1/66
Looks like no tags are added yet.
Name | Mastery | Learn | Test | Matching | Spaced | Call with Kai |
|---|
No analytics yet
Send a link to your students to track their progress
Define sedimentación/centrifugación:
Separación de sustancias de diferente densidad mediante gravedad o fuerzas centrífugas

¿En qué momentos se puede encontrar la centrifugación?
Separación de insolubles (recuperación)
Separación restos celulares


¿En qué momentos se puede encontrar la sedimentación?
Separación de insolubles (recuperación)

¿Cuáles son las principales aplicaciones de la sedimentación?
Sirve para separar insolutos:
Separación de células de cultivos biológicos
Separación de desechos celulares provenientes de una lisis celular
Separación de precipitados proteicos
Recuperación de productos insolubles
¿Cuándo una partícula de sólido se mueve a través de un medio continuo, por que tres fuerzas se ve afectada su velocidad?
Fuerza por inercia: fuerza de aceleración sobre la partícula
Flotabilidad: fuerza de resistencia ejercida por el medio en el cual está sumergida la partícula → fuerza opuesta a la gravedad, tendencia de un líquido a ocupar el espacio de una partícula
Fuerza de arrastre: fuerza de reacción a la aceleración por inercia que tiende a detener el movimiento de la partícula

¿Cuándo se igualan las fuerzas?
Al poco tiempo → estado estacionario
¿La velocidad de la partícula es constante?
Aceleración = F. Inercia + Flotabilidad + Fuerza de arrastre
Al poco tiempo (estado estacionario) estas fuerzas se igualan. Cuando la fuerza neta aceleradora (Inercia + Flotabilidad) se equilibra exactamente con la fuerza de arrastre, la aceleración se hace cero y la partícula alcanza una velocidad constante (velocidad de sedimentación)

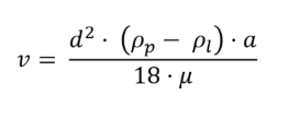
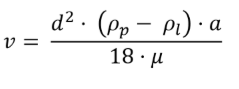
¿Cómo se construye la fórmula de la ley de Stokes?
Fuerza de arrastre = Inercia + Flotabilidad (estado estacionario)


¿Qué aproximaciones se hacen en la ley de Stokes?
Reynolds < 1 → sistema extremadamente laminar (única condición donde la fórmula de la fuerza de arrastre se cumple)
Partículas esféricas → diámetro de Stokes-Einstein: diámetro de una esfera con la misma difusividad que nuestra partícula

¿Qué ocurre si no hay gradiente de densidades?
Los diferentes compuestos no se podrán separar
Las partículas grandes sedimentan más — que las pequeñas
Rápido

¿La biomasa sedimentan eficientemente?
No, es demasiado pequeña → se necesita centrifugar
¿En qué se diferencia la sedimentación con la centrifugación?
La aceleración del proceso de sedimentación es la gravedad, por lo que es un proceso lento. En cambio, la aceleración de la centrifugación es la fuerza centrífuga (w2*r), que puede ser mucho mayor que la gravedad, acelerando el proceso
¿Para que se utiliza la centrifugación en biprocesos?
Solo se aplica para separar biomasa o partículas muy grandes (mayores que un micrometro)
¿Se utilizan las ultracentrífugas en bioprocesos?
No, ya que a nivel de bioproceso es imposibles llegar a velocidades angulares tan altas (muy caro). Además, ya hay otras unidades que cumplen esa función.
A escala lab sí que se utiliza para separar partículas pequeñas

¿Qué ocurre si la densidad de biomasa es demasiado similar a la del agua? ¿Cuál es una posible solución?
Si la densidad es demasiado parecida a la del agua, la biomasa no se podría separar bien. Una posible solución es añadir lípidos, los cuales al tener menos densidad que la del agua, disminuyen la densidad de la matriz → fenómeno e flotabilidad, tendrán menos densidad, por lo que irán hacia arriba

Completa esta tabla para:
Levadura
Bacteria
Proteína
menos diámetro → menos velocidad de sedimentación

