L3 Polar Organometallic Reagents

0.0(0)
studied byStudied by 0 people
0.0(0)
full-widthCall with Kai
GameKnowt Play
New
learnLearn
examPractice Test
spaced repetitionSpaced Repetition
heart puzzleMatch
flashcardsFlashcards
Card Sorting

1/23

encourage image

There's no tags or description

Looks like no tags are added yet.

Study Analytics
Name
Mastery
Learn
Test
Matching
Spaced

No study sessions yet.

24 Terms

1
New cards

Common useful polar organometallics

knowt flashcard image
2
New cards

How does C-M bond polarity change as you go from p block through TMs to s block

p-blocks are significantly covalent while s blocks are significantly ionic.

3
New cards

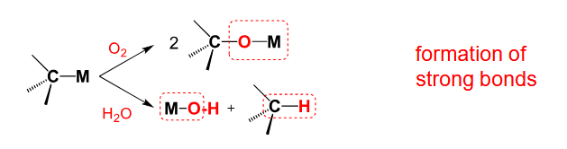
C-M reactivity with oxidation / hydrolysis

Generally the reaction will proceed due to the formation of strong bonds (M-O and/or C-H)

<p>Generally the reaction will proceed due to the formation of strong bonds (M-O and/or C-H)</p>
4
New cards

What determines the reactivity trend of R groups in R-M

More polar C-M bond = more reactive

More stabilised the partial negative charge on the carbon is by the R group (remember the C is more electrnegative than the metal)

5
New cards

Bearing in mind this stabilisation of the negative charge, what effects increase reactivity

sp3 > sp2 >> sp  as the -ve charge is more stable closer to the nucleus hence less reactive.

More substituted carbons receive a greater +ve inductive effect, and of course allylic, aromatic stablisation also applies

6
New cards

Does the metal-carbon complex act as an acid or base. What numerical factor can help determine how reactive the complex is going to be

Base (carbon is a nucleophile here)

<p>Base (carbon is a nucleophile here)</p>
7
New cards

Organolithiums (R-Li) are electron deficient. How do they solve this.

Aggregation (both solids and in solution). 

8
New cards

What is the degree of aggregation affected by

Bulkiness of the R group. e.g. nBuLi hexamer whereas tBuLi and sBuLi tetramers.

Solvents that donate electrons break down the aggregation - realistically this is only ethers and tertiary amines.

9
New cards

Why is lower aggregation desirable

It increases reactivity of the organolithium.

10
New cards

Grignard species structure

Less electron deficient than organolithiums. They form tetrahedral structures which are mono/dimeric

<p>Less electron deficient than organolithiums. They form tetrahedral structures which are mono/dimeric</p>
11
New cards

Schlenk equilibrium

Grignars exist in this equilibrium

<p>Grignars exist in this equilibrium</p>
12
New cards

Which is more reactive out of R-Li and R-MgX

R-Li as it is more electron deficient and the bond is more polar

13
New cards

How does beta-hydride elimination occur for R-Li

At high temperatures the beta carbon is deprotonated to froma an alkene

<p>At high temperatures the beta carbon is deprotonated to froma an alkene</p>
14
New cards

Why is R-Li kept in alkane solvents

It cleaves ether solvents if not at low temps.

<p>It cleaves ether solvents if not at low temps.</p>
15
New cards

Direct Synthesis of R-Li and R-MgX

Start with a haloalkane under an inert atmosphere (of Ar for Li as N2 won’t workdue to LiN3)

For R-Li use an alkane solvent.

For R-MgX use an ether solvent or THF.

Solvent must be anhydrous and aprotic.

Mg may require induction e.g. using a high surface area powder

<p>Start with a haloalkane under an inert atmosphere (of Ar for Li as N<sub>2</sub> won’t workdue to LiN<sub>3</sub>)</p><p>For R-Li use an alkane solvent. </p><p>For R-MgX use an ether solvent or THF.</p><p>Solvent must be anhydrous and aprotic.</p><p>Mg may require induction e.g. using a high surface area powder</p>
16
New cards

Synthesis via Metalation (metal-hydrogen exchange) - how can you shift the eq to the right

Proton exhange from one R group to another in exchange for a metal

You want R’ to have a lower pKa than R and R-H to be a gas

<p>Proton exhange from one R group to another in exchange for a metal</p><p>You want R’ to have a lower pK<sub>a</sub> than R and R-H to be a gas </p>
17
New cards

Synthesis via Metal-Halogen exchange - shifting equilibrium to right

Equilibrium shifted to the right when R’ > R stabilisation of carbocation. i.e. aryl or sp2

R-M often an alkyllithium.

<p>Equilibrium shifted to the right when R’ &gt; R stabilisation of carbocation. i.e. aryl or sp<sup>2</sup></p><p>R-M often an alkyllithium.</p><p></p>
18
New cards

R-M overview

knowt flashcard image
19
New cards

C-Cu(I) differences to s-block

Much more covalent than C-Li hence it is a softer nucleophile.

It will only react with a potent electrophile/ lewis acid

20
New cards

So how do we increase the reactivity, forming an organocuprate

Add a second R group to form a charge system.

<p>Add a second R group to form a charge system.</p>
21
New cards

How do we form organocupper and organocuprate

Note the difference in T, otherwise the only difference is the equivalents

<p>Note the difference in T, otherwise the only difference is the equivalents</p>
22
New cards

Reactivity of organocuprate [R2Cu(I)]- [M]+:

knowt flashcard image
23
New cards

Organozinc synthesis and features

C-Zn more covalent than C-Li hence soft nucleophile.

Synthesised via direct synthesis from activated Zn or transmetalation. Activated Zn employs reduction with K or alloys to remain acitve at its surface.

It has good chemoselectivity and can tolerate many FGs

It is not that reactive much like R-Cu, so a Lewis acid can be used on the substrate (for more electrophilicity) or a Lewis base on C-Zn (for more nucleophilicity)

<p>C-Zn more covalent than C-Li hence soft nucleophile.</p><p>Synthesised via direct synthesis from activated Zn or transmetalation. Activated Zn employs reduction with K or alloys to remain acitve at its surface.</p><p>It has good chemoselectivity and can tolerate many FGs</p><p>It is not that reactive much like R-Cu, so a Lewis acid can be used on the substrate (for more electrophilicity) or a Lewis base on C-Zn (for more nucleophilicity)</p>
24
New cards

Organozinc reactions

Negishi cross-coupling (comes later)

Simmons-Smith reaction - a concerted addition that conserves stereochemistry of reagent.

<p>Negishi cross-coupling (comes later)</p><p>Simmons-Smith reaction - a concerted addition that conserves stereochemistry of reagent.</p>