1/242
Looks like no tags are added yet.
Name | Mastery | Learn | Test | Matching | Spaced | Call with Kai |
|---|
No analytics yet
Send a link to your students to track their progress
The following represent the relationship between temperature and length of a steel bar. Carry out a linear least-squares fit of the data of the form y = ax + b. Give the values of a and b, as well as the corresponding values of the correlation coefficient r for the fit.
Temperature (C) Length (mm)
10 1003
15 1005
20 1010
25 1011
30 1014
a = 0.56
b = 997.4
r = 0.983
What is signified if the Run icon on the LabVIEW panel has the broken shape?
There is an error in the VI
What is the name of the LabVIEW icon that carries out the basic data acquisition process?
DAQ assistant
Describe briefly the function of the Shift Registers in a LabView While loop.
It allows to retain values between loop iterations
The input to XY graph is what data type?
Two arrays
The input to the Array Size icon is an array. What is its output?
An integer that represents the number of elements in the input
The output of the DAQ assistant is what data type?
Waveform
There are many types of strain gages that measures strain. What type of strain gage did we use in all of our experiments
Foil gage
Briefly describe the construction of a foil gage
It consists of a thin, continuous, encapsulated strip of foil laid out in rows along the long axis of the gage. As the foil strip is stretched along the gage axis, its resistance changes linearly with strain.
How is execution of a LabView While loop halted?
1. If the stop button is pressed
2. If the conditional terminal stops
How is a "bad wire" depicted on the LabVIEW diagram panel?
It is shown by a broken or dashed line along the wire.
Briefly describe the construction of a semiconductor gage.
Similar in principle to the foil gage, using a thin strip of silicon as the strain-sensing element. Semiconductor gages have gage factors on the order of F=100, making them attractive for applications in which accuracy is the primary objective.
What color wire in LabVIEW is used to pass a floating point variable?
Orange
What color wire in LabVIEW is used to pass a string variable?
Pink
In a Waveform Plot, LabVIEW plots the experimentally measured variable vs ______
time
When a measurement is made, the signal that comes from the transducer is in the form of a _________ signal; while the computer can only read signals in __________ format. The device that converts the signal from the first format to the second is called a ________________
1. Analog
2. Digital
3. A/D (Analog-to-digital converter).
The following data were obtained from 10 repeated measurements of the same experimental quantity: 22.3, 23.8, 21.4, 22.1, 24.3, 22.9 24.1, 23.3, 23.2, 24.5. Give a set of limits within which you are 95% confident that the true value of the quantity lies.
23.18 ± 1.94
(21.24,25.12)
The volume of a circular cylinder is given by V=πr^2h, where r is the radius of the cylinder and h is the height. Repeated experimental measurements give r = 20 ± 0.5 mm and h = 100 ± 1.0 mm. For these data estimate the mean value of the volume V and the uncertainty in the volume δV.
V = 125664mm^3
δV = 6408mm^3
Name three different transducers that we used this semester, along with the physical quantity that each each was designed to measure.
1. Strain gage - Strain
2. Thermocouple - Temperature
3. Accelerometer - Acceleration
Name the electrical circuit that we use to convert small changes in strain gage resistance into voltage changes.
Wheatstone Bridge
The output signal of each of the transducers we used this semester are generally in what physical quantity?
Voltage
What does standard deviation measure?
Amount my which individual measurement differs from the mean
The volume of a cuboid is given by the relationship V = wbh, where w = width, b = breadth, and h = height of the cuboid. If the errors in measurements are δw, δb, and δh respectively, the expression for the error δV, in the volume is:

