1/58
Looks like no tags are added yet.
Name | Mastery | Learn | Test | Matching | Spaced | Call with Kai |
|---|
No analytics yet
Send a link to your students to track their progress
michelson-morely experiement
an attempt to measure the motion of the Earth relative to the luminiferous aether
What was the result of the speed of the two lights from the michelson-morley experiment?
both lights moved at the exact same speed, and there was no ‘aether’ acting upon them
aether
an invisible material that wasen’t interacting with anything but was giving light it’s speed
originally, scientists thought that before the michelson-morely experiment light acted like
a wave, and a wave needed some material to travel through
luminiferous aether
the medium that light travels through that is too fast to observe, it is assumed it exists
interferometry
using interference to make a measurement of light
interferometry was used in
the michelson-morely experiment
the michelson-morley experiment was originally perceived as
a faliure
findings from the michelson-morley experiement
the speed of light is the same for ALL observers (no matter the motion) and the speed of light is a constant
the speed of light is a
constant
motion or relative motion the speed of light is
still the same for all observers
galilean relativity
the laws of motion are the same in all inertial frames of reference

what is this
galilean relativity
why does the michelson-morley experiment disprove galilean theory?
the Michelson-Morely experiment demonstrated that the speed of light is the SAME for ALL inertial observers
Einstein’s first postulate
The laws of physics are the same in all inertial frames.
Einstein’s second postulate
The speed of light is the same in all inertial frames.
most of our experiences cause us to believe that we live in a
combination of three dimensional space PLUS a one dimensional time
meaning of three dimensional
three numbers, coordinates, to completely describe the position of an event in space
space and time don’t depend on one another and are
independent of each other
inertial frame
no acceleration; remains stationary or moves at a constant velocity
non-inerial frame
moves in a non uniform or accelerated motion; newton’s laws of motion do not apply here
fictitious forces
forces that are '“invented” to account for accelerations in the accelerating frame
examples of fictitious forces
the coriolis effect, hurricane paths, hurricane rotations
the coriolis effect
in the three special dimensions, we can move
freely
examples of free movement in the 3 dimensions
forward/backward, left/right, up/down
however in the time dimension, we can
only move forward
the rate we move in time is fixed at
one second per second
nothing physical can depend on coordinates to
describe events
the distances between events are invariant and do not depend on
coordinates
the time between events is not invariant and does not depend on
which calendar we use
imagine we are
relativity of simultaneity
two events which are simultaneous in one inertial frame are not necessarily simultaneous in another inertial frame
Newton’s Laws don’t work in
non-inertial frames
1919 Eclipse
In 1919 there would be a total solar eclipse which would be able to demonstrate Einstein’s theory of curved light in space-time.
Einstein’s Theory of General Relativity is radical because it proposes that
gravity is unlike other forces
First Qualitative Rule from General Relativity
mass tells space-time how to curve
Second Qualitive rule from General Relativity
space-time tells mass how to move
Following the two qualitative rules of General Relativity, gravitational forces are not real and rather
all free-falling bodies follow straight paths in a curved space-time
anything whose apparently curved path is determined by gravity all are
following straight lines in curved space-time

?
Mass is curving space-time around it
Black Hole (BH)
an extreme curvature of space-time
Objects (light and matter) follow geodesics through
follow geodesics when in free-fall
A Black Hole’s spacetime curvature is so extreme that all geodesics
lead inward towards the center
The Schwarzschild Radius is the same as
The Event Horizon: The Point of No Return

?
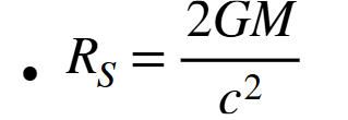
The Schwarzschild Radius formula
The Schwarzschild Radius formula calculates for
The Event Horizon of a Black Hole
Geodesics
straight lines that move through a curved space-time
the shortest distance between two points follow
geodesics
Time Dilation
Moving clocks tick slower than stationary clocks

?
The Lorentz Factor
The heart of General Relativity lies with the
equivalence principle
in inertial motion there is no gravitational force that deflects
objects from their straight paths
General Relativity
gravity corresponds to changes to space and time, changing the straight paths objects naturally follow
takes three numbers, coordinates, to completely describe the position of an
event in space
Special Relativity
The laws of physics are invariant (identical) in all inertial frames of reference/The speed of light in vacuum is the same for all observers
(moving coordinates) The laws of motion are unchanged in
different coordinate systems
(moving coordinates) The laws of motion are unchanged
in different inertial frames