1/57
Looks like no tags are added yet.
Name | Mastery | Learn | Test | Matching | Spaced | Call with Kai |
|---|
No analytics yet
Send a link to your students to track their progress

B. All other processes use up energy.
List three reasons why not all biomass is transferred from one trophic level to the next.
1. Not all of the organism is eaten (e.g., bones, roots). 2. Some is lost as undigested food (egestion/faeces). 3. Some is used in respiration and lost as metabolic waste (CO2, urea).

D. Soil needs to be kept moist and ensure that the early plant doesn’t end up wilting.
Define "Vegetative Propagation" in the context of plant cloning.
A form of natural asexual reproduction where a plant grows from a fragment of the parent plant, such as a stem cutting.
What are the three main commercial uses of plant hormones in cloning/growth?
1. Rooting powders (auxins) to stimulate root growth in cuttings. 2. Hormonal weed killers. 3. Controlling fruit ripening.
List two requirements for successful micropropagation (tissue culture) that are NOT required for taking cuttings.
1. Aseptic (sterile) conditions to prevent microorganism growth. 2. Nutrient-rich medium like agar jelly.
Taking a cutting often involves removing the terminal bud (the top). Explain the role of auxins and apical dominance in how this helps the cutting develop side shoots.
Hormonal Control: Removing the terminal bud reduces auxin production at the tip, breaking apical dominance. This allows lateral buds to grow into side shoots, creating a bushier plant.
If a farmer clones an entire field of potatoes using cuttings (monoculture), explain the risk to the crop if a new pathogen, such as Phytophthora infestans (potato late blight), enters the area.
A cloned field has no genetic biodiversity (it is a monoculture). If a pathogen like late blight enters, every plant is equally susceptible; because there is no genetic variation, no individuals possess natural resistance to survive and reproduce, potentially leading to total crop failure.
Provide one argument for and one argument against the use of artificial cloning in agriculture.
For: Allows for the rapid production of high-yield, disease-resistant crops with consistent quality.
Against: Cloning decreases the gene pool, making populations more vulnerable to environmental change or new diseases.

C. Fermentation requires specific controlled temperatures and conditions, so this is left relatively redundant.

D. This is because when measuring something, you need to account for measuring it at the start and at the end of whatever it is being measured. This means that you would need to do 0.5 × 2 = 1mm.
The 0.5 is from the resolution of the ruler, which is divided by 2 for a single reading.
Divide 1/50 to get 0.02, 2%.
Why do climax communities have higher animal biodiversity?
Increased plant structural complexity provides more varied habitats and food sources, creating more ecological niches.
Define pioneer species in terms of their life strategy.
They are often r-strategists: they reproduce quickly, have high dispersal, and can tolerate extreme abiotic conditions.
What are the three core roles of the cytoskeleton in a eukaryotic cell?
1. Providing mechanical strength.
2. Aiding transport of organelles/vesicles within the cell.
3. Enabling cell movement (e.g., via cilia/flagella).

