1/6
Looks like no tags are added yet.
Name | Mastery | Learn | Test | Matching | Spaced | Call with Kai |
|---|
No analytics yet
Send a link to your students to track their progress
Mean of Grouped Data

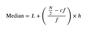
Median of Grouped Data

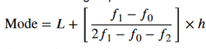
Mode of Grouped Data

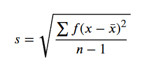
Standard Deviation

Comparison of Mean Speeds

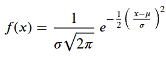
Probability Density Formula

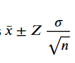
Confidence Interval Formula
