1/34
Looks like no tags are added yet.
Name | Mastery | Learn | Test | Matching | Spaced | Call with Kai |
|---|
No analytics yet
Send a link to your students to track their progress
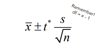
CI Formula One-sample t-interval for μ

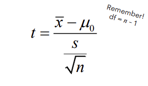
Inference! Test Statistic Formula One-sample t-test for μ

Inference! CI Formula One-sample z-interval for p

Inference! Test Statistic Formula One-sample z-test for p

CI Formula Two-sample t-interval for μ1– μ2

Test Statistic Formula Two-sample t-test for μ1– μ2

CI Formula Two-sample z-interval for p1– p2

Test Statistic Formula Two-sample z-test for p1– p2

Test Statistic Formula Chi-Square Test for Homogeneity/Independence

Test Statistic Formula Chi-Square Test for Goodness of Fit

CI Formula t-interval for slope

Test Statistic Formula t-test for slope

Point Estimate and Margin of Error
How to find the point estimate and margin of error given a confidence interval

Type I and Type II error

Power

Interpret the confidence interval

Interpret the confidence level

Interpret the P-value

What is an unbiased estimator?

Conditions for a one-sample t-test and t-interval for μ

Conditions for a one-sample z-test and z-interval for p

Conditions for a two-sample t-test and t-interval for μ1– μ2

Conditions for a two-sample z-test and z-interval for p1– p2

Conditions for a chi-square test

Conditions for a t-test or t-interval for slope
Why do we check the Random, 10%, and Normal/Large Sample conditions?

What is the difference between a parameter and a statistic?

What is the difference between the population distribution, the sample distribution, and the sampling distribution?

What is the Central Limit Theorem?
