1/57
Looks like no tags are added yet.
Name | Mastery | Learn | Test | Matching | Spaced | Call with Kai |
|---|
No analytics yet
Send a link to your students to track their progress
¿Cuál es la función de la médula ósea?
La producción de células sanguíneas (hematopoyesis), incluyendo glóbulos blancos, glóbulos rojos y plaquetas.
Defina la finalidad de la fotosíntesis
La síntesis de moléculas orgánicas a partir de moléculas inorgánicas, utilizando la luz como fuente de energía.
¿Qué diferencia hay entre la cadena molde y la cadena codificante de ADN?
La cadena molde es la que se transcribe a ARNm, mientras que la cadena codificante es su complementaria y no se transcribe.
¿Qué significa que el código genético es degenerado?
Significa que varios codones diferentes pueden codificar el mismo aminoácido, por lo que algunas mutaciones pueden no alterar la funcionalidad de la proteína.



¿Cuáles son las posibles consecuencias en el producto de la traducción si se produce una mutación por sustitución de una base por otra en el ADN?
Alteración de la funcionalidad
Reducción del tamaño
Aumento del tamaño:
¿Qué es la PCR?
Técnica de biogenética que permite amplificar fragmentos específicos de ADN mediante ciclos repetidos de replicación in vitro
Etapas de la PCR
Desnaturalización: Separación de las dos cadenas de ADN mediante alta temperatura.
Hibridación: Unión de los cebadores (primers) a las secuencias complementarias del ADN molde.
Elongación/Extensión: Síntesis de nuevas cadenas por la ADN polimerasa
Reactivos de la PCR
ADN molde, cebadores, nucleótidos (dNTP) y ADN polimerasa

¿Propiedad clave de su polimerasa?
Es termoestable
¿Cómo se clasifican las vitaminas según su solubilidad y qué vitaminas pertenecen a cada grupo?
Liposolubles: Son solubles en lípidos (disolventes orgánicos) y pueden almacenarse en el tejido graso. Son las vitaminas A, D, E y K.
Hidrosolubles: Son solubles en agua y no se almacenan en el organismo (el exceso se elimina por la orina). Son la vitamina C y las del complejo B (como la B12).
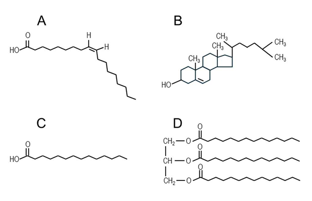
Diferencia entre ácidos grasos saturados e insaturados.
El ácido graso insaturado, colesterol LDL, presenta dobles enlaces en su cadena hidrocarbonada, mientras que el saturado, solo posee enlaces sencillos.

