1/78
Looks like no tags are added yet.
Name | Mastery | Learn | Test | Matching | Spaced | Call with Kai |
|---|
No analytics yet
Send a link to your students to track their progress
What is nitrogen used in?
Nitrogen —> N —> amino acids or nucleotides —> part of protein or DNA/RNA
What is phosphorus used in?
Phosphorus —> P —> phosphate group —> DNA/RNA backbone, ATP, phospholipids
What is Sulfur used in?
Sulfur —> S —> disulfide bridges —> protein shape
What is carbohydrate’s monomer?
monosaccharide
What bond do carbohydrates have?
glycosidic linkage
What are the functions of carbohydrates?
short term energy storage, structural supportW
What elements are in carbohydrates?
C,H, O in 1:2:1 ratio
Are carbohydrates polar or nonpolar? Why?
polar because of hydroxyl groups
What are lipid’s monomer?
glycerol and fatty acids
What bond is in lipids?
ester bonds
What are the functions of lipids?
long term energy storage, insulationW
What elements are in lipids?
C, H, O
Are lipids polar or nonpolar?
nonpolar
What do triglycerides look like?
glycerol and 3 fatty acids

What are saturated lipids?
C-C single bond, solid at room temperature, butter, fat
What are unsaturated lipids?
C=C double bonds, liquid at room temp, oils, maintain membrane fluidity
What do phospholipids look like?
phosphate group head and 2 fatty acid tails

What do steroids look like?
4 fused rings, cholesterol, hormones

What is nucleic acid’s monomer?
nucleotides
What bond is in nucleic acids?
phosphodiester
What is the function of nucleic acids?
store, copy, and transmit genetic information
What elements are in nucleic acids?
C, H, O, N, P
Are nucleic acids polar or nonpolar? Why?
polar because of phosphate group back bone
What are protein’s monomer?
amino acids
What bond are in proteins?
peptide
What is the function of proteins?
basically everything (store amino acids, provide structure, transport, respond to stimuli, hormones, protect against diseases, movement, enzymes)W
What elements are in proteins?
C, H, O, N, S
Are proteins polar or nonpolar? Why?
both, R groups determine polarity
What is a hydroxyl group?
OH, makes things more polar/hydrophilic
What are carboxyl groups?
COOH, acidic, donates H+W
What are amino groups?
NH2, basic, accepts H+
What are phosphate groups?
PO4, adds negative charge, in ATP and nucleic acids
What are sulfhydryl groups?
SH, forms disulfide bridges, locks protein shape

