1/27
Includes lectures 5-11
Name | Mastery | Learn | Test | Matching | Spaced | Call with Kai |
|---|
No analytics yet
Send a link to your students to track their progress

what structure is this?
triglyceride/triacylglycerols

what is this structure?
phosphatidyl ester

what is this structure?
phosphoatidic acid

what is this structure?
sterol/cholesterol

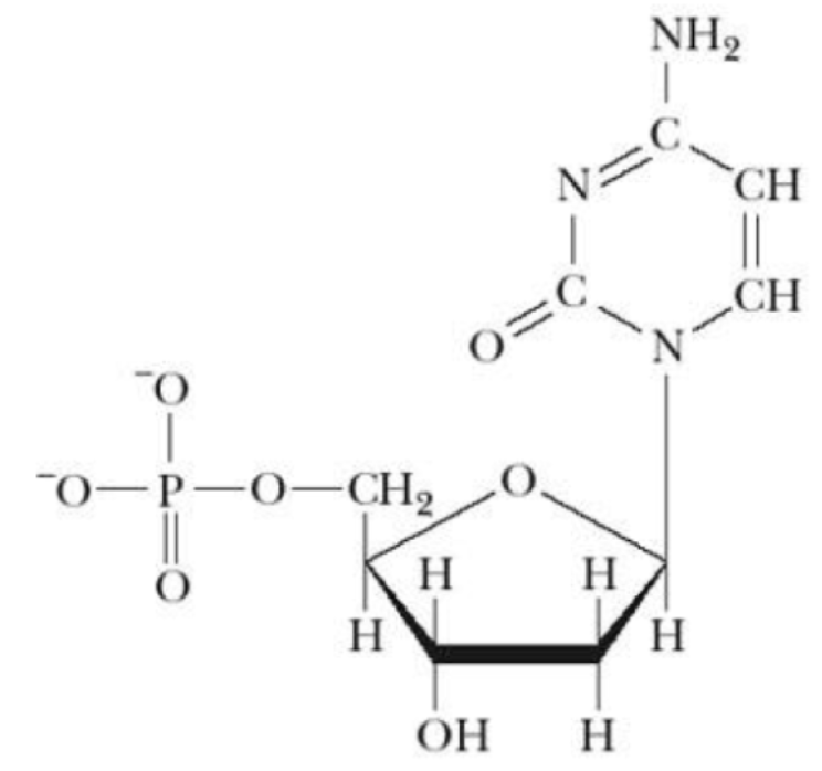
what is this structure?
dCMP

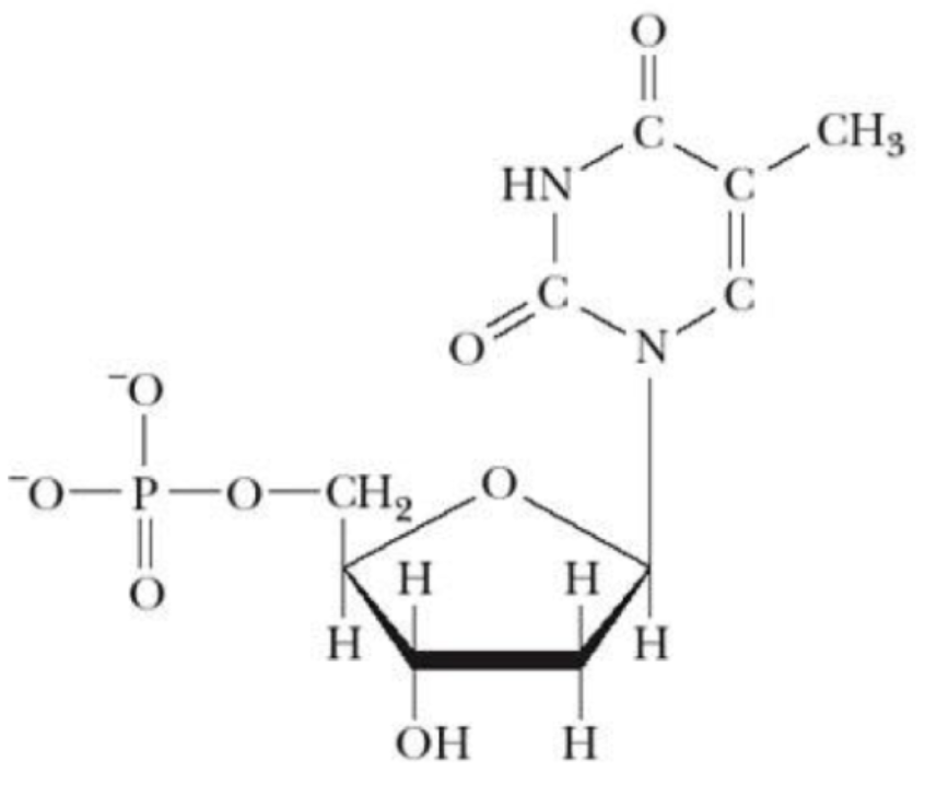
what is this structure?
dTMP

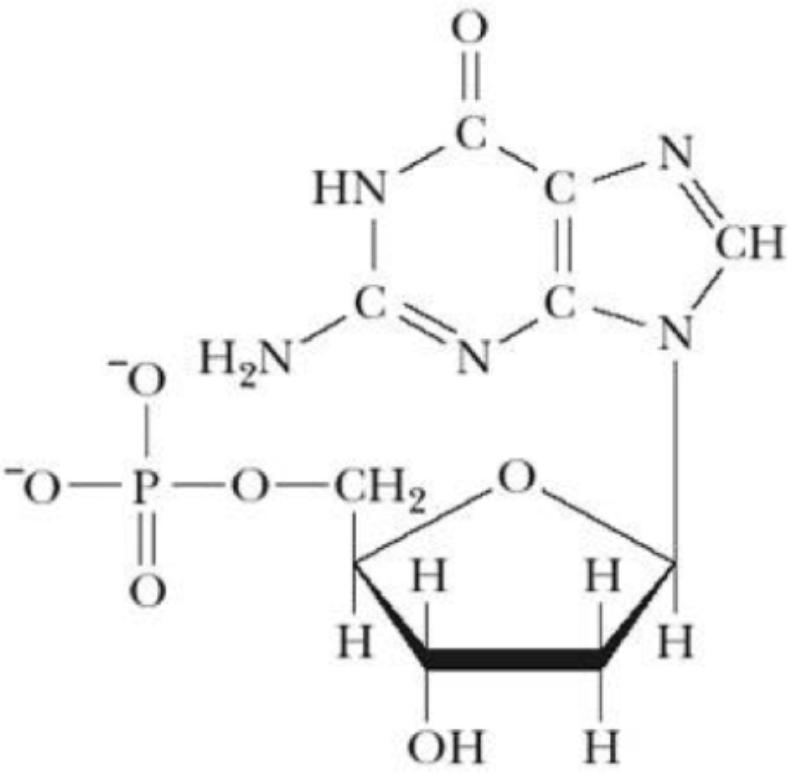
what is this structure?
dGMP

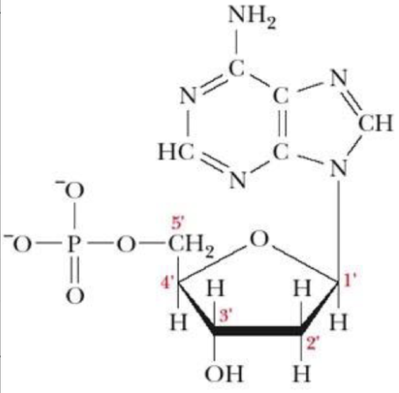
what is this structure?
dAMP

what is this structure?
Guanine

what is this structure?
Adenine

what is this structure?
Uracil

what is this structure?
Thymine

what is this structure?
Cytosine
who found the kinetics of enzyme/substrate interaction?
Michaelis & Menten
who determined how to find Km & Vmax?
Lineweaver & Burk
who discovered the inheritance of traits?
Mendel - mendelian genetics
who discovered the nuclein in the nucleus?
Miescher
who discovered the units of DNA (base, sugar, phosphate, nucleotide units)?
Levene
who discovered that DNA is hereditary?
Hershey & Chase
who discovered the double helix structure and the central dogma of molecular biology (DNA → RNA → protein)?
Watson & Crick
who started the human genome project?
Watson
who proved semi-conservative DNA replication?
Stahl & Meselson
who discovered tRNA?
Holley
who cracked the genetic code?
Nirenberg & Khorana
who made recombinant/artificial DNA?
Berg
who invented PCR and came up w/ the idea to use DNA polymerase?
Mullis
what equation do you use for transport?
∆G = RT * ln ( [Cgoing] / [Cfrom] )
what equation do you use for enzyme kinetics?
V0 = (Vmax [S]) / (Km + [S])