1/17
Looks like no tags are added yet.
Name | Mastery | Learn | Test | Matching | Spaced | Call with Kai |
|---|
No analytics yet
Send a link to your students to track their progress

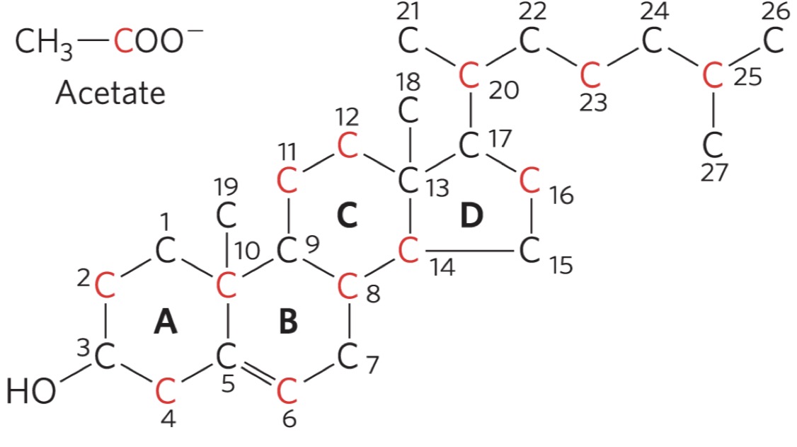
Cholesterol

Cholesterol

Mevalonate

Activated isoprene

Squalene

Mevalonate

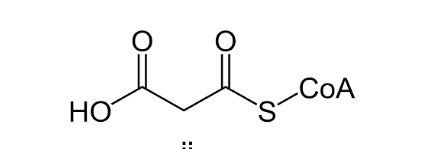
HMG-CoA

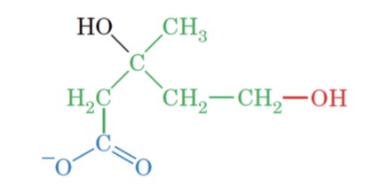
Mevalonate

Phosphomevalonate

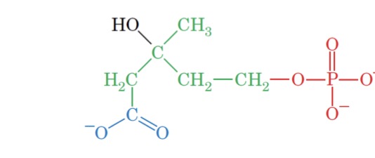
Isopentenyl Pyrophosphate

5-Pyrophosphomevalonate

Dimethylallyl pyrophosphate

Geranyl pyrophosphate

Farnesyl pyrophosphate

Squalene

Cholesterol

Isopentenyl pyrophosphate

Malonyl-COA