A: Ácido graso insaturado (se reconoce por el doble enlace que provoca el "codo" en la cadena).
B: Colesterol (o esteroide). Se reconoce por los cuatro anillos fusionados (ciclopentanoperhidrofenantreno).
C: Ácido graso saturado (cadena lineal de carbonos e hidrógenos sin dobles enlaces).
D: Triacilglicérido (o grasa). Se reconoce porque hay tres ácidos grasos unidos a una molécula de glicerina.
¿Qué moléculas controlan la fluidez de la membrana plasmática y cómo lo hacen ante cambios de temperatura?
Ácidos grasos insaturados: Aumentan la fluidez debido a que sus dobles enlaces introducen "codos" en las cadenas, impidiendo que se empaqueten estrechamente. Es vital en animales de climas fríos para evitar la congelación de la membrana.
Colesterol (en células animales): Actúa como un regulador térmico. A bajas temperaturas impide el empaquetamiento excesivo de los lípidos (mantiene la fluidez) y a altas temperaturas reduce el movimiento de los fosfolípidos (da estabilidad).
¿Por qué el nucleótido ATP se considera una molécula altamente energética?
Se considera una molécula energética porque posee enlaces fosfato de alta energía (especialmente entre los grupos fosfato segundo y tercero). Al romperse estos enlaces mediante hidrólisis, se libera de forma inmediata la energía necesaria para impulsar las reacciones metabólicas y procesos celulares.
¿Cuál es la composición de la pared celular bacteriana?
Peptidoglicano
Clasifique las barreras externas del sistema inmunitario con un ejemplo de cada una.
Mecánicas/Físicas: Piel, mucosas o cilios.
Químicas: Secreciones (sudor, sebo), jugos gástricos o enzimas (lisozima en lágrimas/saliva).
Biológicas: Microbiota (flora bacteriana autóctona).
Defina antígeno.
Es cualquier molécula o sustancia de naturaleza heterogénea (proteína, glúcido, etc.) capaz de ser reconocida por el sistema inmunitario y de inducir una respuesta inmunitaria específica.
Indique tres diferencias entre la respuesta inmunitaria específica tras el primer contacto con el patógeno y tras una segunda exposición.
Velocidad: La respuesta primaria es lenta (periodo de latencia); la secundaria es mucho más rápida.
Intensidad: La secundaria es mucho más intensa (mayor producción de anticuerpos).
Memoria: En la primaria no hay células de memoria previas; la secundaria se basa en la existencia de linfocitos de memoria.
Anticuerpos: En la primaria predomina la IgM; en la secundaria la IgG.
Indique qué es el CMH y qué función tiene
Es un conjunto de glucoproteínas situadas en la membrana plasmática de las células. Son únicas en cada individuo (excepto en gemelos idénticos).
Función: Actúan como marcadores de identidad celular
¿Por qué una dieta muy rica en carbohidratos favorece la obesidad?
Porque el exceso de glucosa que no se utiliza para obtener energía (ATP) ni se almacena como glucógeno, se transforma en ácidos grasos mediante la lipogénesis
¿Cómo podría la tecnología CRISPR-Cas ayudar a paliar la deficiencia de lipasa ácida lisosómica?
CRISPR actúa como unas "tijeras moleculares" que permiten la edición genómica. Se podría utilizar para corregir la mutación en el gen de la lipasa, sustituyendo la secuencia defectuosa por la correcta, permitiendo así que la célula sintetice una enzima funcional para degradar los triacilglicéridos.
Defina beta-oxidación de los ácidos grasos e indique el lugar exacto donde ocurre.
Es un proceso catabólico en el que los ácidos grasos se degradan de forma secuencial (eliminando dos carbonos en cada ciclo) para producir acetil-CoA, FADH₂ y NADH.,En la matriz mitocondrial
¿Cuáles son los productos finales de la fermentación alcohólica, la fermentación láctica y la respiración celular aerobia?
Fermentación alcohólica: Etanol y CO2
Fermentación láctica: Lactato
Respiración celular: CO2+H2O+ATP
¿Cómo afecta a la actividad de las enzimas un aumento o descenso moderado del pH?
Provoca un descenso en la actividad enzimática. Cada enzima tiene un pH óptimo de actuación. Al variar el pH, se alteran las cargas eléctricas de los grupos laterales de los aminoácidos, lo que modifica la conformación de la proteína. Si el cambio es brusco, puede causar la desnaturalización de la enzima, perdiendo su centro activo y su funcionalidad.

