><li><p>prevent motion sickness</p></li><li><p>block histaminergic signal from vestibular nucleus to the medulla</p></li></ul></li><li><p><strong>anti-parkinsonism effects</strong></p><ul><li><p>due to anti-cholinergic effect</p></li></ul></li></ul><p></p>
30
New cards

examples of 1st gen H1 antihistamines

  • chlorpheniramine (chlortrimeton)

  • diphenylhydramine (benadryl)

  • dimenhydrinate (dramamine)

  • doxylamine (unisom)

31
New cards

2nd generation antihistamines

  • generally do NOT cause sedation and drying

  • do NOT cross BBB

  • lipophobicity

  • large molecular size

  • electrostatic charge

32
New cards

1st vs 2nd gen antihistamines structure comparison

  • diphenhydramine = 1st gen; levocetirizine = 2nd gen

  • 1st gen = simple, flexible molecule

  • 2nd gen = more complex, bulkier with more func groups

<ul><li><p>diphenhydramine = 1st gen; levocetirizine = 2nd gen</p></li><li><p>1st gen = simple, flexible molecule</p></li><li><p>2nd gen = more complex, bulkier with more func groups</p></li></ul><p></p>
33
New cards

2nd gen H1 antihistamiens

  • tefernadine (seldane) and astemizole (hismanal)

    • non-sedating

    • removed from market in 1997 (terfenadine) and 1999 (astemizole) b/c could potentially cause fatal heartbeat irregularities when taken with certain drugs and foods

  • ketoconozole (extina, kuric) and erythromycin (erythrocin)

    • interfered with drug metabolism by inhibiting CYP3A4

    • increased concentration of terfenadine or astemizole in bloodstream

  • fexofenadine (allegra)

  • acrivastine

    • used for allergic rhinitis in combo with pseudoephedrine (benadryl)

  • loratidine (claritin)

  • desloratadine (clarinex) → rx only

  • cetirizine (zyrtec)

  • levocetirizine (r-cetirizine)

  • nasal sprays or opth solutions

    • azelastine hydrochloride

      • nasal sprays available OTC (astelin)

      • ophthalmic (optivar)

    • olopatadine hydrochloride

      • ophthalamic, available OTC (patanase, patanol)

    • epinastine (elestat) → ophthalmic

34
New cards

use and level of efficacy of antihistamines

knowt flashcard image
35
New cards

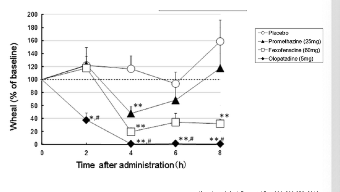
level of efficacy of antihistamines: skin responses

wheal = skin swelling

  • placebo → wheal size remainsnear baseline throughout

  • promethazine (1st gen) → some reduction but then starts to go back up

  • fexofenadine (2nd gen)→ reduction and stays down

  • olopatadine (2nd gen) → even greater reduction (basically none) and stays down

<p>wheal = skin swelling</p><ul><li><p>placebo → wheal size remainsnear baseline throughout</p></li><li><p>promethazine (1st gen) → some reduction but then starts to go back up</p></li><li><p>fexofenadine (2nd gen)→ reduction and stays down</p></li><li><p>olopatadine (2nd gen) → even greater reduction (basically none) and stays down</p></li></ul><p></p>
36
New cards

toxic rxns and side effects of H1 inverse agonists

  • CNS depression (mainly found in 1st gen)

  • allergic reactions (topical application)

  • appetite loss, nausea and vomiting, constipation or diarrhea

  • insomnia, tremors, nervousness, irritability

  • CNS stimulation with hallucinations, motor disturbances (tremors and convulsions) and death

  • secreted in breast milk → can cross placenta

37
New cards

drug interactions of H1 inverse agonists (predominantly 1st gen)

  • H1 antihistamines that produce sedation can potentiate the effects of CNS depressants

