1/21
Looks like no tags are added yet.
Name | Mastery | Learn | Test | Matching | Spaced | Call with Kai |
|---|
No analytics yet
Send a link to your students to track their progress





Sketch the graph of y = g^-1(x) on the diagram


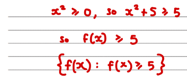
and state the range


Find an equation of the tangent to C at the point where T = 0
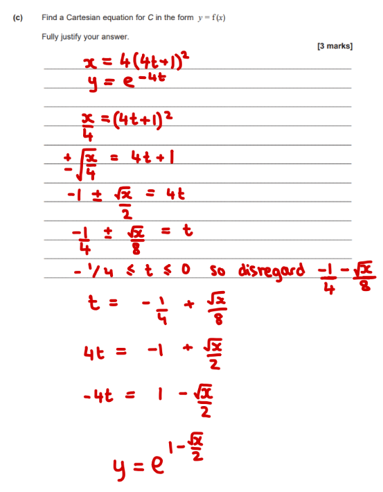
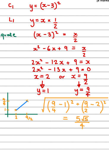
Find the cartesuab equation in the form y = F(X)












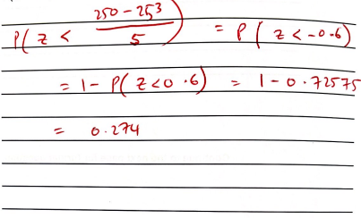
Using the graph estimate the value of A and N


P = aC^n






Show that a = (3-m/m+7))g and state the range of values for m