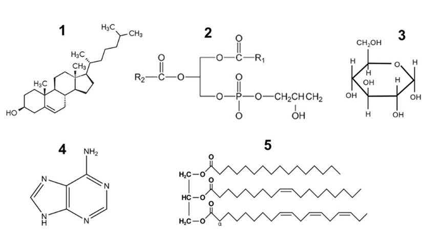
Colesterol: Un lípido esteroide (se reconoce por los 4 anillos fusionados del ciclopentanoperhidrofenantreno).
Fosfolípido: (Específicamente un fosfoglicérido). Se reconoce por la glicerina unida a dos ácidos grasos y un grupo fosfato.
Glucosa: Un monosacárido (aldohexosa) en su forma cíclica de pirano.
Adenina: Una base nitrogenada púrica (se reconoce por su estructura de doble anillo).
Triacilglicérido (Grasa): Tres ácidos grasos unidos a una molécula de glicerina. (Fíjate que el segundo y tercero son insaturados porque tienen dobles enlaces).
Indique cinco eventos destacados de la meiosis I
Apareamiento de cromosomas homólogos, entrecruzamiento e intercambio de fragmentos de ADN entre cromátidas no hermanas, segregación al azar de cromosomas homólogos, reducción del número de cromosomas, producción de dos células haploides a partir de una diploide, etc
Indique los productos finales de la glucólisis y el rendimiento en ATP y poder reductor
Productos finales: 2 piruvatos; 2 atp ; Poder reductor: 2 NADH
Clasifique los siguientes elementos en Inmunidad Innata o Inmunidad Adquirida: Mucosidad, Lisozimas, Piel, Linfocitos T, Mastocitos, Perforinas, Anticuerpos IgG, Macrófagos e Histaminas.
Inmunidad Innata (Inespecífica): * Barreras físicas/químicas: Piel, mucosidad, lisozimas.
Células: Macrófagos, mastocitos.
Moléculas: Histaminas, perforinas (producidas por células NK).
Inmunidad Adquirida (Específica):
Células: Linfocitos T.
Moléculas: Anticuerpos IgG.
¿Qué es la histamina, qué células la liberan y cuál es su papel en la respuesta inmunitaria?
Qué es: Es una molécula mediadora de la inflamación (una amina biógena).
Células que la liberan: Principalmente los mastocitos (en los tejidos) y los basófilos (en la sangre) tras reconocer un alérgeno o un daño tisular.
Funciones principales:
Vasodilatación: Aumenta el flujo sanguíneo en la zona afectada (causa rojez y calor).
Aumento de la permeabilidad capilar: Permite que el plasma y las células inmunitarias (como neutrófilos) salgan de los vasos hacia el tejido infectado (causa edema/inflamación).
Bronconstricción: En reacciones alérgicas, contrae los músculos de las vías respiratorias.
Enumere tres reacciones antígeno-anticuerpo.
1. Neutralización: El anticuerpo bloquea la unión del antígeno a la célula.
2. Opsonización: El anticuerpo "marca" al patógeno para facilitar su fagocitosis.
3. Precipitación: Unión a antígenos solubles formando agregados insolubles.
4. Aglutinación: Unión a antígenos en la superficie de células formando grumos.
¿Cómo funcionan las vacunas y cuál es su mecanismo de acción?
Funcionamiento: Son un método de inmunización activa artificial. Se introduce el patógeno atenuado, muerto o fragmentos de sus antígenos para "entrenar" al sistema inmune sin causar la enfermedad.
Mecanismo de acción: Inducen la formación de una respuesta inmunitaria primaria, lo que genera linfocitos de memoria y anticuerpos específicos. Así, ante un contacto real futuro, el cuerpo responde con una respuesta secundaria (más rápida e intensa), eliminando al patógeno antes de que cause daño.
¿Qué células suelen mantenerse en fase G0 y por qué lo hacen?
Neuronas y células musculares esqueléticas (miocitos).
Por qué: Son células altamente especializadas que han perdido su capacidad de división. Entran en un estado de reposo proliferativo (quiescencia) donde realizan sus funciones específicas pero no vuelven a entrar en el ciclo celular.
¿Cuáles son las fases de la Interfase y cuál es la palabra clave de cada una?
Fase G1: Crecimiento celular y síntesis de proteínas.
Fase S: Replicación (duplicación) del ADN.
Fase G2: Preparación para la mitosis (síntesis de proteínas para el huso y duplicación de orgánulos).
¿Qué es la tubulina?
Proteína globular que se polimeriza para formar los microtúbulos del citoesqueleto.
qué efecto tiene la vincristina sobre la tubulina y cuál es su utilidad médica?
Inhibe la polimerización de la tubulina, impidiendo que se forme el huso mitótico durante la división celular.

¿Qué moléculas representan los números 1, 2, 3, 4, 5, 6 y 7?
1: FAD;
2: FADH2;
3: NAD+;
4: NADH;
5: acil(n-2) graso-CoA;
6: acetil-CoA;
7: ATP
¿De qué depende el número de vueltas la beta oxidación?
Depende de la longitud de la cadena de carbonos del ácido graso

Según la imagen: a) Identifique el proceso 1, el conjunto 2-6, las moléculas Y y W, y el orgánulo.
Proceso 1: Ciclo de Krebs (o ciclo del ácido cítrico).
Conjunto 2, 3, 4, 5 y 6: Cadena de transporte de electrones (o cadena respiratoria).
Molécula Y:nadh2 , que son las coenzimas reducidas que inician el transporte de electrones.
Compuesto W: Oxígeno , que es el último aceptor de electrones.
Orgánulo: Mitocondria.
Indique dos semejanzas entre la cadena de transporte mitocondrial y la fotosintética
Ambas están situadas en membranas (mitocondrial interna vs. tilacoidal).
Ambas utilizan el flujo de electrones para bombear protones y crear un gradiente electroquímico.
Ambas utilizan la energía de ese gradiente para sintetizar ATP a través de la enzima ATP sintasa.

