1/14
Looks like no tags are added yet.
Name | Mastery | Learn | Test | Matching | Spaced | Call with Kai |
|---|
No analytics yet
Send a link to your students to track their progress

What polyatomic ion is this?
Hydroxide Ion (OH-)

What polyatomic ion is this?
Nitrate ion (NO3-)

What polyatomic ion is this?
Carbonate ion (CO3 2-)

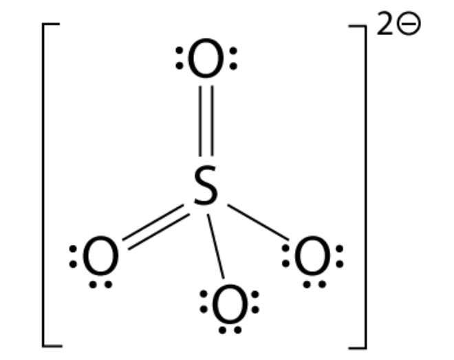
What is this polyatomic ion?
sulfate ion (SO4 2-)

What polyatomic ion is this?
Phosphate ion (PO4 3-)

What polyatomic ion is this?
Ammonium ion (NH4 +)
Nitrate
NO3 ^-
Nitrite
NO2 ^-
Sulfate
SO4 ²-
Sulfite
SO3 ²-
Chlorate
ClO3 ^-
Chlorite
ClO2 ^-
Phosphate
PO4 ³-
Phosphite
PO3 ³-
“ate” always has…
one more oxygen than “ite”