1/72
Looks like no tags are added yet.
Name | Mastery | Learn | Test | Matching | Spaced | Call with Kai |
|---|
No study sessions yet.
conditions for binomial test
test whether a population proportion (p) matches a null expectation for the proportion
one variable
categorical variable
two categories (success, fail)
what is the flow chart for deciding which test to use?
How many variables?
ONE
categorical
2 categories
BINOMIAL TEST
2+ categories
x² GOF - PROBABILITY DISTRIBUTION
numerical
x² GOF - POISSON DISTRIBUTION
TWO
sample size assumption met
x² CONTINGENCY TEST
sample size assumption not met
FISHER’S EXACT TEST
conditions for x² goodness of fit test
use frequency data to test whether a population proportion equals a null hypothesized proportion that comes from a specified probability distribution
use if sample size is too large for binomial test (can be very tedious to calculate the observed and more extreme many times; but less precise)
one variable
categorical or discrete numerical variable
no more than 20% of categories with expected < 5 & no category with expected < 1 & random sampling
what are the conditions for the x² contingency test
want to test the association of two or more categorical variables
two or more variables
categorical variables
no more than 20% of categories with expected < 5; no category with expected < 1; random sampling
what are the conditions for fisher’s exact test?
want to test the association of two categorical variables by calculating the exact probability of the sample under the null hypothesis (useful when the assumptions of x² test are violated)
two variables
categorical variables
random sampling
what are the test statistics for the binomial test, x² goodness of fit test, x² contingency test and the fisher’s exact test
(test statistic: value(s) calculated from the sample that are relevant to testing the null hypothesis)
binomial: p-hat (sample proportion) or x (number of successes of n trials)
x is used to calculate p-hat
x² gof: x²
x² contingency test: x²
fisher’s exact test: none (not really done by hand)
how to decide over binomial test and x² gof test
choose binomial when gof assumption not met
choose gof if too tedious to calculate probabilities of binomial (if gof assumptions are met as well)
how to decide between x² contingency and fisher
choose fisher if x² test assumptions are violated
which tests have sample assumptions and what are they
x² goodness of fit (probability distribution/poisson distribution) & x² contingency
no more than 20% of categories with expected values < 5; no category with expected < 1; random sampling
which tests use degrees of freedom and how do you calculate them?
x² goodness of fit test & x² contingency test
gof: (# of categories) - (# parameters estimated from data) - 1
contingency: (# columns - 1) * (# rows - 1)
what are the null hypotheses for a binomial test, x² gof test, x² contingency test, and a fisher’s exact test?
binomial: the relative frequency of successes in the population is p0
(p = p0)
gof: the data come from a specified probability distribution (proportional, poisson, binomial)
contingency: the variables are independent
fisher’s: the variables are independent
what are clear indicator to base a x² goodness of fit test on a poisson distribution and not some other distribution (proportional distribution)?
poisson
numerical discrete data
being asked if events are randomly distributed in time or space
what is x² (chi-squared statistic)
a single, non-negative number that quantifies the total discrepancy between a set of observed frequencies and the corresponding expected frequencies under a specific hypothesis
how does the use of x² compare and contrast in the goodness-of-fit test and the contingency test
same formula, differs in purpose and calculation of expected frequencies
gof: you are comparing your data to an external blueprint (the expected distribution)
contingency: you are comparing your data to an internal standard (what would be expected if the two variables were unrelated, as derived from the table’s own margins)
sample mean formula

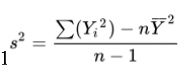
sample variance formula

sample variance shortcut formula

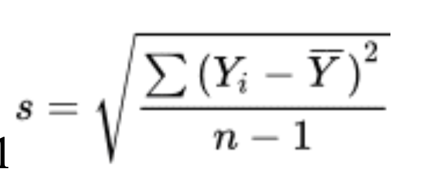
sample standard deviation

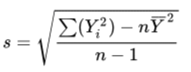
sample standard deviation short cut

coefficient of variation formula

median
the middle observation (if the number of observations is even, average the middle two values)
sample proportion + formula

how does adding a constant to all the measurements of a sample mean change it?
how does multiplying all the measurements of a sample mean change it?
the constant is added to the sample mean
the sample mean is multiplied by the constant
how does adding a constant to all the measurements of a sample variance change it?
how does multiplying all the measurements of a sample variance change it?
adding a constant does not change the variance
for multiplication the variance is multiplied by the constant squared (s² * c²)
how does adding a constant to all the measurements of a median change it?
how does multiplying all the measurements of a median change it?
the constant is added to the median
the median is multiplied by the median
how does adding a constant to all the measurements of a IQR change it?
how does multiplying all the measurements of a IQR change it?
the IQR is the same when adding
the IQR is multiplied by the absolute of the constant (only positive)
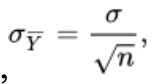
sample error of the mean + formula
measures the precision of the sample estimate (y-bar) of the population mean (mu)
assumes that the sample is random
we have to estimate this because we do not normally know the true standard deviation of Y in the population