Indique los elementos o estructuras que se identifican con los números del 1 al 4 Indique dos tipos de enzimas necesarias para obtener el elemento 3 a partir de los elementos 1 y 2
1: plásmido (vector de clonación); 2: gen de la insulina humana; 3: ADN recombinante (plásmido recombinante o gen de la insulina humana insertado en el plásmido); 4: bacteria transgénica o transformada ..
Enzimas de restricción y ligasa
¿Cómo se denomina el conjunto de técnicas que hace posible la producción de insulina?
Tecnología del ADN recombinante; biotecnología
Explique razonadamente cómo es posible que la industria produzca insulina humana a partir de un cultivo bacteriano siendo dos organismos (el ser humano y la bacteria) tan diferentes
Respuesta basada en la universalidad del código genético, lo que significa que en todos los organismos los codones codifican los mismos aminoácidos
Defina:Centrómero
estrechamiento que divide al cromosoma en dos porciones denominadas brazos
Defina: Cromátida hermana
cromátidas que resultan de la duplicación del material genético y que forman un cromosoma metafásico
Defina: Telómero
Regiones terminales (extremos) de los brazos de los cromosomas.
¿Qué es un bivalente (o tétrada) y en qué momento aparece?
Estructura de cuatro cromátidas formada por el apareamiento "gen a gen" de los cromosomas homólogos durante la profase I de la meiosis.
Defina: 1) Linfocito y 2) Macrófago.
Linfocito: Célula del sistema inmunitario que reconoce y puede destruir antígenos.
Macrófago: Célula fagocítica (que ingiere patógenos) o célula presentadora de antígenos.
Defina: 1) Organismo transgénico y 2) Vector de clonación.
1. Organismo transgénico: Aquel que contiene y expresa un gen procedente de una especie distinta incorporado en su genoma.
2. Vector de clonación: Agente transportador (como un plásmido) que se usa para introducir ADN extraño en una célula hospedadora
¿Por qué se usa ADNc (ADN complementario) y no ADN humano normal para producir proteínas en bacterias?
Porque las bacterias no pueden eliminar los intrones (regiones no codificantes) del ARN mensajero primario. El ADNc se obtiene por retrotranscripción de un ARNm maduro que ya no tiene intrones (ha pasado por el splicing), permitiendo que la bacteria lea el gen correctamente.
Defina el concepto de ingeniería genética
Respuesta basada en la manipulación del material genético de organismos mediante técnicas de laboratorio que permiten modificar su información genética ya sea añadiendo, eliminando o alterando genes específicos
¿Qué nombre reciben los procesos que permiten que se exprese el mensaje genético? ¿Cuáles son las moléculas resultantes de cada uno de estos procesos y en qué estructura de la célula eucariótica se producen?
Transcripción—ARN (ARNm)—núcleo, mitocondria cloroplasto
Traducción—proteína—ribosoma
Tecnicismo de división del citoplasma
Citoninesis
Estructura ácido graso.
Cabeza: extremo polar, COOH
Cola: extremo apolar, cadena hidrocarbonada
Defina el proceso de replicación del ADN e indique su finalidad.
Definición: Es el proceso mediante el cual se sintetizan dos copias idénticas de la molécula de ADN a partir de una molécula molde original.
Finalidad: Asegurar que la información genética se transmita íntegramente de la célula madre a las células hijas durante la división celular.
¿Por qué se dice que la replicación del ADN es semiconservativa?
Porque en cada una de las dos moléculas de ADN resultantes, se conserva una cadena antigua (que ha servido de molde) y se sintetiza una cadena nueva complementaria. Esto garantiza la fidelidad en la transmisión del mensaje genético.
Nombre de las 5 clases de inmunoglobulinas y su función principal.
1. IgG: La más abundante en la sangre. Es la única que atraviesa la placenta (protección al feto).
2. IgM: Es la primera en aparecer tras la exposición al antígeno (respuesta primaria). Estructura pentamérica.
3. IgA: Se encuentra en secreciones (saliva, leche materna, lágrimas) y mucosas. Protección local.
4. IgE: Responsable de las respuestas alérgicas y protección contra parásitos.
5. IgD: Actúa como receptor de antígenos en la superficie de los linfocitos B
Indique qué células participan en la respuesta innata y cuáles en la respuesta adquirida (específica), diferenciando en esta última la respuesta primaria de la secundaria.
Respuesta Innata (No específica): Participan principalmente los macrófagos, los neutrófilos (fagocitos) y las células Natural Killer (NK). Son la primera línea de defensa.
Respuesta Adquirida Primaria: Se activa tras el primer contacto con el antígeno. Las células clave son los Linfocitos B (que se transforman en células plasmáticas para fabricar IgM/IgG) y los Linfocitos T (auxiliares y citotóxicos).
Respuesta Adquirida Secundaria: Se activa ante un segundo contacto. Las protagonistas son las células de memoria (Linfocitos B y T de memoria), que permiten una respuesta mucho más rápida, intensa y duradera.