1/101
Looks like no tags are added yet.
Name | Mastery | Learn | Test | Matching | Spaced | Call with Kai |
|---|
No analytics yet
Send a link to your students to track their progress

9 THC


CBD


Digoxine


Digotoxine


Paclitaxel


Docetaxel


Cabazitaxel


amoxicilline


Acide clavulanique


Acide salicylique


acide acétylsalicylique


Morphine

Codéine

Héroine

Artémisinine

Dihydroartémisinine

arthemether

artheether

arthesunate

L Hyosciamine

Scopalamine

Butylscopalamine

pénicilline G

Streptomycine

érythromycine

choramphénicol

polymyxine B

Doxyciline

rifampicine

Bacitracine

amphotéricine B

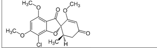
céfuroxime

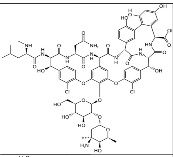
vancomycine

griseofulvine

lovastatine

simvastatine

atorvastatine

methylergometrine

ergotamine

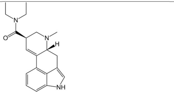
diethyllysergamide LSD

quinine

strychnine

colchicine

pipérine

camptothécine

topotécan


vinblastine

vincristine

vinorelbine

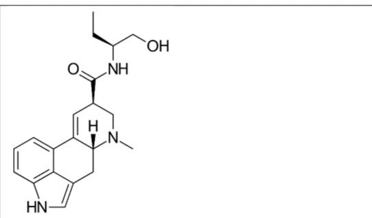
galantamine

Caféine

nicotine

atropine

Ciclosporine

tacrolimus

acarbose

acide ascorbique

glucosamine

B cyclodextrine

sugammadex

triheptanoine

acide bempedoïque

bêta sitostérol

sitostanol

coumestérol

resvératrol

bléomycine

arbutoside

acide chlorogénique

acide rosmarinique

Dicoumarol

warfarine

étoposide

Silibinine

alpha-amanitine

curcumine

diosmine

Rapamycine/sirolimus

apoatropine

hyperforine

hypéricine

Stévioside

salvinorine A

ingénol mébutate

mescaline

cocaïne

huperzine A

migalastat

miglitol

miglustat

capsaïcine

pseudoéphedrine chlorhydrate

cathinone

MDMA

Papavérine

acide aristoloochique

noscapine

pilocarpine

Théophylline