1/14
Looks like no tags are added yet.
Name | Mastery | Learn | Test | Matching | Spaced | Call with Kai |
|---|
No analytics yet
Send a link to your students to track their progress
Nucleotide
Made up of a nitrogenous base, pentose ring, and phosphate group
Nucleoside
made up of a nitrogenous base and pentose ring. NO PHOSPHATE!
Deoxyribose (DNA)

RNA ribose

Nucleotide structure

Nucleoside structure

General purine structure

Purines
Adenine and guanine are what kind of bases?
Adenine

Guanine

Pyrimidine general structure

Pyrimidines
Cytosine, Thymine, and Uracil (RNA only) are what kind of bases?
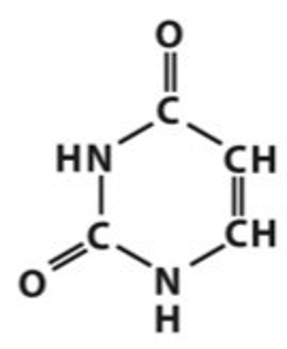
Cytosine

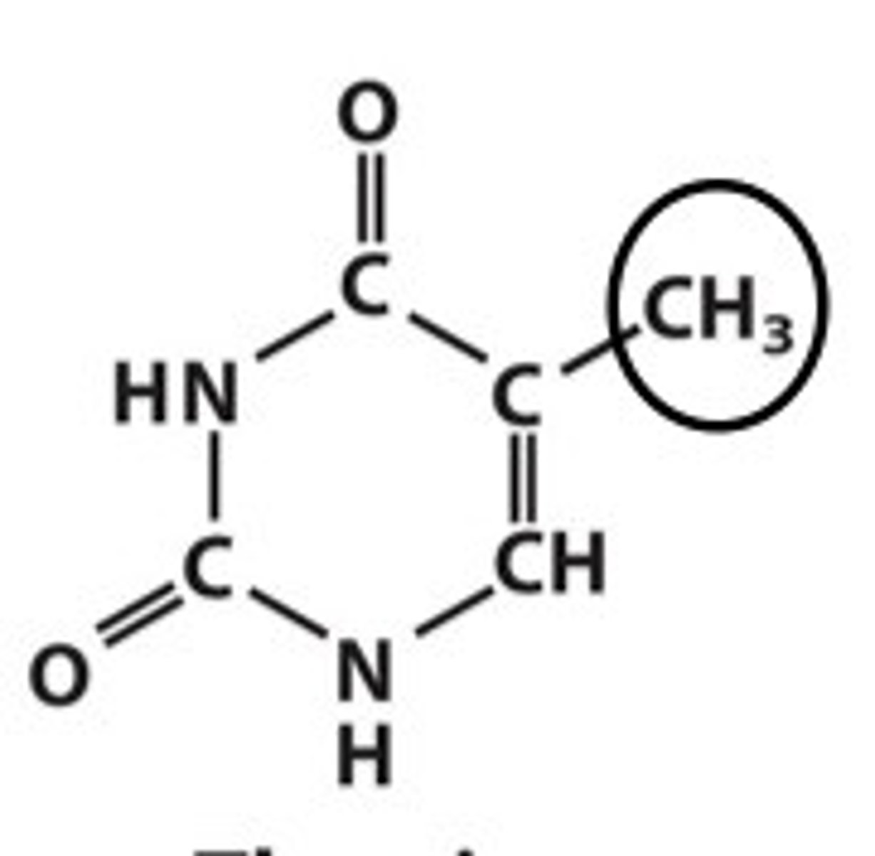
Thymine

Uracil (RNA only)
