1/36
Looks like no tags are added yet.
Name | Mastery | Learn | Test | Matching | Spaced | Call with Kai |
|---|
No analytics yet
Send a link to your students to track their progress
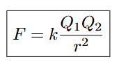
The force between two charges can be measured by coulombs law. What is coulombs law mathematically?
F is force (measured in Newtons), k is a constant, Q1 is the 1st charge (measured in Coulombs), Q2 is the 2nd charge (measured in Coulombs) and r is the distance between the two charges (measured in Meters) (Chapter 2a Voltage)

How is voltage mathematically related to energy and charge
Voltage is measured in volts, W is energy measured in Joules and Q is charge. (Chapter 2a Voltage)

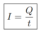
What is current and how is it mathematically related to charge and time
Current is the rate of flow of charge. I (Current), is measured in Amperes. (Chapter 2b Current)

What does DC and AC stand for. What do they mean
DC stands for direct current and the voltage will be constant. AC stands for alternating current and the voltage varies, represented by a sinusoid. (Chapter 2b Current)
What are conductors
Materials that allow for generous flow of electrons. A good example is copper. (Chapter 2c Voltage Source and Measuring Devices)
What are insulators
Materials that don’t allow for generous flow of electrons. (Chapter 2c Voltage Source and Measuring Devices)
What are semiconductors
“In between” conductors and insulators. Examples are silicon and germanium. (Chapter 2c Voltage Source and Measuring Devices)
What does an ammeter measure? What does it look like schematically
It measures current (Chapter 2c Voltage Source and Measuring Devices)

What does an voltmeter measure. What does it look like schematically
It measures voltage. (Chapter 2c Voltage Source and Measuring Devices)

In what way is a voltmeter connected to a load
In Parallel (Chapter 2c Voltage Source and Measuring Devices)
In what way is a ammeter connected to a load
In Series (Chapter 2c Voltage Source and Measuring Devices)
What are Digital Multi Meters (DMMs)
They measure multiple things like current, voltage and resistance. (Chapter 2 Independent and Dependent Sources)
With what shape is an independent source represented
A circle (Chapter 2 Independent and Dependent Sources)
With what shape is a dependent source represented
A diamond (Chapter 2 Independent and Dependent Sources)
What’s the formula for resistance as it relates to it’s length and area. What is the area measured in and how many of this unit is in 1 inch
It’s area is measured in circular mils (CM) 100mils = 1 inch (Chapter 3a Resistance)

In a conductor, as temperature increases, what happens to resistance
Also increases (Chapter 3a Resistance)
In semiconductors, as temperature increases, what happens to resistance
Decreases (Chapter 3a Resistance)
In insulators, as temperature increases, what happens to resistance
Decreases (Chapter 3a Resistance)
Conductance is usually denoted by what letter. What are it’s units and what’s the formula
It’s units are siemens (S) (Chapter 3a Resistance)

What is Ohm’s Law
V=IR (Chapter 4a Ohm’s Law)
In what way does current flow
Current flows from positive to negative terminals. (Chapter 4a Ohm’s Law)
What is the (verbal) definition of power
How much work is done per unit time (Chapter 4c Power)
What is the formula for power as it relates to current, voltage and resistance
(Chapter 4c Power)

How do you measure the efficiency of an energy system?
(Chapter 4e Efficiency)

How do you tell if resistors are in series
If there is one connection, and one connection only from resistor to resistor, they’re in series. (Chapter 5a Series Circuit)
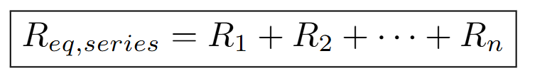
What’s the formula too find the equivalent resistance for resistors in series.
(Chapter 5a Series Circuit)

What is Kirchhoff’s Voltage Law (KVL)
The sum of the voltages around a closed loop must equal 0. You may have to use V=IR when using KVL. (Chapter 5e KVL)
What is the formula for a voltage divider
(Chapter 5f Voltage Division)

What’s the formula too find the equivalent resistance for resistors in parallel.
(Chapter 6a Parallel Resistors)

What is Kirchhoff’s Current Law (KCL)
The total current entering a junction must equal the current total leaving a junction. OR The sum of the currents must equal 0 (You have to consider direction if you use this version) (Chapter 6d KCL)
For a capacitor, what is the time constant equal to
(Chapter 10c Charging)

For the charging phase of a capacitor, what is the voltage across the capacitor equal to.
(Chapter 10c Charging)

For the charging phase of a capacitor, what is the current across the capacitor equal to.
(Chapter 10c Charging)

For the discharging phase of a capacitor, what is the voltage across the capacitor equal to.
(Chapter 10d Discharging)

For the discharging phase of a capacitor, what is the current across the capacitor equal to.
Same as the charging phase (Chapter 10d Discharging)

For capacitors in series, what is the equivalent capacitance
(Chapter 10f Series Parallel)

For capacitors in parallel, what is the equivalent capacitance
(Chapter 10f Series Parallel)
