1/190
Looks like no tags are added yet.
Name | Mastery | Learn | Test | Matching | Spaced | Call with Kai |
|---|
No analytics yet
Send a link to your students to track their progress
Antoni van Leeuwenhoek was the first person in history to
a. disprove spontaneous generation.
b. use a magnifying glass.
c. view microorganisms and record these observations.
d. use the germ theory of disease.
e. develop a taxonomic system.
view microorganisms and record these observations.
The accumulation of glucose 6-phosphate inside a bacterial cell via phosphorylation of glucose is an example of
group translocation
A bacterium that only possesses the ability to ferment obtains energy
by glycolysis only
What is the total surface area of three cells measuring 6 µm × 0.6 µm?
96
Which enzyme catalyzes the reaction: O2- + O2- + 2H+ → H202 + 02?
Superoxide dismutase
Which of the following is an indirect method for estimating the number of microbes in a sample?
turbidity
The ________ of a population is the time it takes for the cells to double in number.
generation time

In Figure 6.3, which tube shows the expected growth pattern for a microaerophile?
e. 5
Sulfanilamide is an antimicrobial drug that mimics the shape of an important substrate for a particular bacterial enzyme, thereby inhibiting the enzyme. This type of inhibition is known as
competitive inhibition
Which of the following organisms is a prokaryote?
archea
Which of the following is NOT a typical characteristic of most bacterial plasma membranes?
contains cholesterol
Proof that a microbe could cause disease was provided by
Koch
________ are complex communities of various types of microbes that adhere to surfaces.
- Media
- Aggregates
- Colonies
- Biofilms
- Isolates
biofilms
A capnophile is a microorganism that thrives in conditions of high
- hydrostatic pressure.
- oxygen levels.
- salt concentration.
- pH.
- carbon dioxide levels
carbon dioxide levels
Blood agar plates are an example of ________ medium.
- selective
- transport
- differential
- defined
- reducing
differential
Which of the following statements concerning enzymes is FALSE?
- They form a temporary intermediate compound with a substrate.
- They can be used to catalyze a chemical reaction over and over again.
- They always function best at 37°C.
- They can be denatured if the pH of their environment is too high or too low.
- They are usually, but not always, proteins
They always function best at 37°C
An organic compound gains an electron from another molecule. The organic compound
- is an electron donor.
- has been reduced.
- has become more positively charged.
- has lost a hydrogen atom.
- has been oxidized
has been reduced
The DNA found in most bacterial cells
- is linear in structure.
- is surrounded by a nuclear membrane.
- is circular in structure.
- is found in multiple copies.
- utilizes histones for chromosomal packaging
is circular in structure.
Bacterial ________ are sites of metabolite storage.
- vacuoles
- inclusions
- nucleoids
- periplasm
- pili
inclusions

In Figure 4.3, which diagram of a cell wall contains teichoic acids?
- a
- b
- both a and b
- neither a nor b
- The answer cannot be determined based on the information provided
a
Which two staining techniques employ a mordant?
- Gram stain; Capsule stain.
- Gram stain; Acid-fast stain.
- Simple stain; Acid-fast stain.
- Capsule stain; Flagella stain.
- Gram stain; Flagella stain
Gram stain; Flagella stain
Which of the following places the steps of the Gram stain in the correct order? 1-Alcohol-acetone 2-Crystal violet 3-Safranin 4-Iodine
- 1-3-2-4
- 2-4-1-3
- 2-1-4-3
- 4-3-2-1
- 1-2-3-4
2-4-1-3
Which of the following is NOT true regarding the acid-fast stain?
- If cells are acid-fast, they are gram-negative.
- Non-acid-fast microbes appear blue in a completed acid-fast stain.
- Acid-fast cells retain the primary dye after treatment with acid-alcohol.
- It is used to identify members of the genus Mycobacterium.
- Acid-fast cells appear red in a completed acid-fast stain
If cells are acid-fast, they are gram-negative
Work by ________ laid the foundations of immunology with the development of vaccines
- Pauling and Woese
- Jenner and Pasteur
- Redi and Spallanzani
- Koch and Pasteur
- Lister and Semmelweis
Jenner and Pasteur
Which of the following statements about fungi is FALSE?
- fungi are photosynthetic.
- molds are multicellular.
- fungi have a cell wall.
- fungi are eukaryotes.
- yeasts are unicellular
fungi are photosynthetic
Microorganisms characterized by the absence of a nucleus are called
- eukaryotes.
- fungi.
- viruses.
- pathogens.
- prokaryotes.
prokaryotes.

