Descriptive Statistics

0.0(0)
studied byStudied by 0 people
full-widthCall with Kai
GameKnowt Play
learnLearn
examPractice Test
spaced repetitionSpaced Repetition
heart puzzleMatch
flashcardsFlashcards
Card Sorting

1/23

encourage image

There's no tags or description

Looks like no tags are added yet.

Study Analytics
Name
Mastery
Learn
Test
Matching
Spaced

No study sessions yet.

24 Terms

1
New cards

descriptive statistics

Data can be described as graphical and numerical

2
New cards

graphical methods: categorical variable

bar graph
pie chart
count & percentage

3
New cards

graphical methods: numeric variable

histogram, box plot, dot plot, stem and leaf plot
average: mean or median
variability: standard deviation (if mean is reported), IQR or range (if median is reported)

4
New cards

five number summary

minimum, Q1, median, Q3, maximum

5
New cards

µ vs x bar

µ is the population mean (must have a census); this is a parameter
x bar is the sample mean; this is a statistic

6
New cards

mean vs median: outliers

median is resistant to outliers
mean is sensitive to outliers

7
New cards

mean, median, and mode

mean is the balance point of the distribution
median is the equal-areas point, area under the curve to the left of the median and the area under the curve the right of the median are equal
mode is the peak point of the distribution, where the curve is highest

8
New cards

when are they applicable: mean, median, and mode

mean: ratio or interval scale data
median: ratio or interval scale data, also on the ordinal scale
mode: summarizes categorical variables with the relative frequency

9
New cards

variance and standard deviation

provide a summary of the dispersion of individual observations around the mean

10
New cards

population variance

σ² (population parameter): sigma squared
usually unknown and must be estimated by the sample variance (s²); sample statistic

11
New cards

population standard deviation

σ: sigma
usually unknown and must be estimated by sample standard deviation (s)
σ: is a population parameter
s: is a sample statistic

12
New cards

when the deviation =0…

the observation is equal to sample mean
deviation = difference
how much does it differ from the sample mean

13
New cards

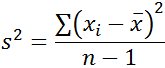
calculating sample variance(s²)

the population variance (sigma squared) is estimated by the sample variance (s²)

xi - xbar: subtracting the mean from the observation; value may be negative; gives you the deviation from the mean
(xi - xbar)^2: square the deviation, so all values are positive
sum all squared deviations
s^2 = (1/n-1)(sum of all squared deviations)

<p>the population variance (sigma squared) is estimated by the sample variance (s²)</p><p>xi - xbar: subtracting the mean from the observation; value may be negative; gives you the deviation from the mean<br>(xi - xbar)^2: square the deviation, so all values are positive<br>sum all squared deviations<br>s^2 = (1/n-1)(sum of all squared deviations)</p>
14
New cards

corrected sum of squares

knowt flashcard image
15
New cards

degrees of freedom

n-1
1 degree of freedom was lost when µ (population mean) was replaced by x. In other words, the term (n − 1) is used in the denominator instead of n to adjust for the fact that the mean of the sample is used as an estimate of the mean of the underlying population.

16
New cards

disadvantages to variance

• The units of the variance are in the units of the original data squared. If the measurements are in pounds, their variance will be in terms of pounds squared, even though such squared units have no physical interpretation.
• The variance measures variability around the mean. Since the mean is affected by outliers, the variance will also be affected by outliers.

17
New cards

standard deviation

The standard deviation is the positive square root of the variance; thus, it is measured in the units of the original data. Being the positive square root of the variance, the standard deviation is always a nonnegative number.
The population standard deviation is denoted by σ ("sigma").
Since the entire population is rarely known, it must be estimated using the sample standard deviation, denoted by s.

18
New cards

sample standard deviation

take the square root of sample variance

19
New cards

More about sample standard deviation

preferred measure of dispersion when the mean is used as the measure of center
measures the average deviation from the mean. It measures variation by indicating how far, on average, the observations are from the mean.
influenced by outliers

20
New cards

standard error

describes the variability of a statistic from sample to sample

measures the variability of the mean of the sample as an estimate of the true value of the mean for the population from which the sample was drawn.

21
New cards

standard error of the mean

tells us how variable the mean changes from sample to sample

<p>tells us how variable the mean changes from sample to sample</p>
22
New cards

coefficient of variation

A measure of relative variability computed by dividing the standard deviation by the mean and multiplying by 100.

<p>A measure of relative variability computed by dividing the standard deviation by the mean and multiplying by 100.</p>
23
New cards

skewness

a measure of symmetry, or more precisely, the lack of symmetry
skewness is the average of cubed deviations about the mean

24
New cards

excess kurtosis

helpful in assessing normality
indicates the heaviness of the tails relative to the middle of a distribution
kurtosis is the average of the fourth power of the deviations about the mean, it is always nonnega