    • e.g. barbituates, opiates, general anesthetics, alcohol

  • H1 antihistamines that possess anticholinergic actions can produce manifestations of excessive blockade if given with anticholinergic drugs

    • e.g. dry mouth, constipation, blurred vision

38
New cards

other allergy treatments - sublingual/subq desensitization

2 routes of allergen exposure

high-dose immunotherapy

  • allergen goes to dendritic cell (under skin or oral mucosal) → DCs process and present allergen to Th0

    • Th0 → Treg → IL-10 production that suppresses allergic response; direct Treg-DC interaction enhance tolerance induction (bidirectional feedback loop)

    • Th0 → Th1 → B cell → allergen specific IgG → IgG competes with IgE for allergen binding (competition prevents IGE from triggering mast cell and basophil degranulation aka no histamine released)

<p>2 routes of allergen exposure</p><p>high-dose immunotherapy</p><ul><li><p>allergen goes to dendritic cell (under skin or oral mucosal) → DCs process and present allergen to Th0</p><ul><li><p>Th0 → Treg → IL-10 production that suppresses allergic response; direct Treg-DC interaction enhance tolerance induction (bidirectional feedback loop)</p></li><li><p>Th0 → Th1 → B cell → allergen specific IgG → IgG competes with IgE for allergen binding (competition prevents IGE from triggering mast cell and basophil degranulation aka no histamine released)</p></li></ul></li></ul><p></p>
39
New cards

other allergy treatments

  • omalizumab (xolair)

    • anti-iGE

    • originally approved in 2003 for aasthma

    • now approved for protection against accidental exposure to food allergens in patients 1 yr and older

40
New cards

h2 antagonist mechanisms and pharmacologicla effects

  • displaces histamine from H2 receptor

  • H2 blockers lead to decrease in cAMP and Ca2+

  • competitive, reversible antagonists of the H2 receptors

  • inhibit secretory function of gastric mucosa parietal cells induced by histamine, gastrin, and pentagastrin

  • reduces gastric acid volume + concentration of pepsin

  • few other effects

41
New cards

h2 receptor antagonists

available OTC

  • famotidine (pepcid)

  • cimetidine (tagamet) → HAS MOST SIDE EFFECTS

  • ranitidine (zantac) → removed from market 4/2020 due to presence of N-nitrosodimethylamine

  • nizatidine (axis)

  • in most cases, replaced by H+ pump inhibitors

  • adverse effects

    • diarrhea

    • dizziness

    • headache

    • somnolence

    • rash

    • constipation

    • vomiting

    • arthralgia

42
New cards

effects of H2 receptor antagonists on gastric acid secretion

  • ranitidine

    • dramatic suppresion of acid secretion

    • pepsin secretion decreases but then goes back up as time goes on goes on

<ul><li><p>ranitidine </p><ul><li><p>dramatic suppresion of acid secretion</p></li><li><p>pepsin secretion decreases but then goes back up as time goes on goes on</p></li></ul></li></ul><p></p>
43
New cards

h2 antagonist therapeutic uses

  1. duodenal ulcer

  2. gastric ulcer

  3. zollinger-ellison syndrome = a pathological hypersecretory state resulting in excessive gastric pepsin and HCl, usually fatal, gastrin secreting tumor

  4. gastroesopheageal reflux disease

  5. used prior to surgery in pts with GI obstruction to elevate gastric pH

  6. reflux esophagitis

  7. antacid

44
New cards

effects NOT due to H2 receptor blockade

off-target pharmacological effects

  1. inhibition of cytochrome P-450 oxidative drug metabolizing system (cimetidine, ranitidine)

  2. inhibition of 1st pass gastric metabolism of ethanol (cimetidine, ranitidine, nizatidine)

  3. inhibition of acetaminophen glucoronidation (ranitidine)

  4. inhibition of renal clearance of basic drugs that are secreted by the renal tubule (cimetidine, ranitidine)

