1/52
Looks like no tags are added yet.
Name | Mastery | Learn | Test | Matching | Spaced |
|---|
No study sessions yet.
Rewrite: min(p, q)
Algebraic: p · q
Rewrite: max(p, q)
Algebraic: p + q - (p · q)
Algebraic: 1 - p
Rewrite: not p or q
Algebraic: 1 - p + p·q
Rewrite: (p implies q) and (q implies p)
Algebraic: p · q + (1 - p)(1 - q)
Questions for all of them
And: are they both 1?
Or: is there a one?
Implies: you know this
Iff: are they the same:
XOR: are they different?
Contrapositivity Theorem
For p, q propositions:
p implies q equiv to:
neg q implies neg p
Can prove by truth table
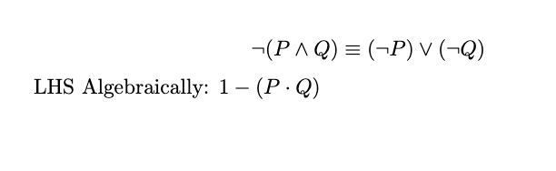
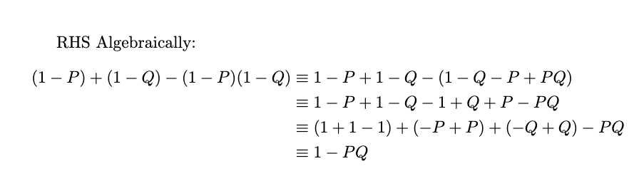
De Morgan's Laws
¬(p ∧ q) ≡ ¬p ∨ ¬q
¬(p ∨ q) ≡ ¬p ∧ ¬q
Absorption Laws
p ∧ (p ∨ q) ≡ p
p ∨ (p ∧ q) ≡ p
Distributive Laws
p ∨ (q ∧ r) ≡ (p ∨ q) ∧ (p ∨ r)
p ∧ (q ∨ r) ≡ (p ∧ q) ∨ (p ∧ r)
Associative Laws
(p ∨ q) ∨ r ≡ p ∨ (q ∨ r)
(p ∧ q) ∧ r ≡ p ∧ (q ∧ r)
(p =⇒ q) ≡
(¬q) =⇒ (¬p)
Theorem 3. 1.2.2 (p =⇒ q) ≡ (¬q) =⇒ (¬p) step 1

Theorem 3. 1.2.2 (p =⇒ q) ≡ (¬q) =⇒ (¬p) step 2

Theorem 3. 1.2.2 (p =⇒ q) ≡ (¬q) =⇒ (¬p) step 3

Theorem 3. 1.2.2 (p =⇒ q) ≡ (¬q) =⇒ (¬p)

Theorem 4. 1.2.3 Proving DeMorgan’s Law


1.2.4 Gates Fan-in and fan-out, and gate

Fan-in: 2
Fan-out: unbounded
1.2.4 Gates Fan-in and fan-out, or gate

Fan-in: 2
Fan-out: unbounded
1.2.4 Gates Fan-in and fan-out, not gate

Fan-in: 1
Fan-out: unbounded
1.2.4 Gates Fan-in and fan-out, input gate

Fan-out: 1
Fan-in: 0
The final output gate is either

1.2.5 Formulas
special circuits where every gate has fan out ≤ 1
1.2.6 Satisfiable and not satisfiable equations
What it sounds like, some expressions will never evaluate to True
1.3.1 Prefix string encoding:
Start at top, then go left to right.
1.3.2 Quantifiers
Where x is unknown, the expression x2 + 8 = 17 is not a valid proposition, but
it can be made into one by using a quantifier.
Existential Quantifier ∃
(∃x P (x))
There exists an x such that P (x) is true.
Common number sets:
• Complex numbers: C
• Real numbers: R
• Real numbers: ∀
1.3.3 Transformation Rule (Quantifiers)
¬(∀x P (x)) ≡ ∃x ¬P (x)
¬(∃x P (x)) ≡ ∀x ¬P (x)
1.3.4 One Bit Addition
