1/45
Looks like no tags are added yet.
Name | Mastery | Learn | Test | Matching | Spaced | Call with Kai |
|---|
No analytics yet
Send a link to your students to track their progress
![<p>on interval [0,2pi/5]</p>](https://assets.knowt.com/user-attachments/5a244681-1067-4ce0-9bcc-634f2b60ff88.png)
on interval [0,2pi/5]
exam 1


exam1


exam1


exam1


exam1


exam1


exam1


exam1


exam1


exam1


explain in depth, look at the exam you took and see where exact he wanted to expand, see and do it again……..exam1


exam2


exam2


EXAM2


exam2


exam2


exam2


exam2


exam2


exam 2


exam2


EXAM2, 1. the fraction is improper, because the top has degree 3 and the bottom has degree 2, So before partial fractions, you would need a polynomial part first……………………. 2. This is a product of distinct linear factors, and the fraction is proper since degree(top) =2=2=2 and degree(bottom) =3=3=3……………………3. So the given decomposition uses the wrong factors, Since x2+4x^2+4x2+4 is an irreducible quadratic, (x²+4) doesnt turn from (x+2)(x+2)


exam3,,, divide by the biggest power from denolomonator or numerator


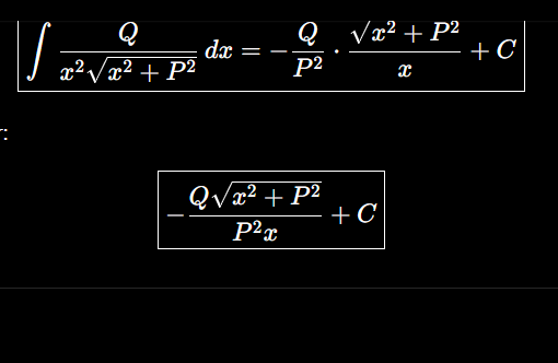
EXAM3 i swear to god if you dont have +C…..


exam3


exam3


exam3


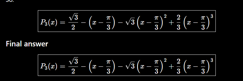
use made up formula from sheet, exam 3………….


exam3


exam3, REMINDBER THAT ITS ABSOULTLY CONVERGES FOR EVERYTHING BESIDES ALTERNATING SERIES TEST


exam3


exam3


exam3, ABSOLUTY CONVERGES DONT FORGET


exam3


exam 3, dont do integral test on others ever unless absoulty nesscessary, not cause its hard, but because hernendez requried to proof that its decasing by complicated derivaiites and continousing proof and this and that/………JUST AVIOD IT AT ALL COST, too risky


exam3


exam4


exam4


exam4


exam 4


exam4


exam 4


exam 4


exam4, center (2,-1), radius is 3


exam4


exam4