Which drawing in Figure 4.1 is streptococci?
a
b
c
d
e
d
Bacteria are a commonly used organism for studies of genetic material in the research laboratory. The nucleic acids must first be isolated from the cells for these studies. Which of the following would most likely be used to remove the cell wall from gram-positive bacterial cells prior to their lysis for nucleic acid isolation?
mycolic acid
polymixins
lysozyme
water
alcohol
lysozyme
By which of the following mechanisms can a cell transport a substance from a lower to a higher concentration?
extracellular enzymes
facilitated diffusion
simple diffusion
active transport
aquaporins
active transport
The purpose of a mordant in the Gram stain is to
prevent the crystal violet from leaving the cells.
make gram-negative cells visible.
remove the simple stain.
make the flagella visible.
make the bacterial cells larger.
prevent the crystal violent from leaving the cells
In microscopy, the term resolution
refers to the ability to distinguish fine structure and detail in a specimen.
is only observed in stained specimens.
is the same as the total magnification of a specimen.
refers to magnification when using the electron microscope.
is improved when longer wavelengths of light are employed.
refers to the ability to distinguish fine structure and detail in a specimen.
What is the type of strong chemical bond between carbon, hydrogen, and oxygen atoms in a single organic molecule?
covalent bond
hydrogen bond
ionic bond
covalent bond
In which of the following situations would Koch's postulates be utilized?
determination of the cause of cancer in a patient
formulation of a vaccine against a new pathogen in a genetic engineering lab
development of a new antibiotic in a pharmaceutical lab
determination of the cause of a new emerging disease by scientists studying disease transmission
whenever the scientific method is used to investigate a microbiological problem
determination of the cause of a new emerging disease by scientists studying disease transmission
Paul Ehrlich used chemotherapy to treat
A. cholera.
B.anthrax.
C.syphilis.
D.cancer.
E. smallpox.
syphilis
Patients with indwelling catheters (long-term tubes inserted into body orifices for drainage, such as through the urethra and into the urinary bladder) are susceptible to infections because
injected solutions are contaminated.
biofilms develop on catheters.
infections can be transmitted from other people.
their immune systems are weakened.
bacteria cause infections.
biofilms develop on catheters.
A fastidious organism might be grown on which of the following types of media?
differential media
selective media
reducing media
enriched media
transport media
enriched media
Thirty-six colonies grew in nutrient agar from 1.0 ml of undiluted sample in a standard plate count. How many viable and culturable cells were in the original sample?
18 per milliliter
9 per milliliter
72 per milliliter
4 per milliliter
36 per milliliter
36 per milliliter

In Figure 6.1, which line best depicts a psychrotroph incubated at 0°C?
a
b
c
c
Which of the following is a fermentation product useful in the manufacture of cheese?
acetic acid
lactic acid
ammonia
ethanol
pyruvic acid
lactic acid
What is the fate of pyruvic acid in an organism that uses aerobic respiration?
It reacts with oxaloacetate to form citrate.
It is oxidized in the electron transport chain.
It is converted into acetyl CoA.
It is catabolized in glycolysis.
It is reduced to lactic acid.
It is converted into acetyl CoA.
Which of the following never have cell walls?
archaea
algae
fungi
animal cells
bacteria
animal cells
Which of the following prokaryotic cells contain an outer membrane?
Gram-positive bacteria only
both Gram-positive and Gram-negative bacteria
all prokaryotes
Gram-negative bacteria only
archaea
Gram-negative bacteria only
A virus measures 100 nm in length. What is its length in μm?
0.01 μm
10 μm
0.001 μm
1 μm
0.1 μm
0.1 μm
Which of the following statements regarding protein structure is FALSE?
Secondary structures are formed only from hydrogen bonds.
Tertiary structures are formed only from covalent bonds.
Quaternary structures involved multiple polypeptides.
The primary structure is formed by covalent bonding between amino acid subunits.
Tertiary structures are formed only from covalent bonds.

