1/87
Looks like no tags are added yet.
Name | Mastery | Learn | Test | Matching | Spaced | Call with Kai |
|---|
No analytics yet
Send a link to your students to track their progress
average rate of change
dividing distance by the time interval.
Slope of secant line between two points, used to estimate instantaneous rate of change at a point.

instantaneous rate of change
The rate of change, or slope of a tangent line, or value of the derivative, at a point of a graph.
h= a very small change in time, but it cant be 0 bc itll be undefined.

Intermediate Value Theorem
If a function is continuous between a and b, then it takes on every value between f(a) and f(b)
if f is a continuous function on the closed interval [a, b] and d is a number between f (a) and f (b), then the Intermediate Value Theorem guarantees that there is at least one number c between a and b, where f (c) = d.
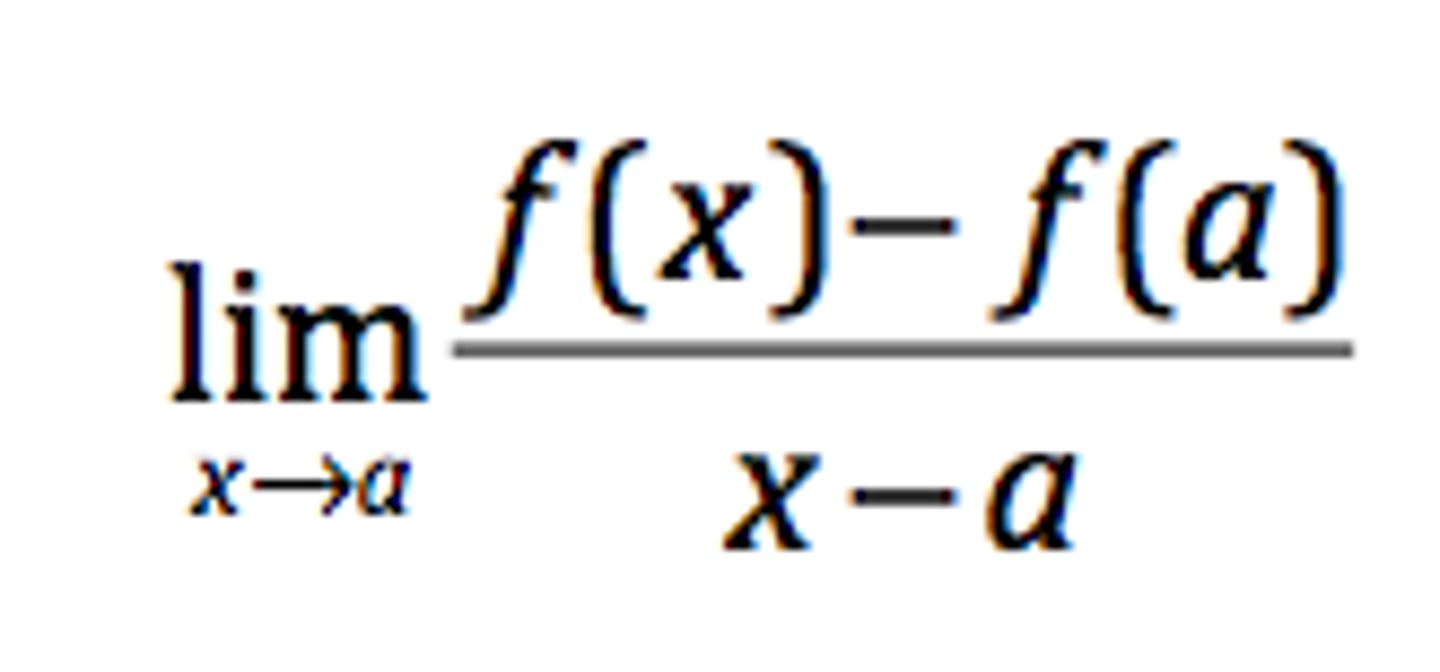
Derivative at a point
limit as x approaches a of [f(x)-f(a)]/(x-a)
![<p>limit as x approaches a of [f(x)-f(a)]/(x-a)</p>](https://knowt-user-attachments.s3.amazonaws.com/1f5d618b-ffa0-4eb8-8ccc-93871b0751a0.jpg)
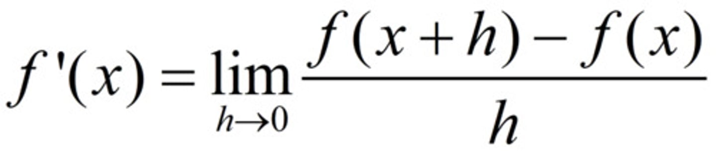
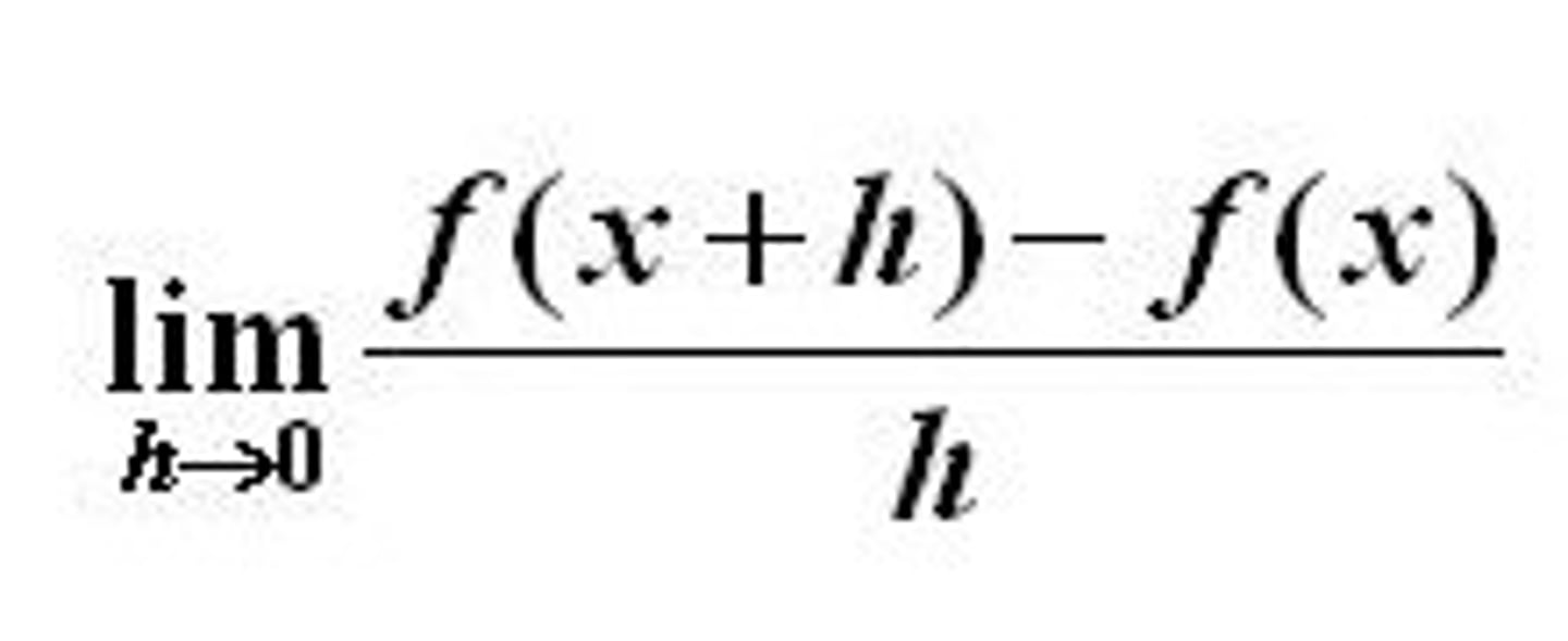
Formal definition of derivative
IRC formula.
limit as h approaches 0 of [f(a+h)-f(a)]/h
![<p>IRC formula.</p><p>limit as h approaches 0 of [f(a+h)-f(a)]/h</p>](https://knowt-user-attachments.s3.amazonaws.com/b84df552-03e4-4c13-93bb-e118d8676d78.jpg)
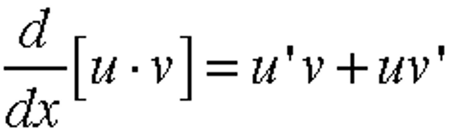
Product Rule
u'v + uv'

