1/6
Looks like no tags are added yet.
Name | Mastery | Learn | Test | Matching | Spaced | Call with Kai |
|---|
No analytics yet
Send a link to your students to track their progress

HYDROPHILIC: Hydroxyl group
Serine (Ser, S)

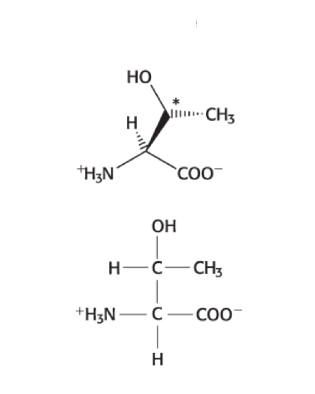
HYDROPHILIC: Hydroxyl group on carbon chain
Threonine (Thr, T)

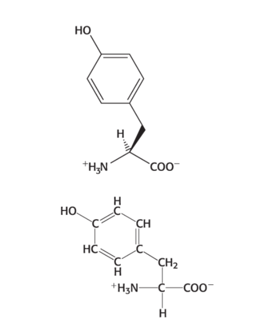
HYDROPHILIC: Hydroxybenzene group
Tyrosine (Tyr, Y)

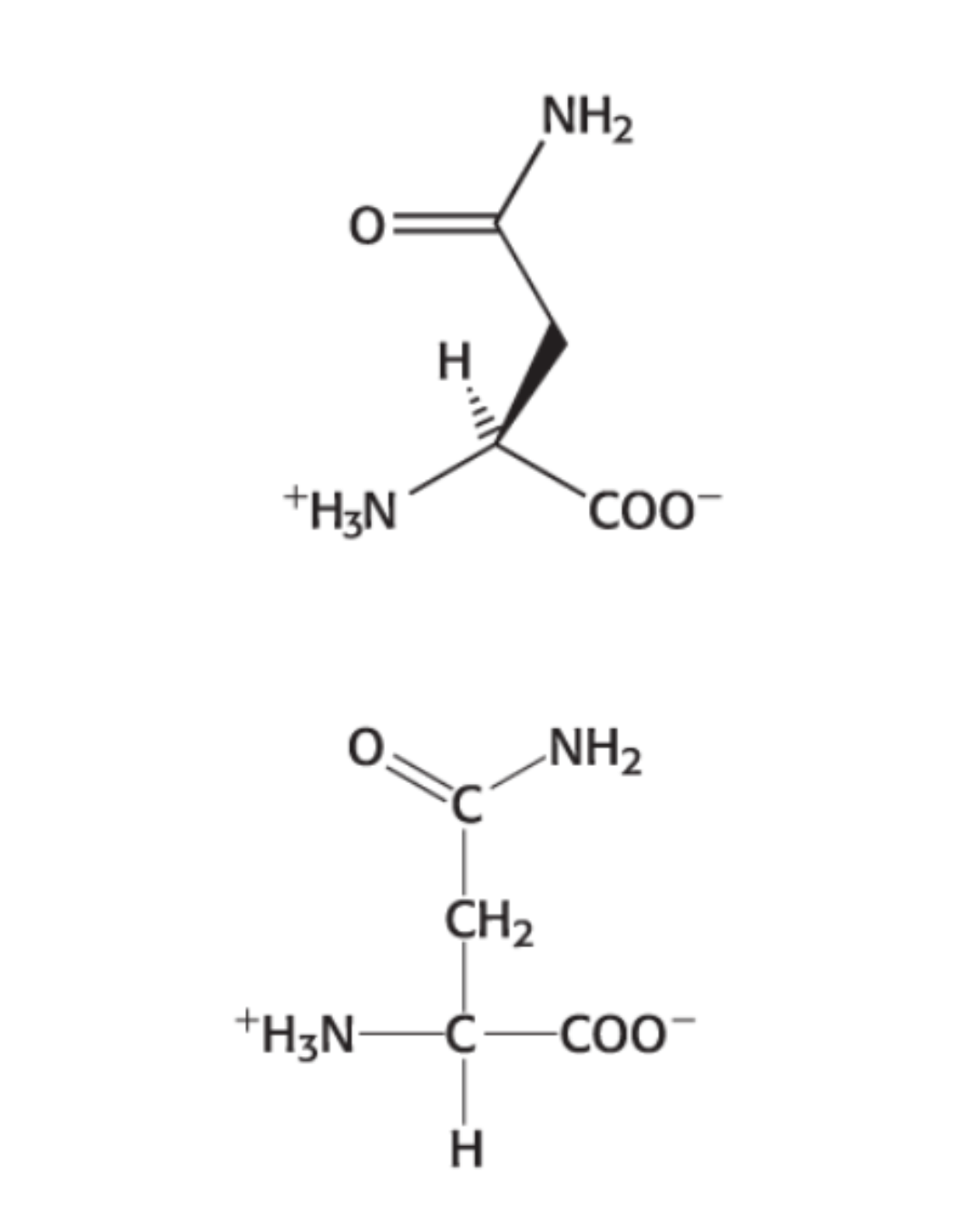
HYDROPHILIC: Amide group at the second carbon
Asparagine (Asn, N)