What does the correlation coefficient r mean when you perform a linear regression?
The strength of the linear relationship between two variables
Load cells are normally constructed from an elastic body of some sort. For example, we use a circular ring for outs. What property of elastic bodies makes them useful for this application?
They can deform elastically
Load cells are normally constructed from an elastic body of some sort. For example, we use a circular ring for outs. Name the transducers glued to our circular aluminum ring for measuring loads.
Strain gage
What is the name of that instability when an Aluminum can is compressed
Buckling
The compensating gage and the active gage (the gage glued to the beam that we tested) form two of the four legs in an electrical circuit. What is that circuit called?
Wheatstone Bride
Each of the strain gage rosettes that we have been using is composed of how many individual strain gages?
3
What is the angle between adjacent gages in the rosettes that we have been using?
45
Of the three types of accelerometers presented in class, name the type of accelerometer that can measure extremely fast changes in accelerations
Piezoelectric accelerometer
What is the method used in numerically calculating the integral of the measured signal from the accelerometer?
Digital integration
When you first get into a LabVIEW vi, that window is called __________
Front Panel
The window in a LabVIEW vi that contains the program that drives the vi is called
Block Diagram
In LabVIEW what do the letters "vi" represent?
Virtual Instrument
What is the name of that device in a data acquisition system that amplifies and linearizes the incoming signal to the computer?
Signal conditioner
Experimental error derives from what three sources?
1. Human error
2. Systematic error
3. Random error
What is the best way to combat human error?
Repeated checking of results, along with a healthy degree of skepticism.
What is the best way to combat systematic error?
Calibration
Define calibration.
Comparing the reading of a given instrument to a known standard, preferably a standard that is traceable to the National Institute of Standards and Technology.
What is the best way to combat random error?
Use a sufficiently large number of measurements.
Random experimental errors, when plotted as a frequency of observation f vs. the measured value x, follow a _______________, mathematically known as a ________ or a __________________.
1. bell-shaped distribution
2. Guassian
3. normal distrubution
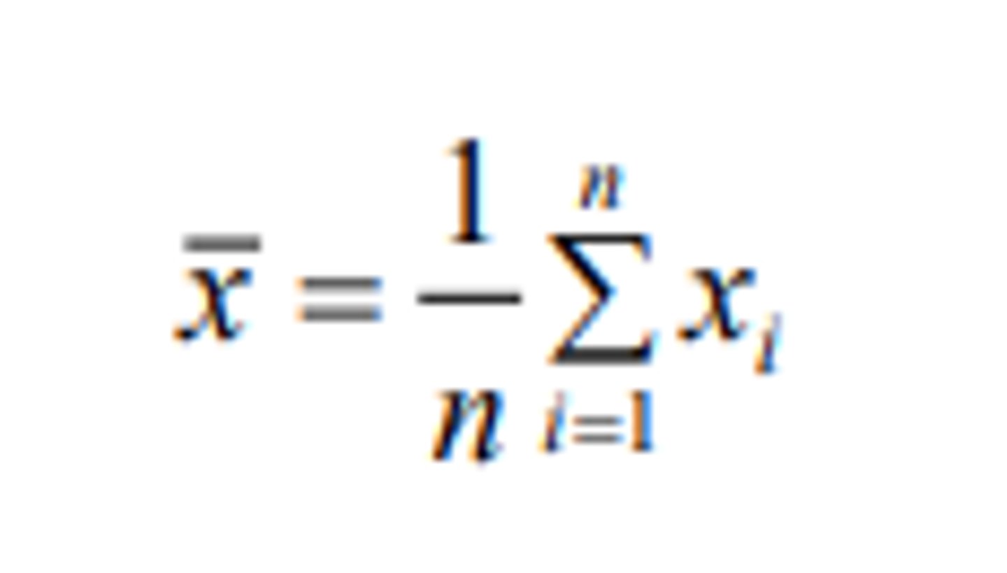
Then the mean value x is given by

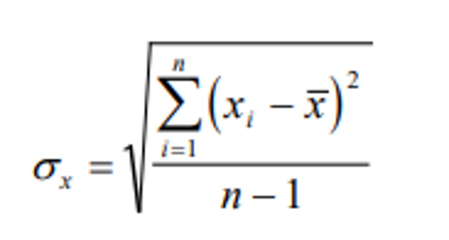
What is the mathematical definition of sample standard deviation?

Approximately what percentage of data falls between (x+σ, x−σ)?
68%
Approximately what percentage of data falls between (x+2σ, x−2σ)?
95%
Approximately what percentage of data falls between (x+3σ, x−3σ)?
99%
Suppose we obtain the following hand-timed values for the period of oscillation in seconds of a spring-mass system: 32.1, 31.0, 34.5, 29.4, 32.7, 32.3, 33.1, 29.8, 29.0, 33.9, 31.7, 30.3. Solve for the mean, standard deviation, and 95% confidence interval.
Mean = 31.7 s
σ = 1.8 s
31.7 ± 3.6s
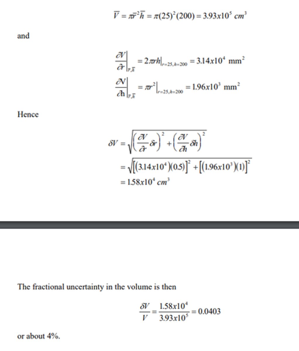
Suppose that we want to calculate the uncertainty in the volume of a right circular cylinder V resulting from uncertainties in measurements in the cylinder radius and the cylinder height. We have that V = πr h 2 . Further suppose that, as a result of experimental measurements, we establish that r = 25 ± 0.5 mm and h = 200 ± 1 mm, where the quantities after the ± sign indicate the uncertainties at the 95% confidence level. Calculate the mean volume, and the fractional uncertainty.