  5. anti-androgen effects (cimetidine)

45
New cards

toxic rxns of H2 antagonists (mostly associated with cimetidine)

  • most common (1-2% of pts)

    • diarrhea

    • dizziness

    • somnolence

    • headache

    • rash

  • CNS effects

    • slurred speech

    • delirium

    • confusion

    • most commonly seed in older pts or thoes with liver or kidney impairment

  • endocrine function (minor and reversible)

    • anti-androgen effects (e.g. loss of libido, impotence, reduced sperm count)

  • blood dyscrasias (abnormalities in blood cells)

  • liver

    • reversible cholestasis

    • reduced blood flow

  • agents that inhibit gastric secretion alter the bioavailability and rate of absorption of many other drugs

46
New cards

H3 receptor drugs

  • believed to act as feedback inhibitors in a wide variety of organ systems and in the CNS

    • agonists cause sedation

    • antagonists improve cognition

  • GI

    • agonists down-regulate histamine

    • decrease gastrin

  • lung

    • agonists have a bronchodilatory effect

  • allergic rhinitis

    • antagonists improve cognition and memory, act as antipsychotics

    • agonists display anti-nociceptic activity (reduction of painful stimulus)

  • potential clinical uses

    • narcolepsy

    • antipsychotics

    • anti-allergy drugs (in combo with H1/H3)

    • anti-obesity drugs (preclinical, ciproxifan analog)

47
New cards

examples of H3 receptor drugs

  • betahistine (serc)

    • used in treatment of meniere’s disease; severe motor intolerance; treatment of vertigo associated with vestibular (includes inner ear) loss (H1 agonist; H3 antagonist)

    • approved in europe

    • NOT FDA approved

    • can be obtained with rx from compounding pharmacies

  • pitolisant (wakix)

    • inverse agonist

    • used to treat narcolepsy

    • FDA approved

48
New cards

H4 receptor antagonists

  • 1-[(5-chloro-1H-indol-2-yl)carbonyl]-4-methylpiperazine

    (JNJ 7777120)

  • experimental antagonist

  • involved in immune and inflamatory responses rather than gastric acid secretion or neurotransmission

<ul><li><p><span>1-[(5-chloro-1H-indol-2-yl)carbonyl]-4-methylpiperazine</span></p><p><span>(JNJ 7777120)</span></p></li><li><p><span>experimental antagonist</span></p></li><li><p><span>involved in immune and inflamatory responses rather than gastric acid secretion or neurotransmission</span></p></li></ul><p></p>
49
New cards

effects of H4 antagonists

  • block histamine-induced chemotaxis (directed movement of immune cells towards a rising concentration of histamine) and Ca2+ influx in mast cells

  • block the histamine-induced migration of tracheal mast cells from the connective tissue → epithelium

  • block neutrophil infiltration in a mouse zymosan-induced peritonitis model

  • ameliorate allergen induced, Th2 cytokine driven pathologies in a mouse model of allergic asthma, including lung remodeling and airway dysfunction

  • reduce pruiritus induced by histamine, substance P, or 2,4-dinitrochlorobenzene in mouse models

  • antagonist, N-(2-aminoethyl)-5-chloro1H-indol-2-carboxnamide, is effective against allergic asthma in mice

  • antagonist, JNJ7777120, is effective against diabetic retinopathy in mice

50
New cards

H4 receptor antagonists in clinical trials

terminated for severe side effects or low/no efficacy

<p>terminated for severe side effects or low/no efficacy </p><p></p>
51
New cards

H4 agonists

  • 4-methylhistamine

  • dimaprit

  • VUF8430

  • agonists = pro-inflammatory; can induce pruritis in mice

<ul><li><p>4-methylhistamine</p></li><li><p>dimaprit</p></li><li><p>VUF8430</p></li><li><p>agonists = <u>pro</u>-inflammatory; can<u> induce</u> pruritis in mice</p></li></ul><p></p>