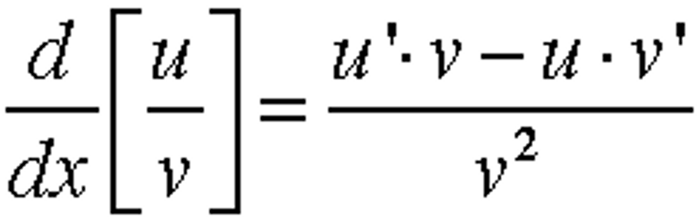
Quotient Rule
(u'v-uv')/v²

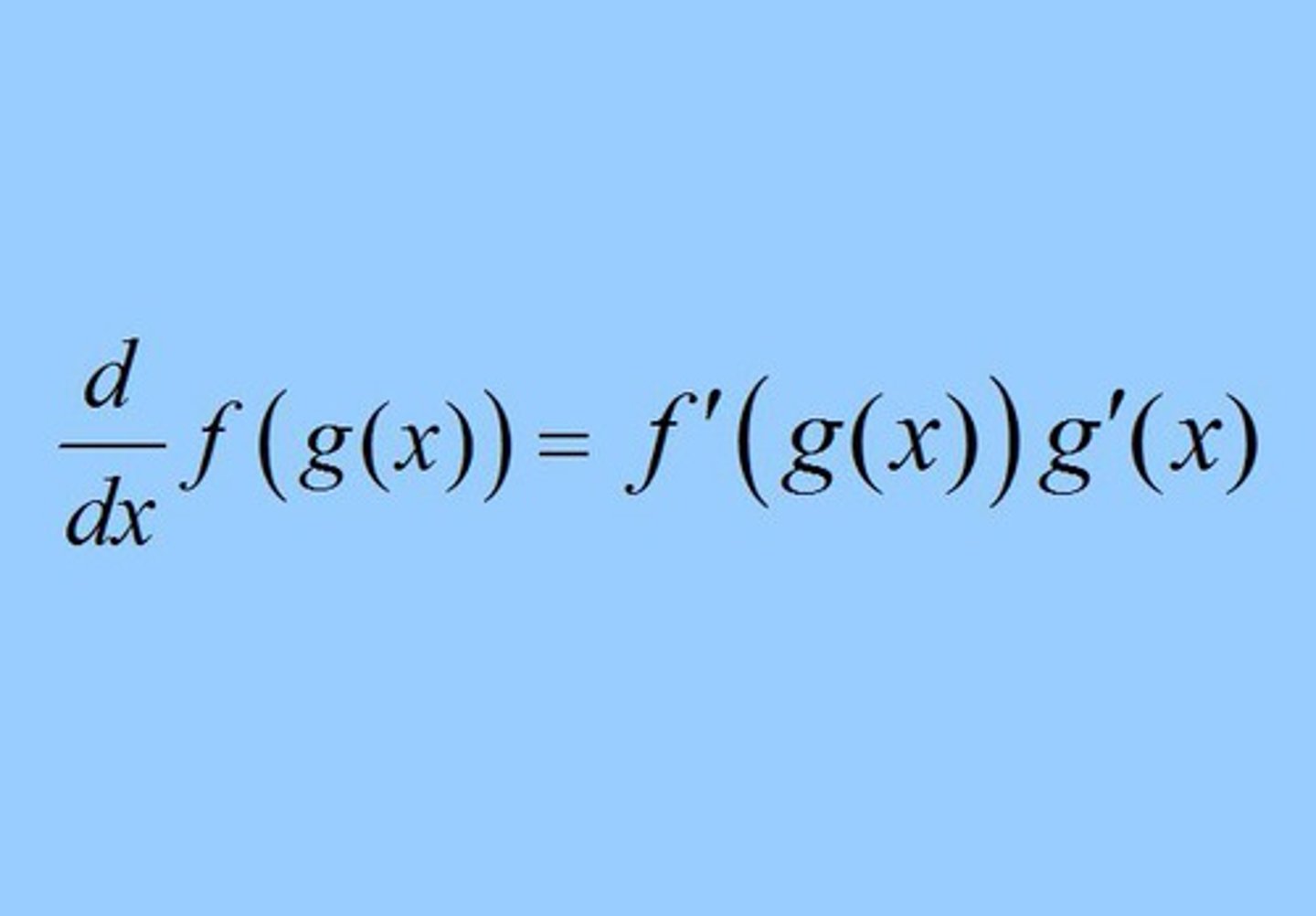
Chain Rule
f '(g(x)) g'(x)
inside function derivative * outside function derivative

derivative of inverse

average velocity
∆s/∆t

Instantaneous velocity
Derivative of position s(t) at a point.
ds/dt

speed
Absolute value of velocity.
|v(t)|
Acceleration
derivative of velocity. (units= m/s²)

first derivative test for local extrema
For a continuous function f:
1) If f' changes sign, f has a local maximum or minimum value at c
2) If f' does not change sign at a critical point c, then f has no local extreme values at c

