1/15
Looks like no tags are added yet.
Name | Mastery | Learn | Test | Matching | Spaced | Call with Kai |
|---|
No analytics yet
Send a link to your students to track their progress

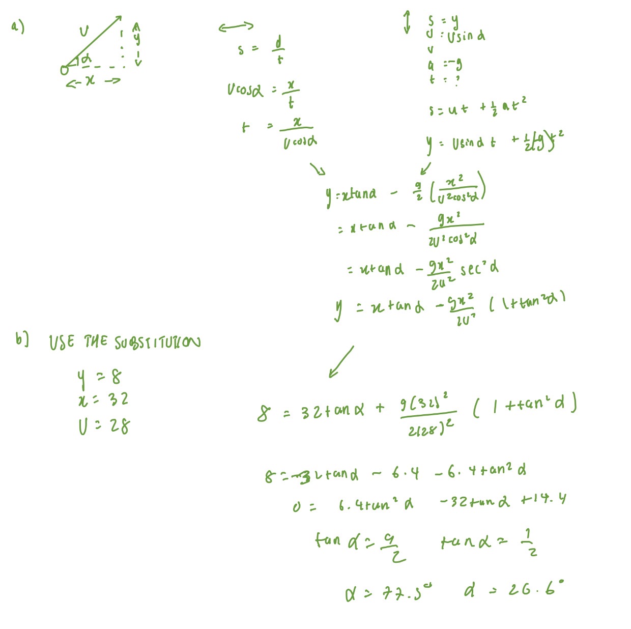
Describe how the model you have used could be refined. Explain how refinement would affect your answer.







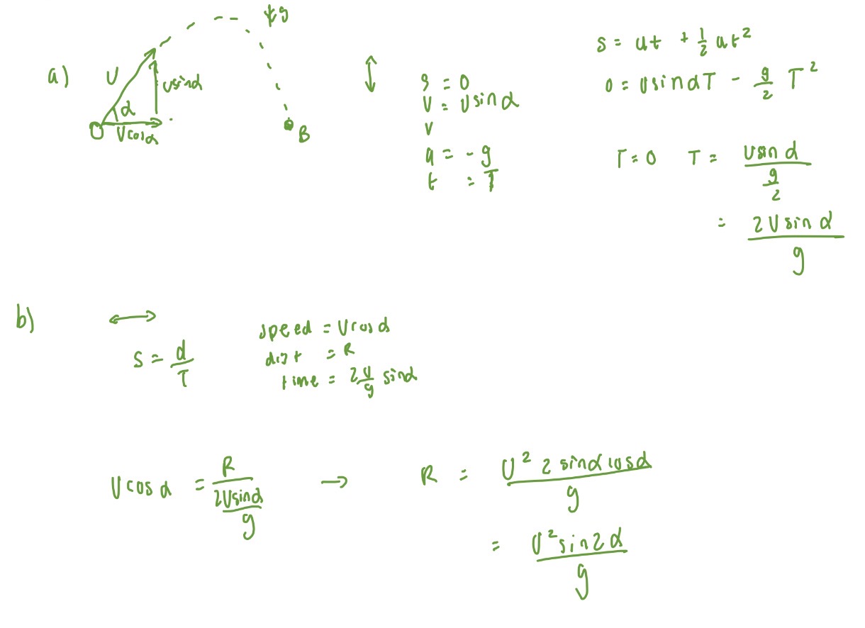
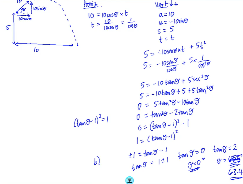
Give the 2 assumptions made for projectile motion
Modelled as particle
No air resistance
How is acceleration considered in projectile motion?

In projectiles, when a particle is at its highest point,
v = 0
Speed in projectiles
Found by finding the magnitude of velocity in vertical and horizontal motion














