1/13
W13V1
Name | Mastery | Learn | Test | Matching | Spaced | Call with Kai |
|---|
No analytics yet
Send a link to your students to track their progress
Empennage
Collection of control surfaces at the rear.
What does the elevator control and which way is positive?
Pitch, and positive is nose up.
What does the rudder control and which way is positive?
Yaw, and nose to the right is positive.
What does the aileron control and which way is positive?
Roll rate, and positive is right wing down.
Secondary effects of the elevator?
Change in angle of attack = change in lift and drag = change in longitudinal motion.
Secondary effects of the rudder?
Roll due to sideslip.
Secondary effects of the aileron?
Yaw due to roll rate and differential aileron drag.
What is the ¼ chord line?
Line that connects the 25% from the front of the root chord to 25% from the front of the tip chord.
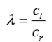
Wing taper ratio
Where ct is the length of tip chord, and cr is the length of root chord.

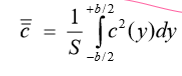
Standard mean chord (SMC) (or geometric mean chord)
Where S is the total plan area, and b is the span.

Aspect Ratio “thinness of the wing”.
Where b is the span, c is the standard mean chord, and S is the total plan area.

Mean aerodynamic chord (MAC)

Anhedral
Negative (points down) - and unstable.
Dihedral
Positive (points up) and stable.