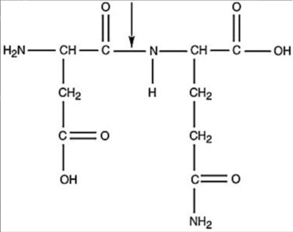
What kind of bond is at the arrow in Figure 2.3?
disulfide bridge
peptide bond
double covalent bond
ionic bond
hydrogen bond
peptide bond
Penicillin was discovered by accident by
Robert Koch.
Alexander Fleming.
Joseph Lister.
Paul Ehrlich.
Edward Jenner
Alexander Flemming
The bacterial shape of the cells in the scanning electron micrograph shown in Figure 1.1 would best be described as
bacillus.
columnar.
spiral.
ovoid.
coccus.
bacillus
Which enzyme catalyzes the following reaction? 2H2O2 → 2H2O + O2
- catalase
- oxidase
- peroxidase
- superoxide dismutase
catalase
A capnophile is a microorganism that thrives in conditions of high
- hydrostatic pressure.
- oxygen levels.
- salt concentration.
- pH.
- carbon dioxide levels.
carbon dioxide levels
Noncyclic photophosphorylation produces
- water and ATP.
- oxygen.
- ATP only.
- NADPH only.
- ATP and NADPH.
ATP and NADPH
Chemical reactions that can proceed toward either anabolism or catabolism are called
- amphibolic.
- light-independent.
- glycolytic.
- cyclic.
- synthetic.
amphibolic
Which of the following uses CO2 for carbon and H2 for energy?
- chemoautotroph
- chemoheterotroph
- photoautotroph
- photoheterotroph
chemoautotroph
Short, hairlike structures used only by eukaryotic cells for movement are called
- pili.
- flagella.
- cilia.
- pseudopodia.
- fimbriae.
cilia
Which microscope is used to see internal structure of cells in a natural state?
- phase-contrast microscope
- darkfield microscope
- fluorescence microscope
- electron microscope
- compound light microscope
phase-contrast microscope
Identify the two functional groups that interact to form a peptide bond.
- ester group and hydroxyl group
- amino group and carboxyl group
- hydroxyl group and amino group
- carboxyl group and ester group
- amino group and ester group
amino group and carboxyl group
Identify the following reaction: Glucose + Fructose → Sucrose + Water
- dehydration synthesis reaction
- hydrolysis reaction
- exchange reaction
- reversible reaction
- ionic reaction
dehydration synthesis reaction
A ________ is a mixed population of microbes growing together on surfaces
biofilm
The formal system for classifying and naming organisms was developed by
- Carolus Linnaeus.
- Robert Koch.
- Aristotle.
- Ignaz Semmelweis.
- Louis Pasteur.
Carolus Linnaeus
Which of the following is an incorrect pairing?
- protozoa; multicellular
- fungi; cell walls
- algae; aquatic and marine habitats
- viruses; acellular parasites
- prokaryotes; no nuclei
protozoa; multicellular
Silvadene, a topical treatment for burns, contains 1% silver. What category of chemical control agent is in Silvadene?
a) halogens
b) aldehydes
c) heavy metals
d) oxidizing agents
e) surfactants
c) heavy metals
A chemical agent that dissolves lipids can damage
a) cells and enveloped viruses.
b) cells.
c) bacterial endospores.
d) nonenveloped and enveloped viruses.
e) enveloped viruses.
a) cells and enveloped viruses.
Which of the following describes flash pasteurization?
a) heating at 72°C for 15 minutes
b) heating at 72°C for 15 seconds
c) heating at 134°C for one second
d) heating at 63°C for 30 minutes
e) passing liquid through steam at 140°C
b) heating at 72°C for 15 seconds
You notice a sign in a public restroom that states "Sanitized for your safety." This means
a) antiseptics have been used to clean the area.
b) sterilizing chemicals have been used in cleaning.
c) degerming methods only have been used to clean the restroom.
d) methods of disinfection that meet minimum standards of microbial removal have been used.
e) only "organic" chemicals were used in the cleaning process to reduce microbial numbers.
d) methods of disinfection that meet minimum standards of microbial removal have been use
Which of these treatments results in removal of all microbes?
a) sanitization
b) sterilization
c) all of these
d)disinfection
e) antisepsis
b) sterilization
Which of the following treatments is the most effective for controlling microbial growth?
a) They are equivalent treatments.
b) 63°C for 30 minutes
c) 72°C for 15 seconds
d) None of the answers is correct.
e) 140°C for 4 seconds
e) 140°C for 4 seconds
An experiment began with 4 bacterial cells in log phase and ended with 128 cells. How many times the cells divided?
a) 64
b) 6
c) 5
d) 4
e) 32
c) 5
The main source of nutrients in nutrient agar to grow bacteria is ________.
a) agar and NaCl
b) peptone and beef extract
c) agar
d) gelatin
e) peptone and NaCl
b) peptone and beef extract
Which of the following pairs of microbe classification terms and optimal growth temperatures is mismatched?
a) Psychrotroph — growth at 20—30°C
b) Psychrophile — growth at 15°C
c) Mesophile — growth at 25—40°C
d) Hyperthermophiles — growth at greater than 80°C
e) Thermophile — growth at 37°C
e) Thermophile — growth at 37°C