¿Qué ocurre si el factor G es igual a 1? ¿Y si es mayor que 1?
= 1 → sedimentación (no velocidad angular)
> 1 → centrifugación (velocidad angular)
Define sedimentación:
Técnica de separación basada en la fuerza de la gravedad en la que se tienen sólidos insolubles y una fase líquida
¿Qué se obtiene al hacer una sedimentación?
Se obtiene una zona superior clarificada con un bajo contenido en sólidos y una zona inferior con alto contenido en sólidos
¿Cuál es una aplicación de la sedimentación en procesos industriales?
Tratamiento de aguas, tanto residuales como de proceso
¿Qué tipos de sedimentación hay en función de la concentración de sólidos?
Sedimentación discreta: no hay interacción con otras partículas vecinas, ocurre a concentraciones de sólidos bajas
Sedimentación zonal (500-1000 mg/L): las interacciones entre las partículas son importantes, velocidades de sedimentación son menores que en la sedimentación discreta
Sedimentación floculante: los sólidos en suspensión se deben flocular. Común en tratamiento de aguas residuales, ya que su carácter orgánico de las partículas les da la posibilidad de adherirse entre sí
Las aguas residuales suelen contener materia orgánica (restos de alimentos, heces, microorganismos, etc.).
Estas partículas orgánicas a menudo tienen superficies "pegajosas" o cargas superficiales que les permiten adherirse físicamente entre sí o unirse químicamente con la ayuda de agentes floculantes.
Sedimentación por compresión: la compresión implica la formación de una estructura de partículas sedimentadas que precipitan al comprimirse adquiriendo una mayor estructura. La compresión ocurre por el peso de las partículas que sedimentan desde la superficie al fondo
Es un tipo de sedimentación que ocurre cuando la concentración de sólidos es tan alta que las partículas ya no sedimentan de forma individual o zonal, sino que forman una "estructura" o red continua en el fondo. El peso de las propias partículas que siguen llegando desde arriba comprime esta estructura, exprimiendo el líquido atrapado entre ellas y logrando un lodo más denso y compacto.
¿Qué factores son importantes para el diseño de sedimentadores?
Área de la superficie mínima necesaria para la compactación de los sólidos
Área de la superficie mínima necesaria para la clarificación de la suspensión
Tasa de extracción de los sólidos de la zona de compactación
¿Qué es t settling?
Es el tiempo que tarda una partícula en sedimentar, desde la superficie hasta depositarse en el fondo
tsettling = h /vg
¿Qué es el tiempo de residencia del líquido en el tanque?
tres = V/Q
Para que las partículas se separen, tsettling ha de ser — que el tiempo de residencia
menor
¿En qué tiempo se llega al caudal máximo?
Cuando se igualan el tiempo de residencia y el tsettling

¿en una centrifugación, la velocidad de la partícula es constante?
No, porque la la partícula se mueve alejándose del eje de rotor (dr/dt) → cuanto más lejos del eje, más velocidad de giro
¿La concentración de partículas afecta a la velocidad en que se separan?
Sí, cuando la concentración de partículas incrementa, la velocidad de sedimentación se reduce, por ello hay que tener en cuenta la velocidad aparente, ya que que la ley de Stokes asume que la partícula sedimenta de forma aislada

Explica la centrifugación isopicnica:
Isopicnic = igual densidad
Creas un gradiente de densidad en el tubo (líquido más denso abajo, menos denso arriba) y dejas que las partículas migren hasta la posición donde su densidad iguala la del medio (fuerza motriz es 0), centrifugando a alta velocidad angular.
¿Cómo creas el gradiente una en centrifugación isopicnica?
Disolución de sacarosa: separación de orgánulos celulares
Disolución de cloruro de cesio: separación de ácidos nucleicos
¿Cuáles son las aplicaciones de una centrifugación isopicnica?
Separar ácidos nucleicos y orgánulos celulares
Determinación de densidades de partículas y macormoléculas
Explica la centrifugación diferencial:
Técnica que separa las partículas en base a sus diferentes velocidades de sedimentación:
Partículas grandes, densas y esféricas → sedimentan más rápido (v grande)
Partículas pequeñas, ligeras o irregulares → sedimentan más lento (v pequeña)
La ultrafiltración (50000 - 150000 g) es una técnica que permite —
Sedimentar partículas pequeñas como macromoléculas
¿Qué aplicaciones tiene la centrifugación diferencial?
Separar orgánulos celulares
¿Cuándo se caracteriza una centrífuga, se utilizan rpms o G?
G (la velocidad depende del radio)
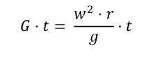
Define el factor G o RCF:
Es la velocidad de sedimentación de una partícula en un campo centrífugo con respecto a su velocidad de sedimentación en el campo gravitacional → cuantas veces incrementas la velocidad de la partícula en el proceso de sedimentación
Si factor G = 10 → estoy aplicando 10x la fuerza de la gravedad, voy 10 veces más rápido al centrifugar que sino centrifugase