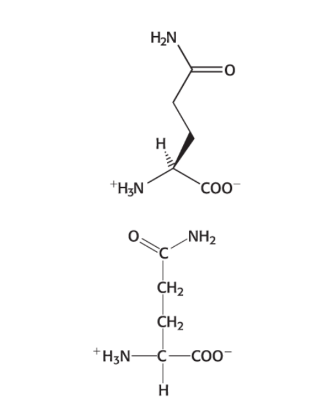
HYDROPHILIC: Amide group at the third carbon
Glutamine (Gln, Q)

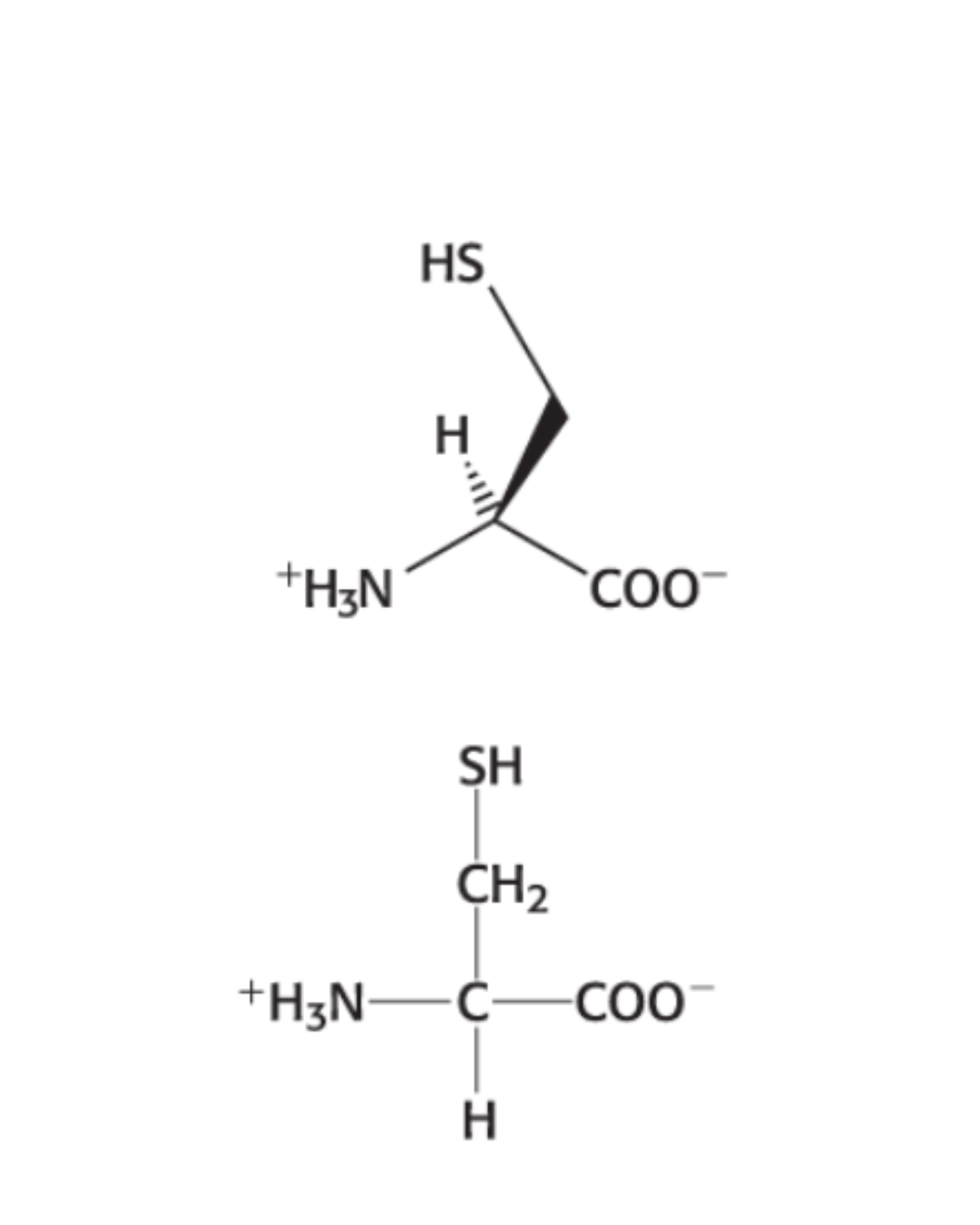
HYDROPHILIC: Hydrogen sulfur group
Cysteine: (Cys, C)

HYDROPHILIC: Imizadole ring
Histidine (His, H)