Hardness
The resistance to penetration of an indenter under a prescribed load.
Rockwell Hardness Test
A prescribed combination of load and indenter.
What does b1 represent in the method of least squares?
The slope
What does b0 represent in the method of least squares?
The y intercept
What is the mathematical equation to find b1 in the method of least squares?

What is the mathematical equation to find b0 in the method of least squares?

What is the mathematical equation to find r in the method of least squares?

Use the method of least squares on the following data set. x(1,2,3,4,5,6,7); y(1.5,3.8,6.7,9.0,11.2,13.6,16.0) to find an equation and the correlation coefficient r.

Equation for a linear fit
y = ax + b
Equation for a power-law fit
y = ax^b
Equation for an exponential fit
y = ae^(bx)
Explain the primary difference between analog and digital signals
An analog signal is one that, at least in principle, can take on any value whatsoever and can vary continuously with time. In contrast, digital representations of analog signals can take on only certain discrete values and are not continuous functions of time.
Define transducer
A device that converts the quantity of interest, be it pressure, displacement, strain, temperature, or whatever, into an electrical voltage.
Define sampling rate
The rate at which we sample signal
The higher the sample rate, the more ______ our representation of the analog signal will be.
accurate
Define resolution
Number of bits used by the A/D converter.
Equation for resolution, where V is voltage and N is number of bits

What is an LVDT?
A device that measures linear displacement
How does an LVDT operate?
Sensing the difference in voltage induced in two adjacent coils by a moving inner rod.
Difference between for loop and while loop
A for loop performs a task for a designated number of iterations, and a while loop runs indefinitely if a specified conditions is true.
What fit is log-log?
Power
What fit is semilog?
Exponential
Most strain gages experience a change in ________________ as they are strained, and by measuring this change in resistance, we may measure the _____________.
1. electrical resistance.
2. applied strain
Equation for strain, where F is the gage factor, ΔR is the change in gage resistance, and R is the original resistance.

Do you want a higher or lower value of F (gage factor)? Why?
You want a higher value of F because this leads to a larger value of ΔR
Equation for τ (shear stress) in terms of r, T, and t