¿Qué factores G pueden alcanzar las centrífugas industriales? ¿Y las de laboratorio?
Centrífugas industriales: RCF desde 300 a 16000
Centrífugas de laboratorio: pueden alcanzar valores de 40000 RCF
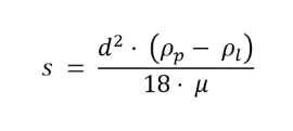
Define coeficiente de sedimentación:
Relaciona la velocidad de sedimentación de una partícula respecto a la fuerza motriz aplicada, depende exclusivamente de la partícula a separar y del medio → Se tabula a 20ºC (la viscosidad depende de la temperatura), así se estandariza que tan fácil o difícil es sedimentar una partícula (mayor s, menos fácil de separar)

¿Qué es el tiempo equivalente de centrifugación?
Es una aproximación a la dificultad de separación por centrifugación de un producto. Se define como el producto de RCF y el tiempo necesario para separar el producto

¿Para que se utiliza el tiempo equivalente de centrifugación?
Se pueden hacer escalados basados en el tiempo de equivalencia a escala lab (no a nivel industrial)

Define el factor Σ:
Sirve para caracterizar las propiedades de las centrífugas (equipos) dependiendo de la geometría y la velocidad de centrifugación. Cada tipo de centrífuga tiene una ecuación para calcular Σ.
¿Para qué se utiliza el factor Σ?
Para escalados a nivel industrial → se mantiene la velocidad cte, por lo que:
Q1/Σ1 = Q2/Σ2

¿Qué tipos de centrífugas existen a nivel de laboratorio? A igual velocidad de rotación, ¿qué rotor será más rápido en sedimentar nuestra partícula?
Rotor de ángulo fijo: más rápida pq la partícula tiene menos distancia que recorrer
Rotor de ángulo basculante

¿Qué tipos de centrífuga a nivel de producción existen?
Filtrantes
Sedimentadoras
Tubular
Cámara múltiple
Decantadoras
Discos
Enumera las características de una centrífuga filtrante:
Canasta perforada cubierta con un medio filtrante que gira a altas velocidades
Los sólidos se depositan sobre el medio filtrante
Salida de líquido claro → líquido filtrado sale de los poros y se recoge
Partículas de 30-45 um de diámetro, fáciles de sedimentar → rango demasiado alto para separar biomasa
No es común en bioprocesos
Al girar a alta velocidad, la fuerza centrífuga empuja el líquido a través de los poros del medio filtrante, mientras que los sólidos son retenidos formando un pastel sobre el medio

¿Cómo funciona una centrífuga tubular (centrífuga sedimentadora)?
Es un tubo alto enganchado a un pie con mortero que permite girar el tubo a alta velocidad. Se alimenta la solución desde la parte de abajo, el líquido se acumulará en la pared y llegará a un tope, si seguimos alimentado saldrá por la parte de arriba. Una vez se empieza a centrifugar, las partículas sedimentan y se quedan enganchadas en la pared, mientras que el líquido clarificado sale por arriba.
Son comunes para recuperar precipitados de proteínas
Enumera las ventajas de una centrífuga tubular (centrífuga sedimentadora):
Altas velocidades de centrifugación
Alta capacidad de extraer el agua (dewatering)
Fácil de lavar
Montaje simple
Enumera los inconvenientes de una centrífuga tubular (centrífuga sedimentadora):
Modo de operación: batch → cuando se ha acumulado demasiado sólido, se ha de parar, recuperar la solución y lavar
Capacidad de sólidos limitada → demasiada acumulación en la pared, habría que para muchas veces (batch)
Hace espumas en el proceso → hay dos fases (sólido y líquido), pero puede haber una interfase que genere espuma en la superficie que se acumulará en el centro porque es menos densa
Difícil recuperación de sólidos → va bien para recuperar producto si está en matriz acuosa, si es sólido, se ha de poder recuperar de dentro de la centrífuga: hay que mirar si es suficientemente estable para quedarse en las paredes y si se puede separar

¿Cómo se consigue esta ecuación en una centrífuga tubular (centrífuga sedimentadora)?
Se igualan el mocimiento hacia laa pared (eje r → dr/dt) y el movimiento longitudinal (eje z → dz/dt)
Ambas velocidades deben de estar en equilibrio:
si dr/dt < dz/dt, entonces el líquido va más rápido y la partícula no puede sedimentar
si dr/dt > dz/dt, entonces la partícula se mueve fuera de la zona líquida