s = sample standard deviation
n = sample size
parameter:

but we do not know the standard deviation of the population

Pr[A and B] for mutually exclusive events
0
Pr[A or B] for mutually exclusive events
Pr[A or B] = Pr[A] + Pr[B]
addition rule
Pr[A or B] for not mutually exclusive events
Pr[A or B] = Pr[A] + Pr[B] - [Pr A and B]
general addition rule
Pr[A and B] for independent events
Pr[A and B] = Pr[A]Pr[B]
multiplication rule
Pr[A and B] for dependent events
Pr[A and B] = Pr[A]Pr[B|A]
general multiplication rule
Law of total probability formula

binomial distribution probability formula

(n X) = n! / (x!(n-x)!)
estimate of the standard error of a proportion formula

agresti-coull 95% confidence interval for a proportion

p’ = (X + 2)/(n + 4)
binomial test p-value formula
2*(sum of the observed probability and more extreme)

what can you do to meet the assumptions of x²
combine categories
when is the null hypothesis rejected for x²
if the observed x² statistic exceeds the critical value of the x² distribution corresponding to a
what does comparing the variance of the number of successes per block of time or space to the mean number of successes do?
measures the direction of departure from randomness in time and space
if the variance is greater than the mean, the successes are clumped
if the variance is less than the mean, success are more evenly distributed than expected by the poisson distribution
formula for the x² test statistic

formula for the poisson distribution
(describes the number of independent events that occur per unit of time or space)



odds of success + formula
probability of success divided by the probability of failure
the odds ratio
the odds of a focal outcome in one of two groups (treatment group) divided by the odds of that outcome in the second group (control)
used to quantify the magnitude of associations between two categorical variables, each of which has two categories
z-standardization + formula
converts values from any normal distribution with known mean and known standard deviation into standard normal deviates

what are the steps to perform a binomial test?
state null and alternative
H0: p = p0
determine the number of successes
what will be used to compute a test statistic (proportion) that we will compare against the null expectation
calculate p-value using the binomial formula
the probability of observing a result as extreme or more extreme than the observed statistic (X) assuming the null hypothesis is true
use the binomial formula to calculate the probability of the observed and more extreme for one of the tails then multiply by 2
draw conclusions
based on if p is larger or smaller than alpha (0.05 if not mentioned)
what are the steps to perform a x² goodness of fit test based on a probability distribution
state null and alt
null: frequency distribution of the observed data matches a specific probability model or set of expected proportions
calculate expected frequencies (E)
use the rule or probability model stated in the null to determine the expected frequency for each category

the sum of all expected frequencies must equal the sum of all observed frequencies
ensure that x² assumptions are true by checking expected frequencies
if assumptions are not met combine categories to increase the expected frequencies and then proceed with the new set of categories
calculate the x² test statistic
x² measures the total discrepancy between the observed counts and the expected counts

determine the degrees of freedom
the df specify which x² theoretical distribution is used as the null distribution

find the p-value and conclude
compare the calculated x² statistic to the x² distribution with the calculated df
the p-value is the area in the right tail of the distribution

what is the critical value (in terms of x²)
the threshold on the x² distribution that separates the fail to reject and reject region
choose the significance level
look up the values in a x² critical values table
find the row corresponding to your df
find the column corresponding to a
the intersection is the critical value
in an x² goodness of fit test (probability distribution) how does the critical value help us draw conclusions
since we only consider the right tail
anything that is smaller than the critical value is considered more likely to happen
fail to reject the null
p larger than alpha
anything that is larger than the critical value is considered less likely to happen
reject the null
p is smaller than alpha
what are the steps to perform a x² goodness of fit test based on a poisson distribution?
state the null and alt
null: the number of successes per block of time or space has a poisson distribution
estimate mean rate of the poisson distribution
since it is usually unknown, it must be estimated from your data
calculate the sample mean of your observed count data. This value is used as the mu parameter in the poisson formula
calculate the expected frequencies using the poisson formula

check assumptions and combine categories if needed

calculate the x² test statistic

determine the degrees of freedom
draw conclusions by comparing x² to the x² distribution with the determined df
if calculated x² statistic exceeds the critical value from the x² table, reject the null and conclude that the data does not follow a poisson distribution
what are the steps to perform a x² contingency test?
state the null and alt
null: the two categorical variables are independent
alt: the two categorical variables are not independent
organize the observed data
arrange your sample data into a contingency table listing the observed frequencies for every combination of the two categorical variables
count the number of rows and number of columns in your table
calculate the expected frequency for every cell in the table and check for assumptions

calculate the x² test statistic

determine the degrees of freedom

find the p-value and conclude

how does a fisher’s exact test work and what are the steps to perform in computationally?
an exact test unlike the x² contingency test which is an approximation
has no minimum data requirements
the test’s output allows you to determine if there is a statistically significant association (or lack of independence) between the two variables by providing a p-value
the R function also provides the odds ratio as a measure of the strength of the association
create a frequency table
test requires the data to be in a contingency table
after reading in data use table() command to create this object
explanatory variable should come first

