1/9
Looks like no tags are added yet.
Name | Mastery | Learn | Test | Matching | Spaced | Call with Kai |
|---|
No analytics yet
Send a link to your students to track their progress
What happens to expected value and variance if you add a constant (C)?
E[X ± C] = E[X] ± C
old E[X] ± constant
Var[X ± C] = Var[X]
variance remains unchanged
![<p>E[X <span>±</span> C] = E[X] <span>± C</span></p><ul><li><p>old E[X] <span>± constant</span></p></li></ul><p><span>Var[X ± C] = Var[X]</span></p><ul><li><p>variance remains unchanged</p></li></ul><p></p>](https://knowt-user-attachments.s3.amazonaws.com/1cef315a-5536-4a80-a3a1-9ec56f3a4f31.png)
What happens to expected value and variance if you add the possibilities of x to y?
E[X ± Y] = E[X] ± E[Y]
Var[X ± Y] = Var[X] + Var[Y]
the variance of x is always added to the variance of y even if they’re subtracted!
can only add the variance of x & y if independent!
![<p>E[X ± Y] = E[X] ± E[Y]</p><p>Var[X ± Y] = Var[X] + Var[Y]</p><ul><li><p>the variance of x is always added to the variance of y even if they’re subtracted!</p></li><li><p>can only add the variance of x & y if independent!</p></li></ul><p></p>](https://knowt-user-attachments.s3.amazonaws.com/2e605160-da0b-49eb-b235-94a3a3ae4c35.png)
What happens to expected value and variance if you multiply by a constant (a)?
E[aX] = aE[X]
Var[aX] = a² Var[X]
![<p>E[aX] = aE[X]</p><p>Var[aX] = a² Var[X]</p>](https://knowt-user-attachments.s3.amazonaws.com/faf508d9-c6d3-4fc0-9c8c-87beeae64592.png)
What are the 2 simple models?
Geometric
Binomial
What is a geometric model formula?
How many trials will it take until we get our first success?
p = probability of success
q = 1 - p (probability of failure)
x = # of trials until first success occurs

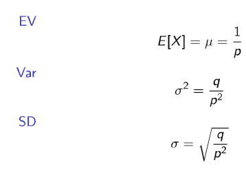
What is the expected value, variance, and standard deviation for geometric models?

What is the binomial model formula?
How many successes out of a number of trials?
x = # of successes
p = probability of success per trial
q = 1 - p (probability of failure)
n = number of trials

What is the expected value, variance, and standard deviation for binomial models?

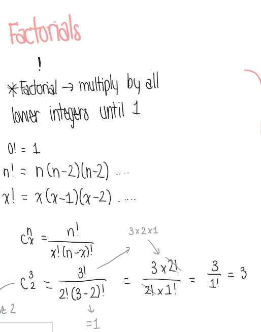
What are factorials?

What is the coefficient for variation?