En el transcurso de la centrifugación en una centrífuga tubular (centrífuga sedimentadora), ¿qué ocurre con rt?
Se va haciendo menor por la acumulación de sólidos, por lo que sigma disminuye, causando una disminución del caudal para seguir capturando partículas
Explica el funcionamiento de una centrífuga cámaras múltiples (centrífuga sedimentadora):
Funciona introduciendo la suspensión por su eje central hacia una serie de cámaras concéntricas que giran a alta velocidad. En cada cámara, la fuerza centrífuga hace que las partículas sólidas se sedimenten y acumulen en sus paredes, mientras que el líquido, que se va clarificando progresivamente al pasar de una cámara a otra, fluye hasta salir como sobrenadante limpio por la parte superior
Enumera las ventajas de una centrífuga cámaras múltiples (centrífuga sedimentadora):
Alta eficiencia de clarificación
Alta capacidad de sólidos
Alta capacidad de extraer el agua (dewatering)
Regrigeración posible
Enumera los inconvenientes de una centrífuga cámaras múltiples (centrífuga sedimentadora):
No descarga de sólidos
Lavado más difícil que las tubulares
Recuperación de sólidos difícil
En una centrífuga cámaras múltiples (centrífuga sedimentadora), la eficacia aumenta incrementando —
El área de sedimentación
Explica el funcionamiento de una decantadora (centrífuga sedimentadora):
Tiene un bol que gira a velocidad constante, con capacidad menor que las tubulares. En su interior, tiene un tornillo extra fino que gira a una velocidad menor que el vuelo, lo que arrastra a las partículas y permite que vayan cayendo de la pared y se vayan hacia la salida.
Puede tener dos salidas: dicanter → Qsobrenadante + Qsólidos
Puede tener tres salidas: tricanter → fracción hidrofóbica (fracción lipídica: menos densa), fracciona acuosa (+ densa) y fracción de sólidos
Enumera las ventajas de una decantadora (centrífuga sedimentadora):
Descarga de sólidos en continuo
Alta capacidad de concentración de sólidos
Puede separar una concentración de sólidos de entrada alta (aprox 40%)
Enumera las desventajas de una decantadora (centrífuga sedimentadora):
Baja fuerza centrífuga → puede separar una alta cantidad de sólidos pero han de ser fácilmente separables
hongos: fácil (hifas)
bacterias: difícil
Turbulencias
¿Para qué se suele utilizar una decantadora (centrífuga sedimentadora)?
Es común para separar partículas con velocidades de sedimentación elevadas (antibióticos)
Explica el funcionamiento de una centrífuga de discos (centrífuga sedimentadora):
Funciona introduciendo la suspensión por su eje central hacia los discos que giran a alta velocidad. Dentro de los canales entre discos, la fuerza centrífuga hace que las partículas sólidas sedimenten rápidamente sobre las superficies de los discos, deslizándose luego hacia el fondo del bol donde se acumulan para ser descargadas, mientras que el líquido clarificado fluye hacia el eje central y sale como sobrenadante limpio por la parte superior.
Enumera las ventajas de una centrífuga de discos (centrífuga sedimentadora):
Descarga de sólidos posible
Eliminación de espuma → todo el bol está sumergido, no hay desfase
Refrigeración posible → cuidado: menos Tª más viscosidad
Enumera las desventajas de una centrífuga de discos (centrífuga sedimentadora):
Baja capacidad de eliminación de agua → no puede llegar a tantas revoluciones como la tubular
Difícil de lavar
¿Cuál suele ser el uso de una centrífuga de discos (centrífuga sedimentadora)?
Es común para separar células y partículas de células lisadas
¿Qué centrífugas suelen ser las más usadas en bioseparación de células y proteínas?
Las centrífugas de disco y tubulares
¿Cómo se determina el tipo de centrífuga a utilizar?
El % de sólidos:
Batch: sin límites
Filtrantes/Sedimentadoras continuas: hasta un 40-50% (óptimo = 20% aprox)
Decantadoras continuas: del 1 al 40%
Las de disco sueles ser ideales para un amplio rango de particulas

¿Qué es la floculación?
Es incremento reversible de tamaño de la partícula a separar debido a la acción de un floculante
Métodos de acción de la floculación:
Disminuir fuerzas de repulsión entre partículas
Crear puentes entre moléculas → polímero