How would a noncompetitive inhibitor interfere with a reaction involving the enzyme shown in Figure 5.3?
a) It would bind to b.
b) The answer cannot be determined based on the information provided.
c) It would bind to a.
d) It would bind to d.
e) It would bind to c.
a) It would bind to b.
Which of the following is the best definition of fermentation?
a) the partial oxidation of glucose with organic molecules serving as electron acceptors
b) the production of energy by oxidative-level phosphorylation
c) the complete catabolism of glucose to CO2 and H2O
d) the production of energy by both substrate and oxidative phosphorylation
e) the partial reduction of glucose to pyruvic acid
a) the partial oxidation of glucose with organic molecules serving as electron acceptors

Which compound is being reduced in the reaction shown in Figure 5.1?
a) isocitric acid and α-ketoglutaric acid
b) NADH
c) α-ketoglutaric acid and NAD+
d) NAD+
e) NADH and isocitric acid
d) NAD+

In Figure 4.3, which diagram of a cell wall is resistant to many antibiotics (e.g., penicillin)?
a) The answer cannot be determined based on the information provided.
b) neither a nor b
c) b
d) both a and b
e) a
c) b

In Figure 4.3, which diagram of a cell wall is a gram-negative cell wall?
a) both a and b
b) b
c) neither a nor b
d) The answer cannot be determined based on the information provided.
e) a
b) b
You are studying a cell structure that is approximately 100 nm in size. Which of the following provides the greatest magnification you can use to see this structure?
a) darkfield microscope
b) brightfield microscope
c) transmission electron microscope
d) phase-contrast microscope
e) scanning electron microscope
e) scanning electron microscope
A single basic dye is used in simple stains.
a) True
b) False
a) True
What is the type of bond holding hydrogen and oxygen atoms together in a single H2O molecule?
a) ionic bond
b) hydrogen bond
c) covalent bond
c) covalent bond
Which of the following is a property of water?
a) It is not a good solvent.
b) it has a high capacity for heat.
c) it is not a common reactant in metabolic reactions.
d) it is liquid in a very narrow temperature range.
e) it is a nonpolar molecule.
b) it has a high capacity for heat.
A scientist wants to perform a test that will indicate whether a nucleic acid sample is composed of either RNA or DNA. Testing for the presence of which of the following is most appropriate in this situation? Select all that apply
a) uracil
b) nitrogen
c) guanine
d) thymine
e) phosphate
a) uracil
d) thymine
Which of the following is NOT a characteristic of viruses?
a) they are acellular.
b) they are typically smaller than prokaryotic cells.
c) they are composed of genetic material and protein.
d) they are visible with a light microscope.
e) they are obligatory parasites.
d) they are visible with a light microscope.
The use of chemical agents to harm or kill microbes is
a) mycology.
b) biotechnology.
c) epidemiology.
d) immunology.
e) chemotherapy.
e) chemotherapy.
Nitrogen is a growth-limiting nutrient for many organisms because
only a few microbes can extract it from the atmosphere, but all organisms require it for amino acid and nucleotide synthesis.