Second Derivative Test for local extrema
1. if f'(c)=0 and f''(c)>0, then f has local minimum at c. Concave up.
2. if f'(c)=0 and f''(c)<0, then f has a local maximum at c. Concave down.
3. FAILS if f''(c) = 0 or if f''(c) DNE
HOW TO USE SECOND DERIVATIVE TEST
1. use first derivative to find critical points
2. sub critical points into second derivative. if f''(x)<0, it is concave down, and a MAX.
Intermediate Value Theorem for Derivatives
If f is differentiable on [a,b], then f'(x) takes on all values between f'(a) and f'(b).
mean value theorem
CHECK CONDITIONS FIRST
if f(x) is continuous on the closed interval and differentiable on the open interval,,,,,, the slope of tangent line equals the slope of the secant line (secant line goes through 2 points), at least once in the interval (a, b)
f '(c) = [f(b) - f(a)]/(b - a)
IRC=ARC : Mean Value Theorem
![<p>CHECK CONDITIONS FIRST</p><p>if f(x) is continuous on the closed interval and differentiable on the open interval,,,,,, the slope of tangent line equals the slope of the secant line (secant line goes through 2 points), at least once in the interval (a, b)</p><p>f '(c) = [f(b) - f(a)]/(b - a)</p><p>IRC=ARC : Mean Value Theorem</p>](https://knowt-user-attachments.s3.amazonaws.com/3543525a-c32d-44b3-bf31-dd106137ff1b.jpg)
mean value theorem for derivatives
IRC = ARC
continuous on closed, differentiable on the open. ALWAYS CHECK CONDITIONS. ONLY WORKS ON CLOSED INTERVALS

Extreme Value Theorem
If f is continuous over a CLOSED interval, then f has at LEAST one maximum and minimum value over that interval

Rolle's Theorem
If f(x) is continuous on the closed interval [a,b], AND differentiable on the open (a,b), AND f(a)=f(b), then there is at least one number x=c in (a,b) where f'(c)=0
![<p>If f(x) is continuous on the closed interval [a,b], AND differentiable on the open (a,b), AND f(a)=f(b), then there is at least one number x=c in (a,b) where f'(c)=0</p>](https://knowt-user-attachments.s3.amazonaws.com/be23264f-0951-4415-b674-32d914747029.png)
rectangle surface area formula
SA = 2lw + 2wh + 2lh
right cylinder surface area formula
SA= 2πrh + 2πr²
right cylinder with no top surface area formula
SA= 2πrh + πr²
open top and square base surface area formula
SA= x² +4xh
sphere surface area formula
SA= 4πr²
right cylinder volume formula
V= πr²h

right cylinder with no top volume formula
V= πr²h (the same)
sphere volume formula
V = 4/3πr³

cone volume formula
V = 1/3πr²h

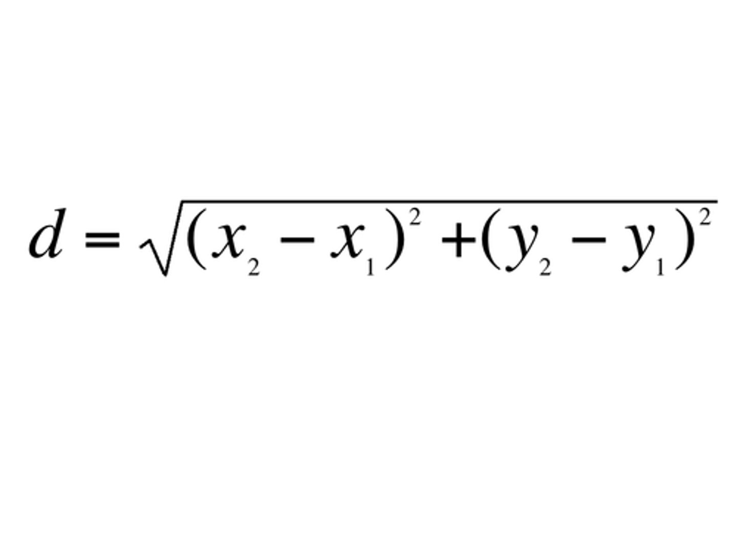
distance formula
√(x₂-x₁)²+(y₂-y₁)²

Newton's Method
x₁= x₀- f(x)/f'(x)
1. guess a root
2. find a y value for your guess
3. find the derivative for f'(c)
4. divide y value by derivative
5. subtract guess by y value divided by derivative
6. repeat until you get close to the actual root
GUESS - Y VALUE/DERIVATIVE

euler's method
A method for solving differential equations dy/dx by starting at initial conditions and iterating y_(n+1) = y_n + f(x_n,y_n)*h and x_(n+1) = x_n + h, where h is the step size of the independent variable
1. start with given point
2. sub point into dy/dx
3. find dx by dividing length of interval by the number of steps
4. multiply the dy/dx value by dx to get dy
5. add dy to the original y value, and add dx to the x value
6. repeat for the number of iterations
underestimate when the curve is concave up, and an overestimate when the curve is concave down.

left riemann sum
use rectangles with left-endpoints to evaluate an integral (estimate area)
◦ UNDERESTIMATE OF AREA UNDER CURVE IF CURVE IS INCREASING
◦ OVERESTIMATE OF AREA UNDER CURVE IF CURVE IS DECREASING
◦ Interval *(adding up all y values on curve that the left side of rectangle touches. add all y values except last one)

right riemann sum
use rectangles with right-endpoints to evaluate an integral (estimate area)
◦ UNDERESTIMATE OF AREA UNDER CURVE IF CURVE IS DECREASING
◦ OVERESTIMATE OF AREA UNDER CURVE IF CURVE IS INCREASING
◦ Interval *(adding up all y values on curve that the right side of rectangle touches. add all y values except the first)

Midpoint Riemann Sum
midpoint of rectangle touches the curve.
length of interval*(all y values on curve that the midpoint of the rectangle touches)

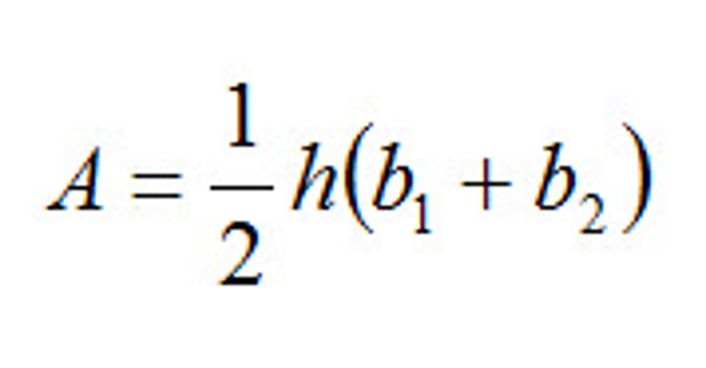
area of each trapezoid
interval/2 * (b₁+b₂)

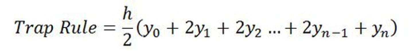
trapezoidal rule
use trapezoids to evaluate integrals (estimate area).
average of LRAM and RRAM.
(interval/2) * (y0 +2y1 + 2y2 + 2y3 ... + yn)
overestimates the integral where the graph is concave up, and underestimates the integral where the graph is concave down.