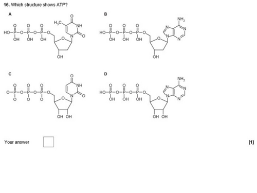
D.
The Breakdown: ATP (Adenosine Triphosphate) must have:
A ribose sugar (look for two -OH groups at the bottom of the ring).
An adenine base (the double-ring structure).
+1
Three phosphate groups.
Comparison: Structure B has deoxyribose (missing an oxygen), which would make it part of DNA, not ATP.
What are the three main categories of evidence for evolution (excluding fossils)?
1. Molecular Evidence (DNA/proteins),
2. Comparative Anatomy (Homologous structures),
3. Observable Evolution (Pesticide/Drug resistance).
How does cytochrome c provide evidence for evolution?
It is a highly conserved protein; the fewer differences in its amino acid sequence between two species, the more recently they shared a common ancestor.
Define homologous structures and provide an example.
Physical features shared by different species because they were inherited from a common ancestor (e.g., the pentadactyl limb in vertebrates).
Give a modern example of "evolution in action" mentioned in the OCR spec.
The development of antibiotic resistance in bacteria (e.g., MRSA) or pesticide resistance in insects.
6-Mark Model Answer: Describe types of evidence for evolution (Molecular).
1. Molecular Evidence: Compare similarities and differences in DNA, RNA, or proteins.
2. Specific Molecules: Use highly conserved molecules like cytochrome c, haemoglobin, or ATP synthase.
3. Sequencing: Look for similarities in the order of nucleotides/bases in DNA or amino acids in proteins.
4. Ancestry: The more similar the biological molecules, the more recently the organisms shared a common ancestor.
6-Mark Model Answer: Describe types of evidence for evolution (Observation & Anatomy).
Evolution in Action: Evidence from human history, such as MRSA resistance to antibiotics or examples from selective breeding.
6. Comparative Biology: Comparisons of anatomy (e.g., the vertebrate pentadactyl limb), embryology, or physiology.
Outline the process of natural selection leading to antibiotic resistance in bacteria. [4 marks]
1. Genetic variation occurs due to spontaneous mutation, creating a resistance allele.
2. The antibiotic acts as a selection pressure.
3. Resistant bacteria survive while non-resistant ones die.
4. Resistant individuals reproduce and pass the advantageous allele to offspring.
5. The frequency of the resistance allele increases in the population over time.
Why is the pentadactyl limb (found in humans, bats, and whales) considered better evidence for evolution than just having "wings" or "fins"?
The pentadactyl limb is considered superior evidence because it is a homologous structure. While wings and fins might perform similar functions (analogous structures), they often have different internal structures.
What are homologous structures?
Physical features shared by different species because they were inherited from a common ancestor. These structures may look different or perform different functions now, but they share the same underlying anatomical plan.
Example: The pentadactyl limb found in humans, bats, and whales.
Significance: They provide evidence for a shared evolutionary origin.
What are analogous structures?
Features that perform a similar function but have a different evolutionary origin and different internal structure. They are not inherited from a common ancestor with that trait.
What is divergent evolution?
The process where two or more related species become progressively more different from each other over time. This usually occurs when a population is separated by a geographic barrier or moves into new niches.
What is convergent evolution?
The process where unrelated species evolve similar traits because they are adapted to similar environments or selection pressures.
Why is oxygen essential for the nitrogen cycle in soil?
Oxygen is required for nitrification, where aerobic bacteria like Nitrosomonas and Nitrobacter convert ammonium ions into nitrites and then nitrates.

Conditions favour denitrifying bacteria
So increased denitrification.
What happens to nitrogen compounds in anaerobic (waterlogged) soil?
Denitrifying bacteria convert nitrates back into nitrogen gas (N2), reducing the fertility of the soil for plants.
How does low oxygen specifically affect a plant's ability to take up minerals?
It limits aerobic respiration in roots, leading to a lack of ATP. Without ATP, root hair cells cannot perform active transport to take up nitrates against a concentration gradient.
List the four key genera of bacteria involved in the nitrogen cycle and their roles.
Nitrosomonas: Nitrification (Ammonium → Nitrites). 2. Nitrobacter: Nitrification (Nitrites → Nitrates). 3. Azotobacter/Rhizobium: Nitrogen Fixation (N2 gas → Ammonia/Ammonium). 4. Denitrifying bacteria (e.g., Pseudomonas): Denitrification (Nitrates → N2 gas).

i) 0.68
ii) (n/N)² larger.
*reference the variables affected in the formula.
Compare Plant Species: Pioneer vs. Climax Community.
* Pioneer: Small, fast-growing, short life cycles, and produce vast quantities of wind-dispersed seeds/spores.
Climax: Larger, slow-growing, long-lived, and often "dominant" species (like oak trees).
Diversity: Climax communities have significantly more species than pioneer communities.
Compare Animal Species: Pioneer vs. Climax Community.
Pioneer: Very few animal species present, and those that are tend to be small.
Climax: Many more species present, including higher numbers of herbivores, carnivores, and longer food chains.
Compare Environmental Tolerance: Pioneer vs. Climax Community.
* Pioneer: Species are xerophytic and able to tolerate extreme environments (no soil, low water).
Climax: Species are less tolerant of extremes; they require deep, stable soil with ample water and minerals.
Why is a climax community usually more stable than a pioneer community in terms of its food web?
The climax community is more stable because it has higher species diversity and more complex food webs.
Alternative Pathways: In a climax community, there are more herbivore and carnivore species, meaning there are multiple food sources for each predator.
Resilience: If one species population declines, predators can switch to an alternative prey, preventing the collapse of the entire community.
Pioneer Contrast: In a pioneer community, food chains are very short; if one species is removed, the entire community is significantly disrupted.
As succession progresses from a pioneer community to a climax community, how would the total biomass of the ecosystem change, and why?
Total biomass increases significantly as succession progresses from a pioneer community to a climax community.
Soil Depth: As pioneer species die and decompose, they increase the organic component of the soil, allowing larger plants like shrubs and trees to grow.
Plant Size: These larger plants have much higher individual biomass than the small, fast-growing pioneer plants.
Trophic Levels: Increased plant biomass supports a greater number of primary and secondary consumers, further increasing the total biomass of the ecosystem.
How does cohesion benefit small organisms like pond skaters?
It creates surface tension, allowing them to move across the surface of water without sinking.


