1/75
Looks like no tags are added yet.
Name | Mastery | Learn | Test | Matching | Spaced | Call with Kai |
|---|
No analytics yet
Send a link to your students to track their progress





















































integration by parts









what is IVT?
The Intermediate Value Theorem (IVT) states that if a function is continuous on a closed interval , it must take every value between and at least once, meaning for some in . It guarantees the existence of a root or solution within an interval
What is EVT?

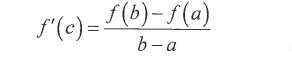
What is MVT

Rolle’s Theorem

first derivative test for max/min

secon derivative test for max/min

displacement is ?
the integral of velocity
total distance travelled
integral of the absolute value of velocity
speed is
|velocity|
how to know if speed is increasing or decreasing

average rate of change
slope

instantaneous rate of change
derivative
when f’(x)=0
f(x) has a max or min
when f’’(x)=0
this is a point of inflection on f(x)
what is a point of inflection
where the concavity changes
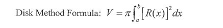
volume by washers

diffy q seperation of variables steps

Euler’s method

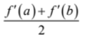
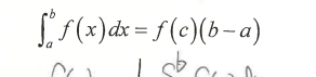
MVT formula

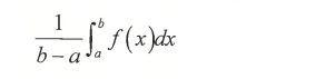
MVT formula for integrals

average value

displacement
integral of velocity
distance travelled
integral of |velocity|
final position
initial position + integral of velocity
area Between Curves
Integral of top- bottom or integral of right - left
volume of known cross section

disk method formula

shell method

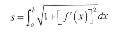
arc length (rectangular)

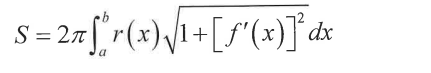
surface area

harmonic series
1/n
limit of a sequence

nth term test
shows only divergence

the integral test

p series test

error Bound for integral test

direct comparison test

limit comparison test

alternating series test

define absolute convergence

conditional convergence

how do we estimate the sum of a convergent alternating series

ratio test

root test - this is not tested but could be helpful