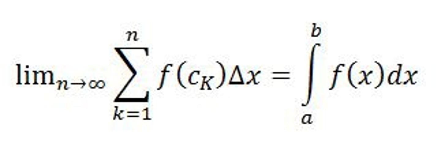
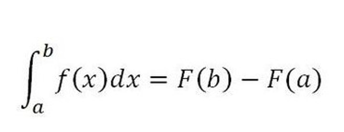
definite integral
has upper and lower bounds a & b. find antiderivative, F(b) - F(a)

area under a curve
∫ f(x) dx
integrate over interval a to b
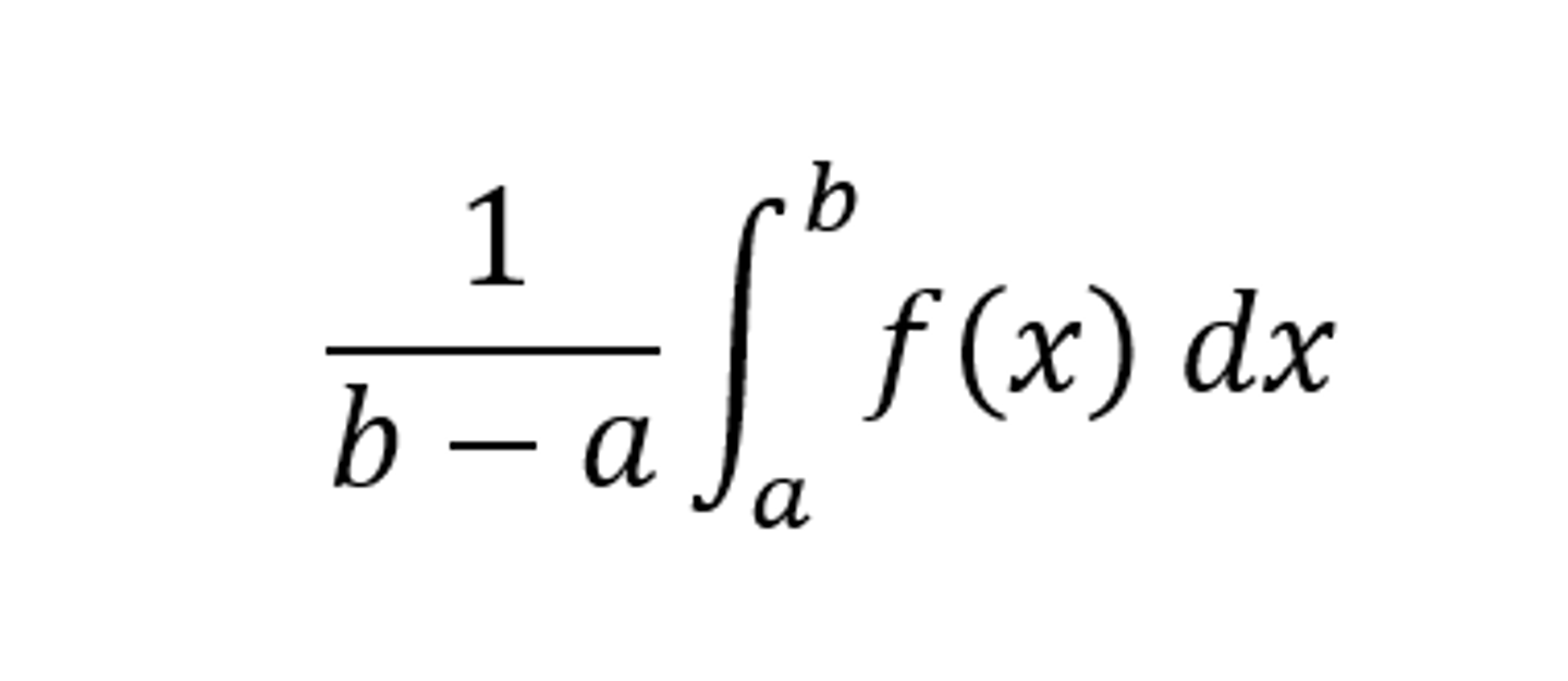
average value of f(x)
1/(b-a) * ∫ f(x) dx on the interval a to b

Mean Value Theorem for Definite Integrals
average value of integral = actual value. MUST check conditions (continuous on closed interval)

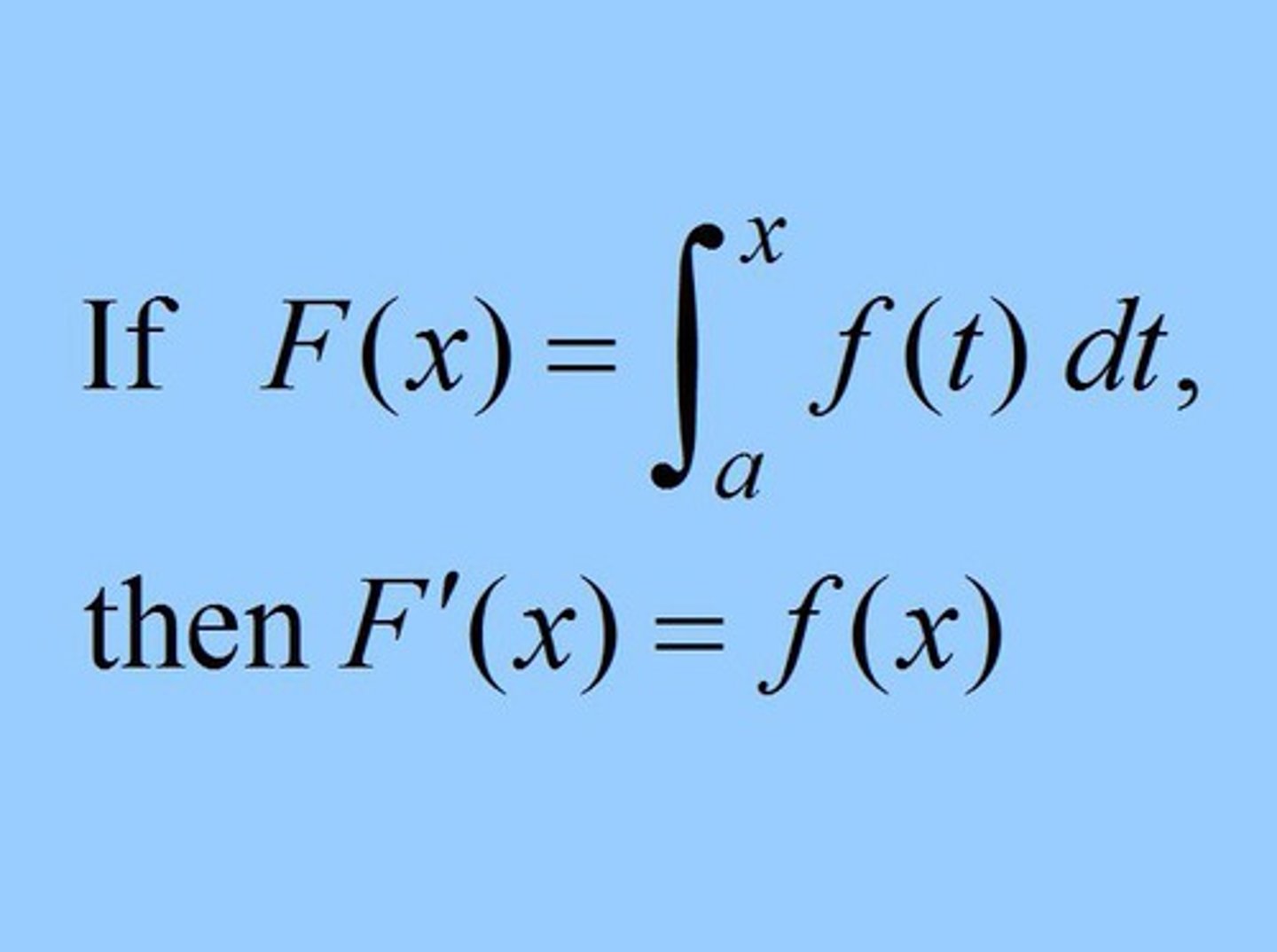
If g(x) = ∫ f(t) dt on the interval 2 to x, then g'(x) =
g'(x) = f(x)

