1/38
Keep checking Canvas for updates
Name | Mastery | Learn | Test | Matching | Spaced | Call with Kai |
|---|
No analytics yet
Send a link to your students to track their progress

Hydrogen
36

Sulphric Acid
-3

Hydrochloric Acid
-8

Hydronium Cation and Protonated Alcohol
-2
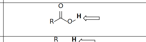
Methanoic acid
4

Ethanoic Acid (CH3COOH)
5
XCH2COOH (X = F, Cl, or Br)
2.7
Alcohol and Water
16 (methanol 27 in DMSO)
Isopropyl-OH (2-propanol)
17 (29 in DMSO)
Tert butyl alcohol
18 (29 in DMSO)

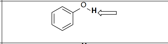
Phenol
10

Protonated Carbonyl Group Z = H, C, OR, NH 2 , NHR, NR2
-6
Ammonium Cation (NH4+)
9

Protonated Amines
11

Amines
35

Diisopropylamine
38
Thiol (R-SH)
10
Alkane
50
Alkene
44
Alkyne (has lowest pKa because the most electronegative C at sp = C.B most stable)
25
Primary and Secondary Amide
15
Tertiary Amide
30

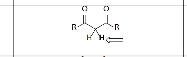
β-Diketone (R = carbon)/Dicarbonyl
9

β-Ketoester (R = carbon)
11 (+2)

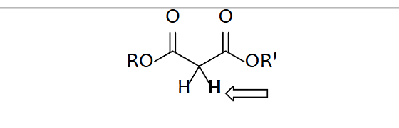
Malonate Ester (R = carbon)
13 (+2)
Ketone
22
Ester
25
Carbocation
-11
HBr
-9
HI
-10
Aldehyde
17

Cyclopentdiene
15

Vinyl
45

Imminium ion
4-5
Pyridinium (cation)
5
HCN
9

Nitroalkanes
10

Dinitriles
11

10 (Knoevenagel)