1/65
Looks like no tags are added yet.
Name | Mastery | Learn | Test | Matching | Spaced | Call with Kai |
|---|
No analytics yet
Send a link to your students to track their progress
What is the basic definition of DNA?
The chemical structure of the heredity molecule
What did Miescher discover in 1869?
Nuclein (DNA)
What did Levene discover in 1919?
Nucleotides described, polynucleotide model for DNA proposed
What did Griffith discover in 1928?
The transfer of genetic material between bacteria observed
What did Avery discover in 1944?
DNA can carry genetic code
What did Chargaff discover in 1950?
Nitrogen base ratio related to genetic code
What did Franklin and Wilkins discover in 1951?
X-ray data for DNA structure show double helical shape
What did Hershey and Chase discover in 1952?
DNA proven sole provider of genetic code
What did Watson and Crick discover in 1953?
DNA double helix structure discovered
What is Mendel known for?
Discovering the fundamental laws of inheritance
What did Griffith discover in relation to bacteria?
That 2 non-lethal strains of bacteria combined could produce fatal pneumonia in mice
How did Watson benefit from Franklin?
Saw Franklin’s unpublished x-rays so could then see which of his own models was probably right
What does DNA look like/what is it made up of?
Made of two long strands made up of repeating sequences of simple units called nucleotides

What 2 things is each nucleotide attached to?
A sugar and a phosphate group

A base, a sugar, and a phosphate group altogether form a nucleotide which is what vague thing?
The backbone of a DNA molecule
What does anti-parallel mean?
Means that the nucleotide sequences in the two strands run in opposite directions to each other
What is the function of nucleotides?
They give DNA its ability to store and transmit genetic information
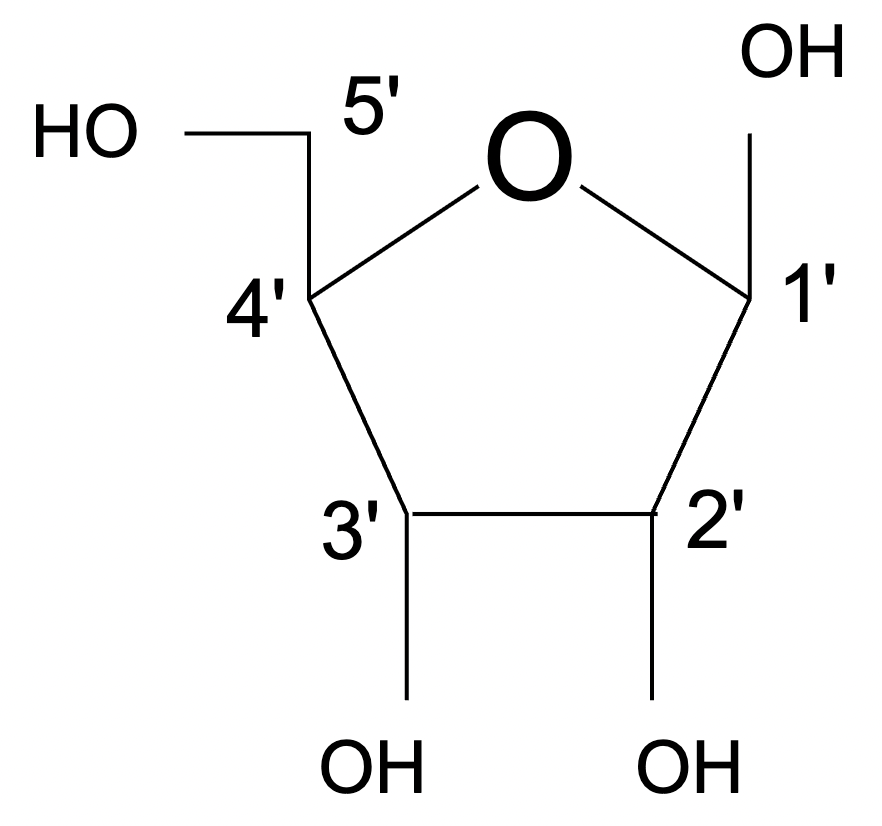
What are the 3 parts of the nucleotide structure?
Nitrogen base (4 kinds)
5-carbon sugar (deoxyribose)
Phosphate group
For every nucleotide, is the sugar and phosphate the same?
Yes
What is the one thing that does change in a nucleotide?
The base
What are the 4 nucleotide bases?
Adenine (A)
Guanine (G)
Cytosine (C)
Thymine (T)
Is the 5-carbon sugar the same for every nucleotide?
Yes
Is the phosphate group the same for every nucleotide?
Yes
Which 2 nucleotide bases are the purines?
Adenine and Guanine
What is the structure of purines and who can they bond to?
Purines have a double ring structure; they can only bond to pyrimidines
Which 2 nucleotide bases are the pyrimidines?
Cytosine and Thymine
What is the structure of pyrimidines and who can they bond to?
Pyrimidines have a single ring structure; can only bond to purines
Why can purines and pyrimidines only bind to each other?
Because of the way the hydrogen bonds are positioned on the rings
Why can’t a purine bind to a purine and a pyrimidine to a pyrimidine?
In purines the molecules are too close leading to overlap repulsion; in pyrimidines the molecules are too far apart for hydrogen bonding
Which bases must match with which bases?
A must go with T; G must go with C
Why can’t A match with C and why can’t G match with T?
Because the positions of hydrogen donors and acceptors are mismatched
A and T bind with how many hydrogen bonds?
2 hydrogen bonds
G and C bind with how many hydrogen bonds?
3 hydrogen bonds
Each base is attached to a cyclic 5-carbon sugar molecule (deoxyribose) by what kind of bond?
A glycosidic bond
What happens to the 5th carbon in the sugar molecule? What takes its place?
The 5th carbon atom extends out; oxygen completes the 5-sided ring with the other 4 carbons
How are the carbons numbered and what are the names?
Numbered clockwise after the oxygen atom; called 1 prime (1’), 2 prime (2’), etc.

