1/3
Looks like no tags are added yet.
Name | Mastery | Learn | Test | Matching | Spaced | Call with Kai |
|---|
No analytics yet
Send a link to your students to track their progress

C’est quoi ?
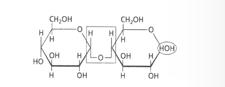
Lactose
Galactose (pyranose) + glucose (pyranose)
1-4
Réducteur

C’est quoi ?
Maltose
Glucose + glucose
1-4
Polyholosides
Réducteur

C’est quoi ?
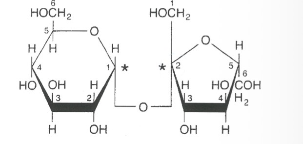
Saccharose
Alpha => beta
Glucose (pyranose) alpha + fructose (furanose) beta
1-2
Non réducteur
Tu crois tié un tigre, t’es le chien prankeur a utiliser ma liste comme ca
.
