Functional Groups and Strucutres

0.0(0)
Studied by 0 people
call kaiCall Kai
learnLearn
examPractice Test
spaced repetitionSpaced Repetition
heart puzzleMatch
flashcardsFlashcards
GameKnowt Play
Card Sorting

1/6

encourage image

There's no tags or description

Looks like no tags are added yet.

Last updated 4:33 PM on 4/29/26
Name
Mastery
Learn
Test
Matching
Spaced
Call with Kai

No analytics yet

Send a link to your students to track their progress

7 Terms

1
New cards

hydroxyl

knowt flashcard image
2
New cards

methyl

knowt flashcard image
3
New cards

carbonyl

knowt flashcard image
4
New cards

carboxyl

knowt flashcard image
5
New cards

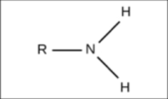
amino

knowt flashcard image
6
New cards

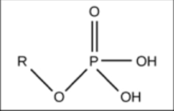
phosphate

knowt flashcard image
7
New cards

sulfhydryl

knowt flashcard image