Fundamental Theorem of Calculus
∫ f(x) dx on interval a to b = F(b) - F(a).

Fundamental Theorem of Calculus part 2
• variable in derivative (usually d/dx) matches the variable (upper bound) in the integral symbol
• lower limit is a constant, upper limit is a variable
• we have an integral and a derivative

Integration by parts formula
∫u dv= uv-∫vdu
u= use LIPET
dv= rest of integrand given

exponential growth equation
k= constant of proportionality.
used if y changes at a rate proportional to the amount present

exponential differential equation
dP/dt= kP

logistic growth equation
P = M / (1 + Ae^(-Mkt))
M= carrying capacity
k= growth constant
A= a constant

logistic differential equation
2 logistic differential equations:
dP/dt = kP(M - P)
AND
dP/dt = kP(1-P/M)
M = carrying capacity
k= proportionality constant
P= population

Taylor series of arctan(x)
ALL TRIG EQUATIONS= positive, negative, positive, negative WITH A (-1)ⁿ
arctan does NOT have a factorial in the denominator. exponent matches denominator. arctan has all odd exponents
x^2n+1 / 2n+1

taylor series for (1+x)^k

given rate equation, R(t) and initial condition when
t = a and R(t) = y₁, find final value when t = b
y₁ + Δy = y
original rate + change in rate = new rate
Δy = ∫ R(t) over interval a to b
given v(t) and initial position t = a, find final position when t = b
s₁+ Δs = s
original position + change in position = new position
Δs = ∫ v(t) over interval a to b
given v(t) find displacement
∫ v(t) over interval a to b
given v(t) find total distance travelled
∫ |v(t)| over interval a to b
area between two curves (dx)
∫ f(x) - g(x) over interval a to b
f(x) is top function and
g(x) is bottom function
(dx: vertical strips)

area between two curves (dy)
dy= horizontal strips bc width of horizontal strip=dy
∫ f(x) - g(x) over interval a to b
f(x) is right function and
g(x) is left function
1. solve the equations to be x=, so you can have it in terms of dy
2. find y values of intersections (these will be bounds for integral)
3. subtract RIGHT - LEFT functions

volume of solid with base in the plane and given cross-section
∫ A(x) dx over interval a to b
A(x) = the area of the given cross-section shape as a function of x
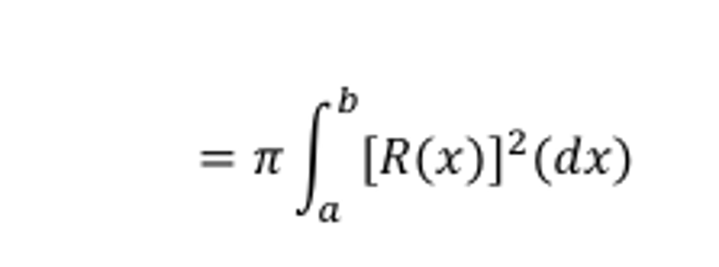
volume of solid of revolution - disks
π ∫ r² dx over interval a to b
r = distance from curve to axis of revolution

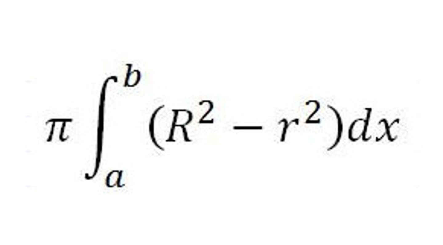
volume of solid of revolution - washers
π ∫ R² - r² dx over interval a to b
R = farthest distance from outside curve to axis of revolution,
r = closest distance from inside curve to axis of revolution

