1/20
Looks like no tags are added yet.
Name | Mastery | Learn | Test | Matching | Spaced | Call with Kai |
|---|
No analytics yet
Send a link to your students to track their progress
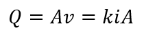
Discharge (Q)

Discharge Velocity (V)

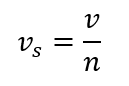
Seepage Velocity (Vs)

Hydraulic Gradient (i)

Hydralic Conductivity: Constant Head Test

Hydralic Conductivity: Falling/Variable Head Test

Hydralic Conductivity: Pumping Test (Unconfined)

Hydralic Conductivity: Pumping Test (Confined)

Equivalent Coefficient of Permeability: Parallel Flow

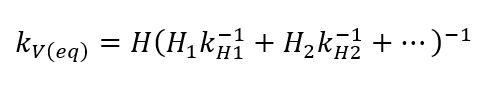
Equivalent Coefficient of Permeability: Perpendicular Flow

Isotropic Soil

Non-isotropic Soil

Unit Drop

Stress Distribution: Boussinesq Equation (Due to Uniform Load)

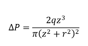
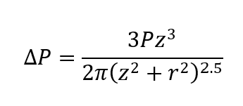
Stress Distribution: Boussinesq Equation (Due to Concentrated Load)

Basic Settlement Formula

Primary Settlement: Normally Consolidated

Primary Settlement: Over-Consolidated

Swell Index

Compression Index

Over-consolidation Ratio
