1/10
Looks like no tags are added yet.
Name | Mastery | Learn | Test | Matching | Spaced | Call with Kai |
|---|
No analytics yet
Send a link to your students to track their progress
Definition of Simple Harmonic Motion (SHM)

The Restoring Force (Hooke's Law)

Differential Equation for SHM

General Solution for Position x(t)

Angular Frequency (ω) for a Mass-Spring System

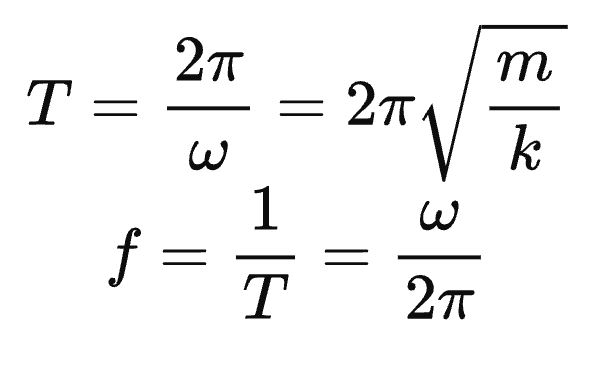
Period (T) and Frequency (f)

Velocity in SHM

Acceleration in SHM

Total Mechanical Energy in SHM

Period of a Simple Pendulum

Phase Constant (Φ)
