1/17
Name | Mastery | Learn | Test | Matching | Spaced | Call with Kai |
|---|
No analytics yet
Send a link to your students to track their progress
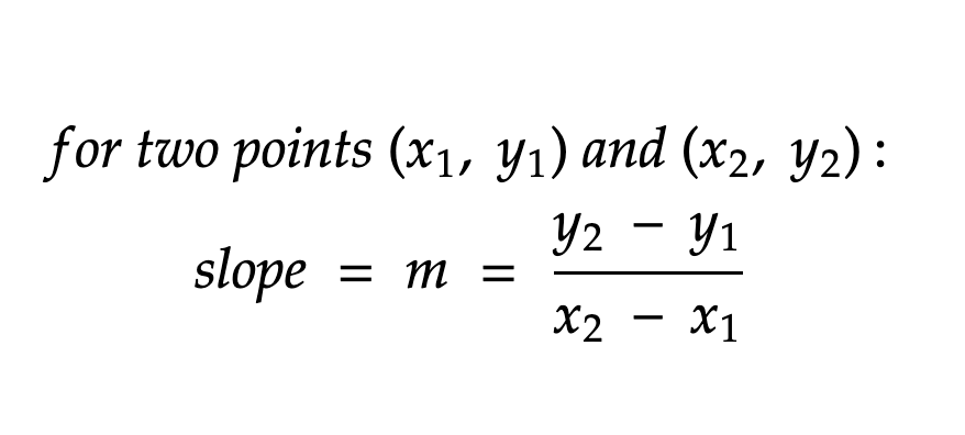
Slope formula

Slope-intercept form of a line

Standard form of a line

Point-slope form

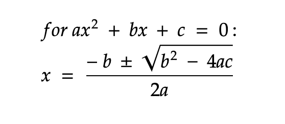
Quadratic formula
Discriminant b2 - 4ac tells you the number of real solutions
> 0 → two real solutions
= 0 → one real solution
< 0 no real solution

Vertex form of a parabola

Standard form of a quadratic

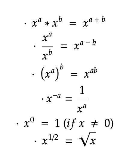
Exponent rules

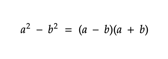
Difference of squares

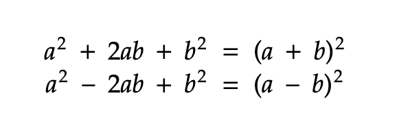
Perfect square trinomials

Systems of equations
Substitution: Solve one equation for a variable, plug into the other
Elimination: Add/subtract equations to cancel a variable
No solution → parallel lines (same slope, different intercept)
Infinite solutions → same line
Functions
f(3) means "plug in 3 for x"
f(g(x)) = plug g(x) into f
Linear function: f(x)=mx+b
Exponential: f(x)=a⋅bx
Percent change

Rate problems
Distance=Rate×Time
Or: d=rt
Works for speed, work, production, etc
Mean (average)

Simple geometry things

Tricky quadratic problems with constants

Example of tricky quadratic problems with constants