Which two carbons are important for the start and end of a strand of DNA?
3’ and 5’
“DNA molecules are built by joining-”
“-nucleotides together in a linear sequence.”
What is the distance between each base pair?
0.34nm
What parts of the nucleotide connect it to the next one in the sequence?
Connecting the sugar of one to the phosphate of another
Sugar molecule (deoxyribose) and phosphate join by what kind of bond?
Phosphodiester bond
The phosphodiester bonds form between which carbons of adjacent sugar molecules?
Carbons 3 and 5
Sugar-to-phosphate linkage forms what vague component?
The backbone of the DNA molecule
So, when we picture it in our minds, DNA looks like what?
Two anti-parallel strands with 5’ and 3’ ends
5’ and 3’ are the beginning and end but which is which? Why
5’ is the beginning (first nucleotide on the strand has a phosphate group attached to 5’); 3’ is the end (last nucleotide on the strand has a hydroxyl group (OH) in the 3’ position of the sugar)
Does DNA have a direction? Why or why not?
Yes; the phosphate group always joins at the 3’ end of the sugar as nucleotides are added
SO nucleotide sequences are always read from the *** prime to the *** prime end
5’ to the 3’
Each nucleotide on one strand will attract what to form what?
Attract its complementary nucleotide to form a base pair
Can DNA remain as a single strand?
No, not under normal conditions
If DNA has two strands that run anti-parallel, where would the 5’ and 3’ be on each strand?
They would flip- 5’ at the top of one and at the bottom of the other and same for 3’
Why does DNA twist/have a helical shape?
Because of the bond angles between the phosphate and the sugar AND between the nucleotides
By twisting, a DNA molecule achieves what?
Its most stable configuration
The amount of coiling in a DNA molecule depends on what 2 things?
Chemical conditions
Temperature
On average under normal conditions, how many nucleotides does it take to make one complete turn?
About 10 nucleotides
If the difference between each base pair is 0.34nm and it take 10 nucleotides to make one twist, how long is one full helical twist?
3.4nm
What is the size difference between individual nucleotides and a DNA molecule? (not in numbers)
Nucleotides are very small; since DNA molecules are made up of millions of nucleotide base pairs DNA molecules can be very large
What is the largest human chromosome? How many base pairs does it have?
Chromosome 1; has 245 million base pairs

What is DNA extraction? It’s purpose?
Process of isolating DNA from the tissue; to study it's structure, properties, and sequence
Is heat good or bad during DNA extraction?
Good! If the lysis and tissue solution are heated it will break down any enzymes that can degrade DNA and ruin the extraction
Why are strawberries good for isolating DNA?
Because they are octoploid meaning they have 8 copies of their DNA
During DNA extraction, when DNA starts to appear what is it ‘called’?
‘Precipitation’