Shells Method
V= 2π ∫R(x) * h(x) dx

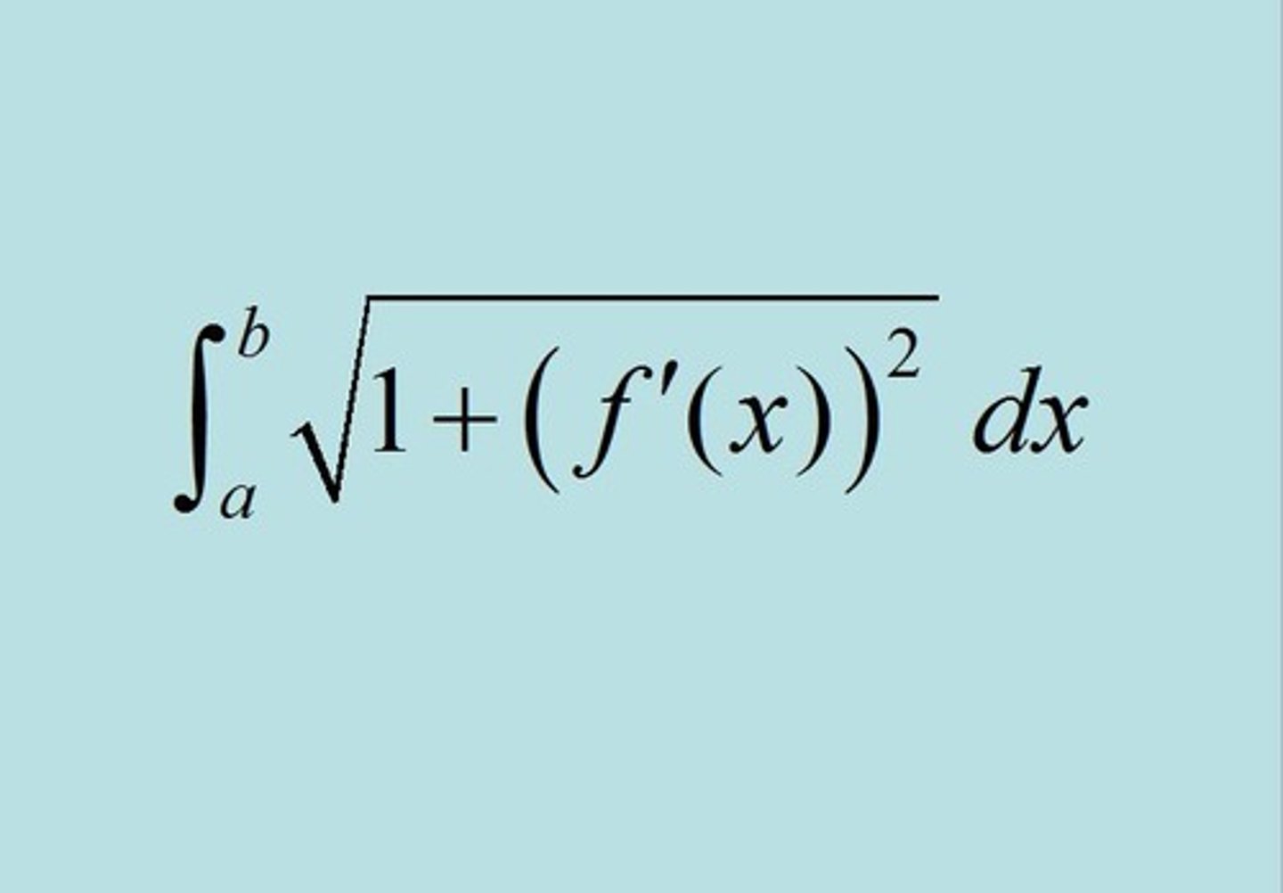
length of curve for rectangular functions
∫ √(1 + (dy/dx)²) dx over interval a to b

L'Hopitals rule
used to find limits when substitution gives you 0/0 or ∞/∞
find derivative of numerator and denominator separately, then evaluate limit

alternating series test
used on series that alternate from pos-> neg
if the lim as n->∞ of aₙ = 0, and the terms decrease, then the series converges

Nth Term Test for Divergence
if terms grow without bound (if lim as x->∞ ≠ 0 or DNE), series diverges

Ratio Test
lim as n-> ∞ of | a(n+1) / aₙ term | = L
lim as n-> ∞ of absolute value of n+1 term divided by n term.
L < 1, series converges
L = 1, inconclusive
L > 1, series diverges

nth root test
lim as n-> ∞ of ⁿ√|aₙ| = L
lim as n-> ∞ of the nth root of the absolute value of a series = L
L < 1, series converges
L = 1, inconclusive
L > 1, series diverges

integral test
aₙ is a positive and decreasing series.
then, ∑aₙ and ∫aₙ both converge or diverge
the integral and series both converge or both diverge. DOES NOT necessarily converge to the number you get.

Direct Comparison Test
ONLY for series with all positive terms
Given two series:
if "bigger" series converges, both converge
if "smaller" series diverges, both diverge

limit comparison test
if the lim as n approaches ∞, of the ratio of aₙ/bₙ, is a positive integer, then both series will converge or diverge

Absolute Convergence Test
if a series aₙ has NEGATIVE terms, use absolute convergence test to test for absolute convergence
if ∑ |aₙ| converges, then ∑ aₙ converges absolutely.
if a series converges absolutely, it converges.
sooo if ∑ |aₙ| converges, then ∑ aₙ converges
(if the absolute values of a series converges, the original series converges too)

geometric series test
general term = a₁r^n
converges if -1 < r < 1, also known as |r| < 1 converges to a/1-r
|r| ≥ 1 diverges

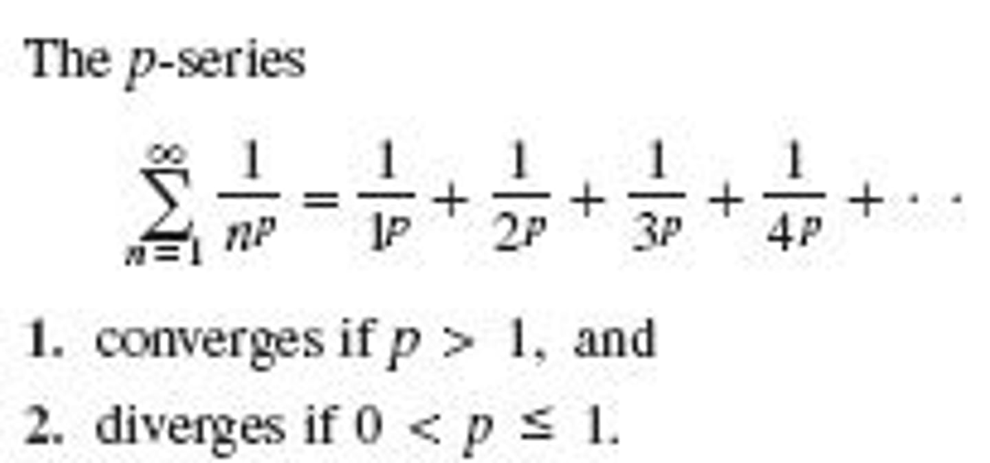
p-series test
general term = 1/n^p, converges if p > 1
diverges if p ≤ 1