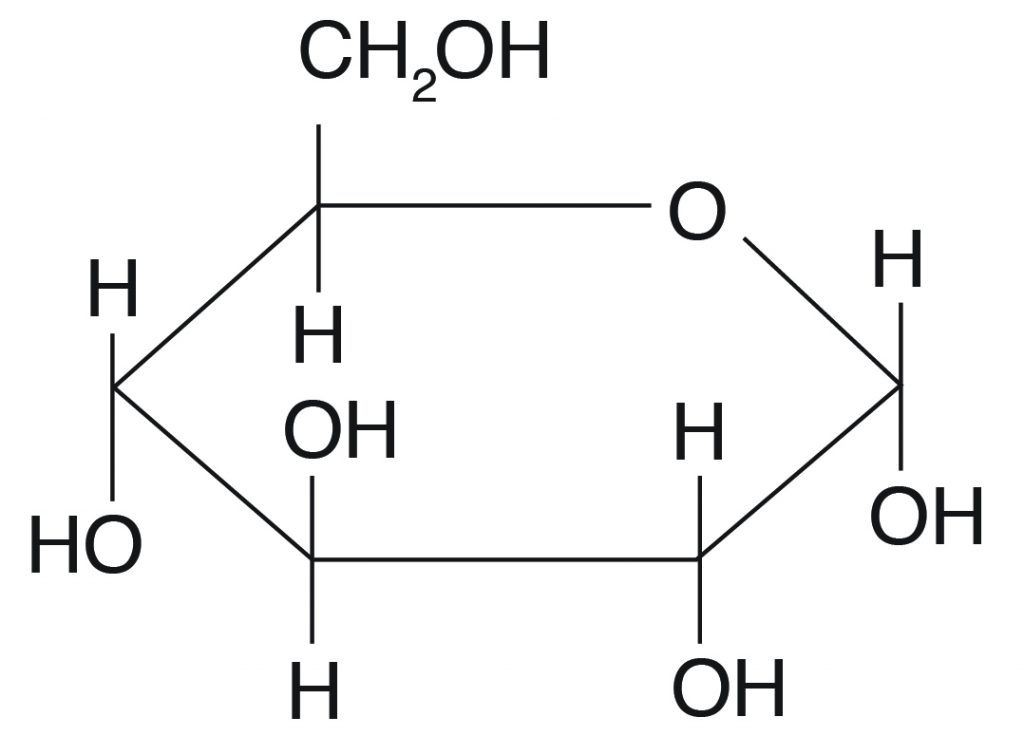
What is this?
carbohydrates

What is this?
lipids

What is this?
nucleic acid

What is this?
protein
What is cytosol?
the fluid like substance inside all cells
What do chromosomes do?
carry genes
What do ribosomes do?
make proteins
What is the cytoplasm?
the interior of the cell
What does the rough ER do?
makes proteins to be used elsewhere
What does the smooth ER do?
makes lipids and hormones
What does the nucleus do?
stores DNA
What is the nuclear envelope?
double membrane enclosing nucleus
What does the nucleolus do?
produces ribosomes
What does the Golgi Apparatus do?
modifies and transports cell products
What does the centriole do?
organizes for cell division and forms cilia and flagella
What do lysosomes do?
digest molecules
What does the mitochondria do?
converts energy to ATP, cellular respiration
What does the peroxisome do?
detoxifies, produces hydrogen peroxide as by product
What does microvilli do?
increase cell’s surface area
What does the cytoskeleton do?
supports cell shape, aids in transport
What does the centrosome do?
organizes cell’s microtubules
What does flagella do?
moves the cell, whip-like tail
What does the central vacuole do?
main storage molecule in plants that stores water and breaks down waste
What do chloroplasts do?
photosynthesis, convert light energy to chemical energy
What do plasmodesmata do?
channels through cell walls that connect cells together
What does the cell wall do?
maintains cell shape and protects it
What does an animal cell do in a hypotonic solution?
water enters, cell bursts
What does an animal cell do in a isotonic solution?
water enters and leaves, cell is normal
What does an animal cell do in a hypertonic solution?
water leaves, cell shrivels
What does a plant cell do in a hypotonic solution?
water enters, cell is normal and turgid
What does a plant cell do in a isotonic solution?
water enters and leaves, cell is flaccid
What happens to a plant cell in a hypertonic solution?
water leaves, cell is plasmolyzed
What is phagocytosis?
cell “eating”
What is pinocytosis?
cell “drinking”
What is receptor-mediated endocytosis?
cell being “picky”
What does glycoproteins do?
act as ID tags for cell recognition
What does cholesterol do?
maintains membrane fluidity in animal cells
Where does glycolysis take place?
cytosol
What are unsaturated lipids?
have double bonds which prevent tight packing and increase fluidity
What are saturated lipids?
have single bonds and decrease fludity
What does hypo mean?
hypo = hippo, a hippo in water is big and swollen. Hypotonic solution makes a cell swell
What does hyper mean?
hyper = hibernation, shrivel/dry vibes. Water leaves, cell shrivels
What does primary transport do?
uses ATP directly
What does secondary transport do?
cotransport, uses ATP indirectly
What does symport mean?
both move in the same directions
What does antiport mean?
both move in opposite directions