(optional) set the order of the factor level
ensures the odds ratio is calculated with the probability of success in the numerator
default is alphabetical

run the test
use the fisher.test() function providing your created frequency table as the input

interpret the results
to get just odds ratio: sex_survive_fisher$estimate
to get just the 95 confidence interval: sex_survive_fisher$conf.int
what are the steps to perform a x² contingency test computationally?
create a frequency table using table()
explanatory variable first

check the x² test assumptions (all expected values are greater than 1 and at least 80% are greater than 5) by using $expected

run the test using chisq.test() + correct = FALSE (to prevent a “Yate’s correction” which can be overly conservative)

interpret the results
returns x² value, df and p-value
what is the function to run the fisher’s test?
fisher.test(table)
what is the function to run the x² test
chisq.test(table, correct = FALSE)
code: changing the position of categories
factor(data$column, levels = c(“name1”, “name2))
levels()
shows you the categories in a column and its order
what should you add when reading in data (esp for a fisher or contingency test)
stringsAsFactors = TRUE
code: creating a mosaic plot
mosaicplot(table)
optional additions: colour = c(“colour1”, “colour2”), xlab = ““, ylab = ““
pulling odds ratio or confidence interval from a fisher test
object$estimate
object$conf.int
what are the steps to perform a x² goodness of fit test computationally? (probability and poisson)
x² goodness of fit test compares observed category frequencies to the frequencies predicted by a null hypothesis
either a null hypothesis specifies the probability or you estimate a parameter for your data (poisson distribution)
Case 1: probabilities given
get observed frequencies using table()

define expected proportions
create a vector containing the expected proportions for each category as specified by your null hypothesis

check the expected frequencies for test assumptions
find the total sample size: sum(MMtable)
calculate the expected frequencies: 55 * expected_proportions
combine categories to meet expectations
run the test by inputting expected_proportions to the chisq.test()

interpret results
Case 2: Test with estimated parameters (poisson)
get the observed frequencies using table()

estimate parameters from the data
the null hypothesis is that the data follows a poisson distribution, but the mean is unknown; so we must estimate it from the data

calculate expected probabilities
using the estimated parameter use the dpois() function to find the expected probability for each possible outcome

calculate the expected frequencies and combine categories
get the total sample size: length(column of interest)
calculate expected frequencies by multiplying the probabilities by the total sample size: # * expected_probability
check assumptions and combine
create new vectors for your combined observed and expected frequencies
calculate the x² statistic using chisq.test() and rescale.p = TRUE and $statistic

calculate degrees of freedom manually
# of categories - 1 - # of estimated parameters
find the correct p-value using pchisq()
give it your x² statistic (q) and your manually calculated df and lower.tail = FALSE to get the p-value (the area in the right tail)

interpret the result
dpois()
dpois(x, lambda)
calculates the probability of getting x successes for a poisson distribution with a mean of lambda

calculates the probability of 0, 1, 2, … 20 successes given the estimate mean.
sum() vs length()
sum()
looks at the values inside a vector and adds them all together
can help you get sample size
eg.
sum(table(countries$continent))
table() creates the frequency table of counts
sum() adds those counts to get the sample size
length()
looks at the items in a vector and tells you how many there are
helps you determine how many categories
eg.
length(countries$continent)
length() counts the number of elements in the vector
how does running a x² test differ between no poisson and poisson?
probability distribution (no estimated parameter):
chisq.test(x = tablewithexpectedfrequencies, p = exp_proportions)
poisson distribution (estimated parameter):
chisq.test(x = obs_frequencies, p = exp_frequencies, rescale.p = TRUE)$statistic
followed by
pchisq(q = x²value, df = manuallydetermineddf, lower.tail = FALSE)
what are the steps to perform a binomial test computationally?
identify the 3 required inputs of binom.test()
x: the number of observed successes
n: the total number of data points or trials
p: the proportion specified by your null hypothesis
run the binom.test()

interpret the results based on p-value
what are the steps to create a confidence interval for a proportion computationally
load the binom package (to use the Agresti-coull method)
library(binom)
run the binom.conf() function with method = “ac”

code: confidence interval of mean

code: interquartile range

code: coefficient of variation

code: bar graph

code: boxplot

code: x² contingency analysis


code: p-value from x² statistic
