1/11
Looks like no tags are added yet.
Name | Mastery | Learn | Test | Matching | Spaced |
|---|
No study sessions yet.
macromolecule
a large molecule (polymers) made up of repeating smaller subunits called monomers
four types of macromolecules:
carbohydrates
proteins (amino acids)
lipids (glycerol and hydrocarbons)
nucleic acids (nucleotides)
monomers
linked using dehydration synthesis reaction/condensation (creates water)
HYDROLOSIS: breaking apart a macromolecule to a monomer
carbohydrates
anything with a monomer of the form. (CH2O)n
these monomers are called MONOSACCHARIDES or simple sugars
simple sugars combine to form polysaccharides
sugars
classified as ALDOSES or KETOSES depending where the double bonded oxygen is
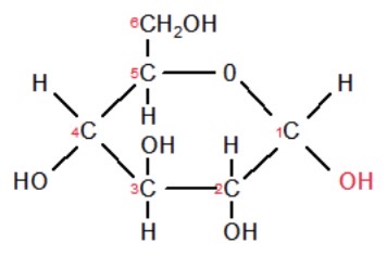
a-glucose
the alcohol on C#1 will be DOWN

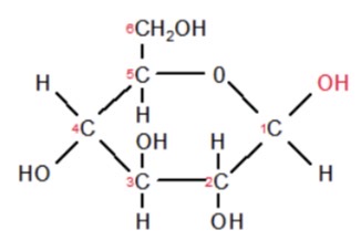
b-glucose
alcohol on C#1 will be UP

polysaccharides
starch
cellulose
glycogen
chitin
starch
storage molecules in PLANTS
ALPHA 1,4 bonds between multiple glucose bonds
cellulose
structural molecule in PLANTS
BETA 1,4 bonds
glycogen
storage molecules in ANIMALS
BETA 1,4 & 1,6 bonds
chitin
structural molecule in ANIMALS
ALPHA 1,4 bonds