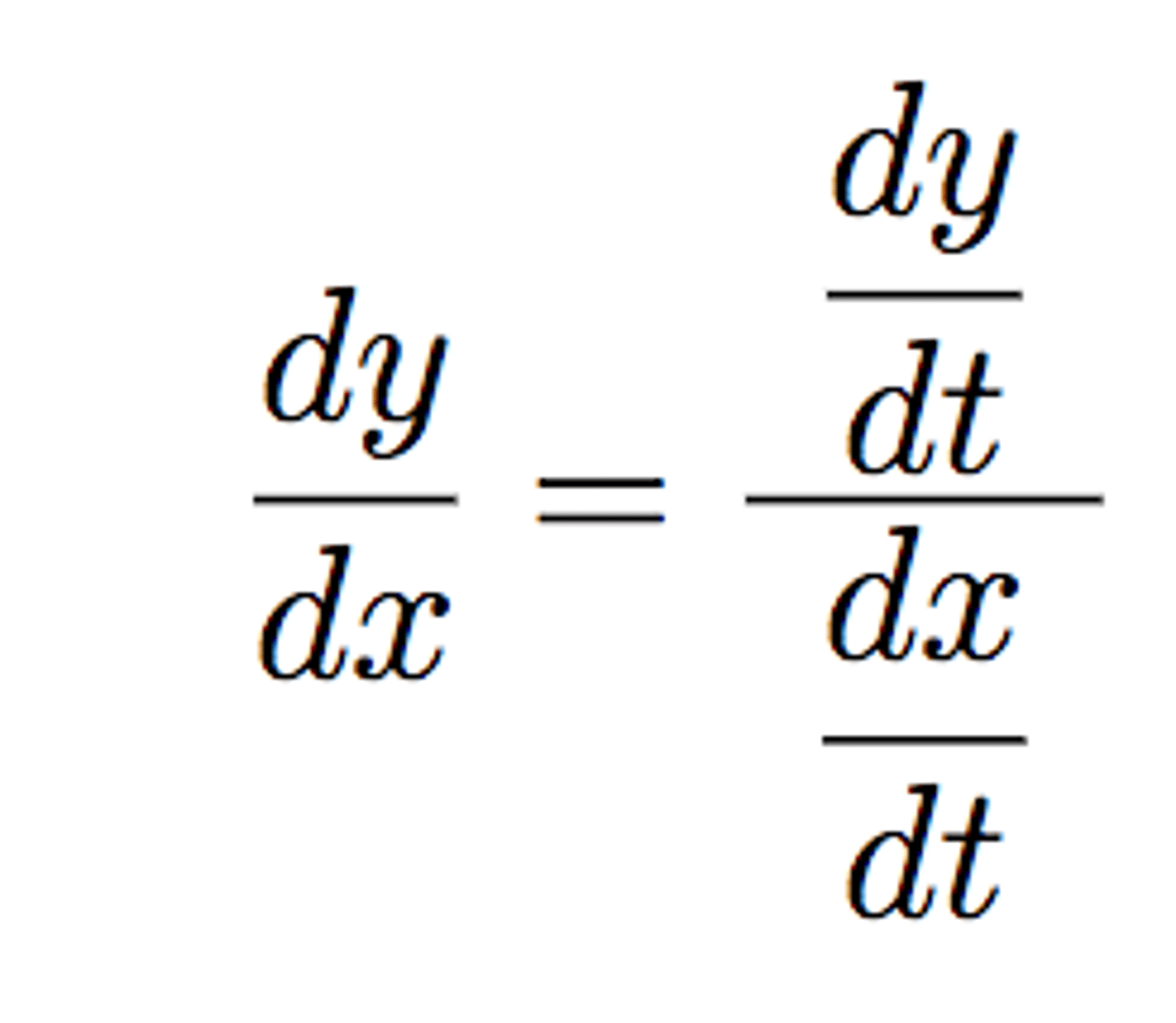
derivative of parametric curve = dy/dx
x(t) and y(t)
dy/dx = dy/dt / dx/dt
remember it's cancelling out dt

second derivative of parametric curve = d²y/dx²
d²y/dx²= dy'/dt / dx/dt
second derivative = first derivative divided by x'(t)
find first derivative, dy/dx = dy/dt / dx/dt.
then find the derivative of that by using the quotient rule.
now, divide by dx/dt

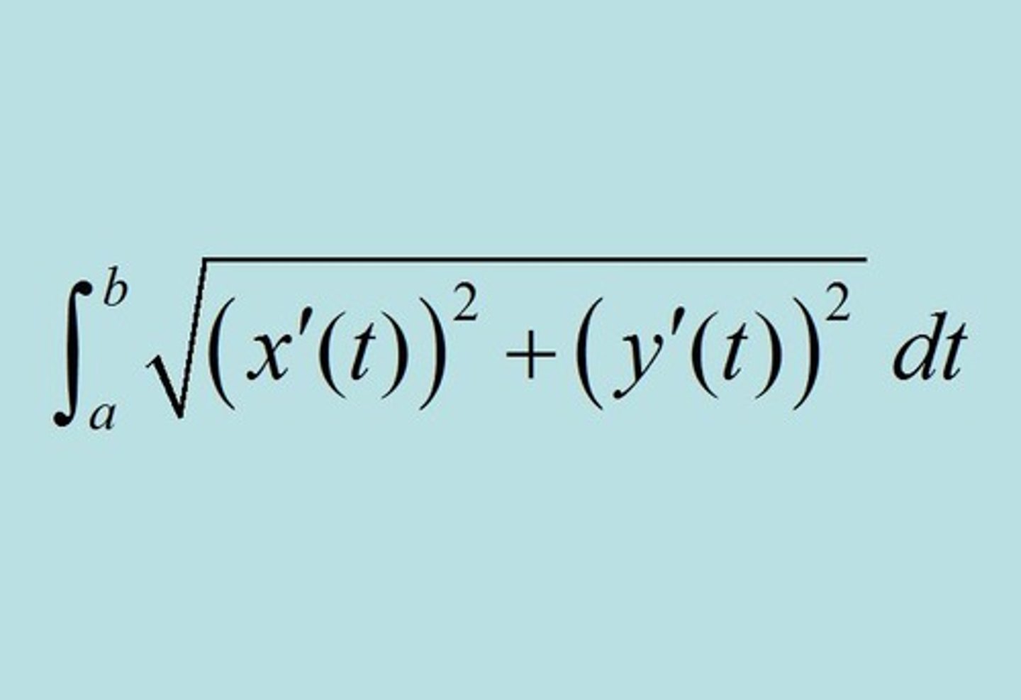
length of parametric curve
∫ √ (dx/dt)² + (dy/dt)² over interval from a to b

conversion from polar to rectangular coordinates
x= rcosθ
y= rsinθ
r²=x²+y²
derivative of a polar curve
take derivative of numerator and denominator separately by product rule:
dy/dx = == d/dθ rsinθ /// d/dθ rcosθ
=
r'sinθ + rcosθ // r'cosθ - rsinθ

