1/22
Looks like no tags are added yet.
Name | Mastery | Learn | Test | Matching | Spaced |
|---|
No study sessions yet.
Vai trò nucleotide tự do
Dự trữ năng lượng
Truyền tải thông tin nội bào
Đáp ứng tín hiệu ngoại bào
Thành phần cấu tạo CoE
Lý do RNA kém bền hơn DNA trong base
Do ribose có 2’OH trong môi trường base OH này dễ tấn công làm gãy phosphodiester

Tính chất đồng phân tautomer của purin pyrimidin
Thay đổi vị trí H kèm theo đó là sự thay đổi vị trí nối đôi.
Amin(lactim)→imine(lactam):NH2-C=C→NH=C-C Cetol(lactam)→enol(lactim):O=C-C=C→OH-C=C-C
→các ĐP tautomer có thể gây bắt cặp sai

Các dạng tồn tại chính của nucleotide trong cơ thể
adenin→amin(lactim)
Guanin→Cetol(lactam)
cystosine→amin(lactim)
thymin→cetol(lactam)
uracil→(enol)Lactim
Tính hòa tan của Base
-Base yếu(pKb~10-11, pKb cao thì base yếu) do nhóm NH2
-Ít tan trong H2O ở Ph sinh lý, nhưng ở dạng polynucleotid thì tan cao hơn.Guanin kém tan nhất
Phương pháp xác định độ tinh sạch của acid Nu
acid nucleic hấp thu mạnh 260nm còn protein 280nm→tính tỉ lệ A260/A280
Nucleoside
sp thủy phân ko hoàn toàn A.N→ko có gốc P
Liên kết giữa đường và base là beta-N-Glycosid(có ở cả A.N acid nucleic)
Lk beta-N-glycosid có thể xoay hạn chế→syn/anti

Tên danh pháp Nucleosid
-purin→osin/deoxy….osin
-pyrimidin→idin/deoxy….idin

Adenosine
-giãn mạch,co cơ trơn, điều hòa nhịp tim,giãn mạch tăng oxy điều hòa giấc ngủ, chất ức chế dẫn truyền tỉnh táo→buồn ngủ
-Cafein dẫn xuất purin→cạnh tranh adenosine
Danh pháp nucleotide
Nucleoside-n-phosphate(n=mono/di/tri)
Trong acid nucleotic thì luôn ở dạng NMP(nucleoside-monophosphate)→RNA
dNMP→DNA
Phân biệt các liên kết của phosphate trong nucleotide
phosphate-đường→ester
phosphate-phosphate→pyrophosphat
Đánh số phosphate→tính từ C5’→alpha, beta, gamma

Nucleotid có mấy dạng mạch
Nucleotid vòng và nucleotid thẳng
Thủy phân nucleotide tạo năng lượng
Liên kết anhydride thủy phân sẽ cho nhiều nlg hơn ester
nồng độ ATP nội bào khoảng 1mmol/l

vai trò AMP vòng(cAMP)
-Chất thông tin thứ 2
-Hormone kích thích thụ thể→hoạt hóa adenylate cyclase→biến đổi ATP thành cAMP→cAMP kích thíc quá quá trình truyền tin→cuối cùng cAMP phosphodiesterase thủy phân cAMP thành AMP
-Nồng độ cAMP~1nmol/L
Vai trò GTP GDP
Cung cấp năng lượng cho 1 số hoạt động, đặc biệt trong tổng hợp protein
GTP giúp hoạt hóa adenylate cyclase
cGTP tham gia 1 số pư theo con đg GTP→cGMP→GMP
Dẫn xuất uridin
UTP,UDP đóng vai trò CoE trong chuyển hóa glucid nhờ tạo phức UDP-glucid để vận chuyển
Glucose phải tạo UDPglucose để vận chuyển gắn vào glycogen
UDP,UTP giàu nlg
Dẫn xuất cytidin
-CTP,CDP giàu nlg
-CTP→tổng hợp 1 số phosphoglyceride ở ĐV
-CDPcholine→tham gia tổng hợp sphingomyelin và sphingosin
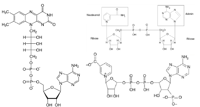
NAD+,NADP+,FAD
-nicotinamid adenin dinuclotid,nicotinamid adenin dinucleotid phosphate, flavin adenin dinucleotid
-Riêng thằng NADP+ có thể cung cấp phosphate

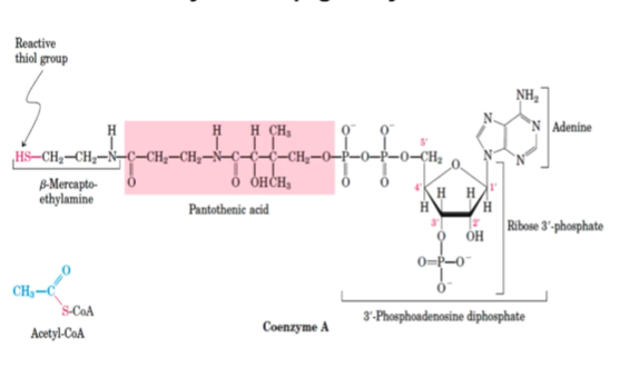
Coenzyme A
Vận chuyển acetyl(CH3-CO)→actyl-S-CoA
HS*-R-pantothenic acid(vitB5)-p-p-adenosine
→cấu trúc CoA

Cytarabine
-Chất tương tự deoxycytidine nhưng có 2’OH hướng lên
→cạnh tranh với dCytidine trong tổng hợp DNA
→2’OH làm mất ổn định cấu hình DNA
→ngăn tổng hợp DNA→trị ut bạch cầu
5-iodo-2’-deoxyuridine và 5-florouracil
cũng trị ung thư do cấu hinh tương tự nucleoside và nuclotide
Allopurinol
-Cấu trúc tương tự purine gắn vào xanthine oxydase→Ức chế cạnh tranh chuyển hóa purine thành acid uric
→Điều trị tăng acid uric máu
Phân biệt exonuclease và endonuclease
exon cắt từ đầu 5’phosphate vào
edon cắt ở giữa mạch