In Figure 6.1, which line best illustrates the growth of a facultative anaerobe incubated aerobically?
A
Which of the following is an advantage of the direct microscopic count?
- sample volume is unknown
- can easily distinguish live from dead cells
- can readily count organisms that are motile
- requires no incubation time
- requires a large number of cells
requires no incubation time
Consider a culture medium on which only gram-positive organisms such as Staphylococcus aureus colonies can grow due to an elevated NaCl level. A yellow halo surrounds the growth, indicating the bacterium fermented a sugar in the medium, decreasing the pH as a result and changing the color of a pH indicator chemical. This type of medium would be referred to as a(n)
selective and differential medium.
During which growth phase will gram-positive bacteria be most susceptible to penicillin?
a) Lag phase
b) Death phase
c) Log phase
d) Stationary phase
e) The culture is equally susceptible during all phases.
log phase
Why do eukaryotes generate only about 36 ATP per glucose in aerobic respiration but prokaryotes may generate about 38 ATP?
a) eukaryotes do not completely oxidize glucose in their respiration reactions.
b) eukaryotes must shuttle pyruvate across the mitochondrial membrane by active transport.
c) eukaryotes do not transport as much hydrogen across the mitochondrial membrane as prokaryotes do across the cytoplasmic membrane.
d) prokaryotes possess an alternate to the Krebs cycle that generates more reduced electron carriers.
e) eukaryotes have a less efficient electron transport system.
eukaryotes must shuttle pyruvate across the mitochondrial membrane by active transport.
Which organism is NOT correctly matched to its energy source?
chemoautotroph - Fe2+
chemoautotroph - NH3
chemoheterotroph - glucose
photoautotroph - CO2
photoheterotroph - light
photoautotroph - CO2
Anabolic reactions may be characterized as
exergonic.
breaking large molecules into smaller molecules.
forming large molecules from smaller molecules.
breaking large molecules into smaller molecules to produce ATP.
producing ATP.
forming large molecules from smaller molecules.
Which of the following has bacteriochlorophylls and uses alcohols for carbon?
photoheterotroph
Which one of the following organisms has a cell wall?
a) fungi
b) mycoplasmas
c) animal cells
d) L forms
e) protoplasts
fungi
The difference between simple diffusion and facilitated diffusion is that facilitated diffusion
requires transporter proteins.
Each of the following statements concerning the gram-positive cell wall is true EXCEPT
a) it is sensitive to lysozyme.
b) it protects the cell in a hypertonic environment.
c) it contains teichoic acids.
d) it maintains the shape of the cell.
e) it is sensitive to penicillin.
it protects the cell in a hypertonic environment.

The cells illustrated in Figure 3.1 are in a(n) ________ environment.
hypertonic
passive
isotonic
hypotonic
fluid mosaic
hypotonic
A microorganism measures 5 μm in length. Its length in mm would be
a) 0.5 mm.
b) 500 mm.
c) 0.05 mm.
d) 50 mm.
e) 0.005 mm.
0.005 mm.
What is the total magnification of a specimen viewed with a 10x ocular lens and a 45x objective lens?
450x
Immersion oil is necessary when using the 100x objective on a compound light microscope
otherwise too much light is lost to refraction and the image will be fuzzy.
Which of the following places the steps in the correct sequence?
1-Staining
2-Making a smear
3-Fixing
- 2-3-1
- 1-3-2
- 3-2-1
- 1-2-3
- The order is unimportant.
2-3-1
Which microscope is used to observe viruses and the internal structure of thinly sectioned cells?
darkfield microscope
transmission electron microscope
scanning electron microscope
brightfield microscope
fluorescence microscope
transmission electron microscope
Which microscope achieves the highest magnification and greatest resolution?
- compound light microscope
- electron microscope
- fluorescence microscope
- phase-contrast microscope
- darkfield microscope
electron microscope