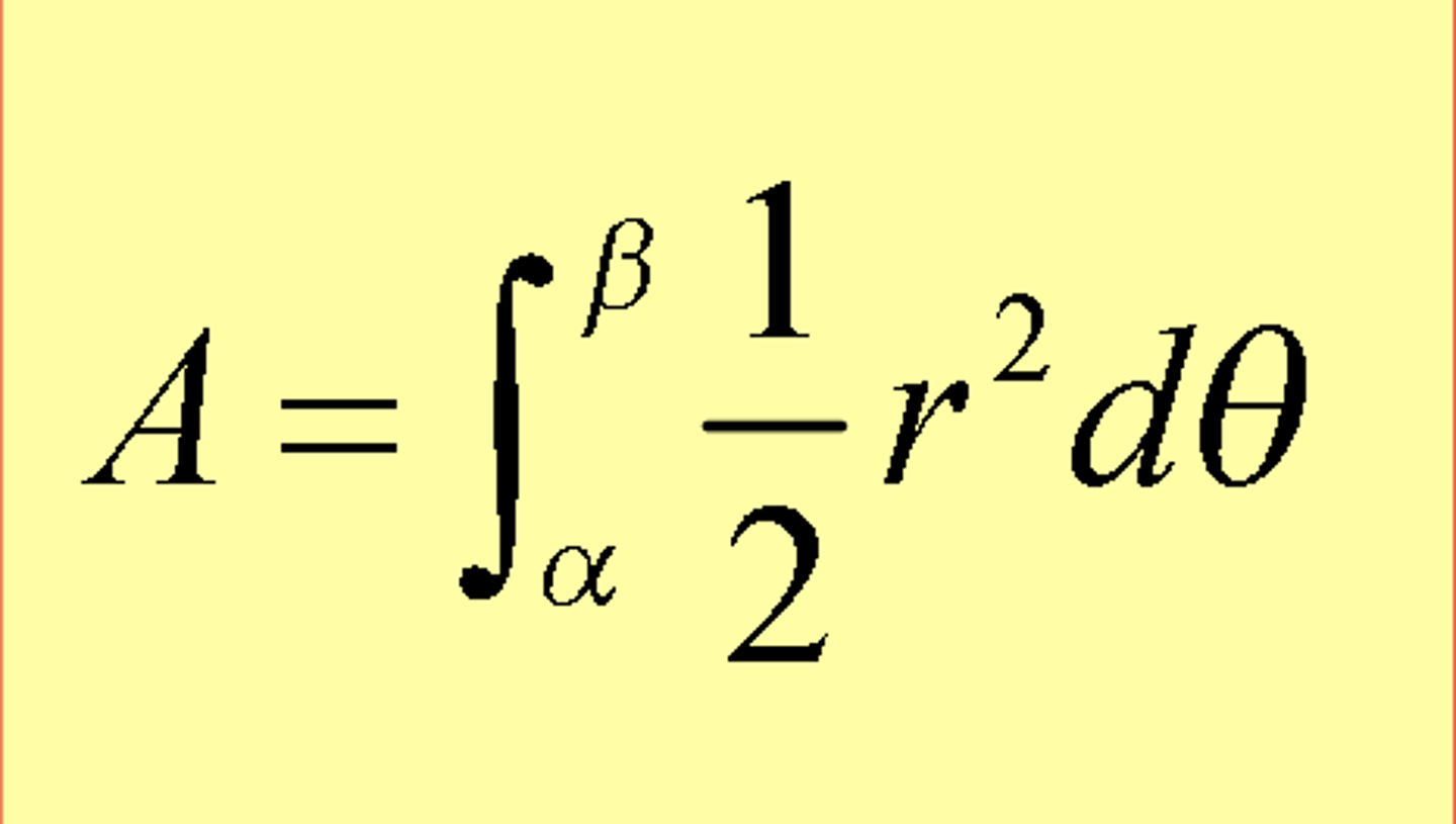
area inside 1 polar curve
1/2 ∫ r² over interval from a to b,
find α and β by setting r = 0, then solve for θ.
how to use:
theyll give r, so just sub into eq.

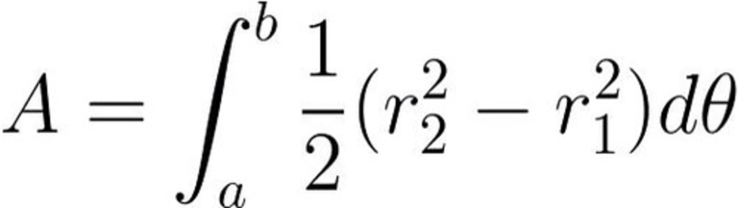
Area between 2 polar curves
1/2 ∫ R² - r² over interval from α to β,
find α and β by setting equations equal, solve for θ.

slope of line through origin for polar graphs
θ= tan⁻¹(m)
m=slope

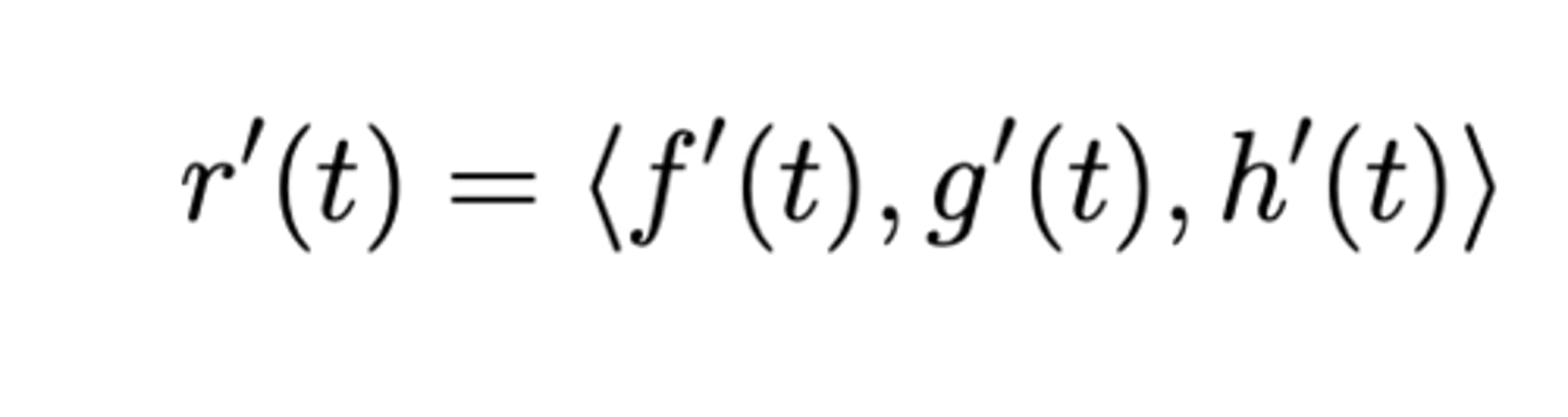
derivative of a vector valued function
take derivative normally, piece by piece

integral of a vector valued function
∫ y(t)x'(t) dt

displacement with vector functions
integral of velocity

velocity with vector functionss

given velocity vectors dx/dt and dy/dt, find speed
(speed with vector functions)
speed= |v(t)|
=
√(dx/dt)² + (dy/dt)² not an integral!

given velocity vectors dx/dt and dy/dt, find total distance travelled
(total distance with vector functions)
total distance= ∫|v(t)|
=
∫ √ (dx/dt)² + (dy/dt)² over interval from a to b
(integral of speed=total distance. integral of previous equation)

know how to find derivative, area, length of arc. 3 formulas.
for parametric = derivative, second derivative, area, and length of arc.
vectors= derivative and how to use it