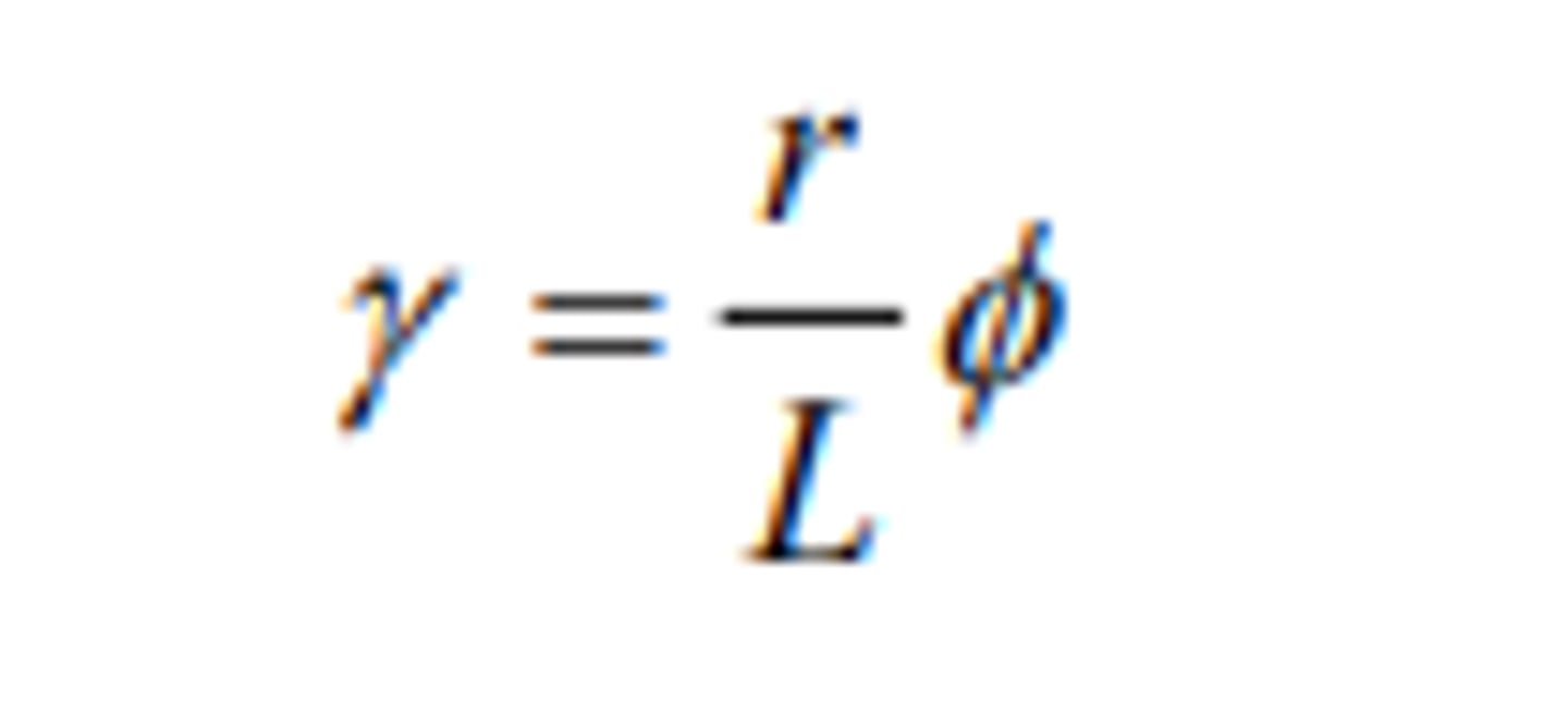
Equation for λ (shear strain) in terms of r, L, and angle of twist

Bauschinger effect
The reduction in yield stress experienced after a reversal of loading
Cyclic hardening
When unloading and reloading for the second time, the yield stress will be higher than that experienced on initial loading.
Draw the graph that represents initial loading, unloading and reloading stage one, and unloading and reloading stage 2. Label all the yield shear stresses.

Draw a Wheatstone bridge, labeling, R1, R2, R3, R4, the voltmeter, all the currents, and the fixed voltage source

Define active gage
The gage which will be strained
Define compensating gage
A gage applied to an unstrained piece of the same material, to compensate for strains induced by changes in temperature.
Draw the configuration of strain gage rosettes

Define piezoelectric material
One that generates a small electric field as it is trained or deformed.
When performing a calibration of an accelerometer, we are interested in determining the constant k. This constant relates _______ to _______.
a to e (acceleration to voltage output)
What color wire is string
Pink
What color wire is floating point variable
Orange
What color wire is integer variable
Blue
What color wire is boolean
Green
What are the three palettes in labview?
1. Controls
2. Functions
3. Tools
Correlation Coefficient
r; a numerical measure of some type of correlation between two variables. Larger r value indicates a stronger value/correlation.
Elements consist of...
1. transducers
2. signal conditioner
3. analog-to-digital converter (A/D)
4. computer
5. data analysis software (LabView)
Transducers
Senses change in physical quantities and translates them into electrical signals that the hardware accepts.
Signal Conditioner
Electrical signals generated by transducers into a form that the data acquisition board can accept; amplification, isolation, filtering.
Analog-to-Digital Converter
Number of channels, range accuracy, quality of the digitalized signal, noise and nonlinearity effect, sampling rate resolution and multiplexing (measuring several signals with only one A/D converter); measured in bits.
100kHz/16 channels= 6.25 kHz sampling rate
Resolution
Number of bits an A/D converter uses to represent an analog signal.
16 bits --> 2^(16)= 65,536 levels
Range
Maximum and minimum voltage level that an A/D converter can quantize; located on y-axis.
Maximum voltage: 10 V
Minimum voltage: 0 V
V= range/2^(resolution)
Analog Outputs
Uses D/A converters to provide output from computer to various instruments.
Digital I/O
Used for controlling processes and communicating with other digital equipment.
Errors in Measurement
Consist of random, human, or systematic error.