1/82
Looks like no tags are added yet.
Name | Mastery | Learn | Test | Matching | Spaced | Call with Kai |
|---|
No analytics yet
Send a link to your students to track their progress
Natural selection changes allele frequencies because some ________ survive and reproduce better than others.
alleles
loci
species
individuals
individuals
Sparrows with average-sized wings survive severe storms better than those with longer or shorter wings, illustrating
the bottleneck effect.
disruptive selection.
frequency-dependent selection.
stabilizing selection.
stabilizing selection
If the nucleotide variability of a locus equals 0%, what are the gene variability and number of alleles at that locus?
gene variability=0%; number of alleles=0
gene variability=0%; number of alleles=1
gene variability=0%; number of alleles=2
gene variability>0%; number of alleles=2
gene variability= 0%, number of alleles= 1
There are 25 individuals in population 1, all with genotype AA, and there are 40 individuals in population 2, all with genotype aa. Assume that these populations are located far from each other and that their environmental conditions are very similar. Based on the information given here, the observed genetic variation most likely resulted from
genetic drift.
gene flow.
nonrandom mating.
directional selection.
genetic drift
A fruit fly population has a gene with two alleles, A1 and A2. Tests show that 70% of the gametes produced in the population contain the A1 allele. If the population is in Hardy-Weinberg equilibrium, what proportion of the flies carry both A1 and A2?
0.7
0.49
0.42
0.21
0.42
In terms of populations, how do we define evolution?
Evolution is a change in a population's allele frequencies over generations.
Which mechanism(s) can alter allele frequencies?
gene flow
genetic drift
natural selection
Which can form entirely new alleles?
mutations
Sexual recombination includes the shuffling of chromosomes in __________ and fertilization.
meiosis I
Which type of mutation plays the most important role in increasing the number of genes in the gene pool?
gene duplication
In a large population of randomly breeding organisms, the frequency of a recessive allele is initially 0.3. There is no migration and no selection. Humans enter this ecosystem and selectively hunt individuals showing the dominant trait. When the gene frequency is reexamined at the end of the year, __________.
the frequency of the homozygous dominants will go down, the frequency of the heterozygous genotype will go down, and the frequency of the homozygous recessives will go up
In a large population of bonobos, the frequency of the recessive allele is initially 0.1. What is the frequency of the dominant allele if there are two alleles of this gene?
90%
Approximately 1 out of every 2,500 Caucasians in the United States is born with the recessive disease cystic fibrosis. According to the Hardy-Weinberg equilibrium, approximately what percentage of people are carriers?
about 4%
In a certain group of African people, 4% are born with sickle-cell disease (homozygous recessive). If this group is in Hardy-Weinberg equilibrium, what percentage of the group is heterozygous and, thus, resistant to malaria?
32%
Consider a population in Hardy-Weinberg equilibrium for a character trait with these genotypic frequencies: AA = 0.25, Aa = 0.50 and aa = 0.25. If you remove all the homozygous dominants and allow the remaining population to reproduce (again under Hardy-Weinberg conditions), what will be the frequency of homozygous dominants in the next generation?
0.11
Which set of conditions is required for Hardy-Weinberg equilibrium?
random mating, no natural selection, and a large population
__________ and __________ generate variation, whereas __________ results in an adaptation to the environment
Mutation … sexual recombination … natural selection
A population of 15 birds inhabits a fairly new island. Ten of the birds are dark brown and five of them are light brown. By chance, two of the dark brown birds and three of the light brown birds die before producing any offspring. All of the birds in the next generation are dark brown. This change in phenotypic frequency can be attributed to __________.
genetic drift
An earthquake hits a small island. All but a small group of closely related lizards are eliminated, and the survivors spread out over the island. This is an instance of __________.
bottleneck effect
Which scenario would most likely result in the microevolution of a population of humans?
A colony of humans on the moon is isolated from Earth.
Which is the best example of gene flow?
Wind blows pollen from one population of plants to another and cross-fertilization occurs.
Which most accurately measures an organism's fitness?
how many fertile offspring it produces
Antibiotic resistance in bacteria is an example of what?
directional selection
For several years, scientists have warned doctors of the danger of overprescribing antibiotics such as penicillin. Scientists are concerned because __________.
strains of microorganisms that are resistant to these drugs will be selected for
A population of squirrels is preyed on by small hawks. The smaller squirrels can escape into burrows. The larger squirrels can fight off the hawks. After several generations, the squirrels in the area tend to be very small or very large. What process is responsible for this outcome?
disruptive selection
Stabilizing selection __________.
favors intermediate variants in a population
Birds with average-size wings survived a severe storm more successfully than other birds in the same population with longer or shorter wings. If severe storms occur regularly, then over time, one should expect these storms to bring about __________.
stabilizing selection
Tay-Sachs disease, which is lethal, results from being homozygous recessive for one gene. Which statement is true?
Heterozygous individuals will survive and may pass the recessive allele on to their offspring
Which type of selection maintains stable frequencies for two or more phenotypic forms in a population?
balancing selection
Which describes an example of neutral variation?
human fingerprints
What is the importance of neutral variation in evolution?
Neutral variation increases genetic variation, allowing a population to carry more alleles that may help it respond to environmental change
Selection that acts over evolutionary time to preserve traits that increase an individual's ability to mate is known as __________.
sexual selection
Which statement is true about sexual selection?
Sexual selection can result in sexual dimorphism—marked differences between the sexes in secondary sexual characteristics that are not associated directly with reproduction.
How does natural selection fashion organisms?
Chance and the environment interact with natural selection, so that the best available traits are selected for.
A number of mosquito populations today are resistant to insecticides that were once quite effective. Biologists think that insecticide resistance evolved in mosquitoes because __________.
a few mosquitoes were probably resistant to the insecticide before it was ever used, and these individuals were more likely to survive and reproduce
There are 25 individuals in population 1, all with genotype AA, and there are 40 individuals in population 2, all with genotype aa. Assume that these populations are located far from each other and that their environmental conditions are very similar. Based on the information given here, the observed genetic variation most likely resulted from __________.
genetic drift
No two people are genetically identical, except for identical twins. The main source of genetic variation among humans is __________.
the reshuffling of alleles in sexual reproduction
Natural selection changes allele frequencies because some __________ survive and reproduce better than others.
individuals
To calculate the frequency of the brown allele, count the number of _____ and divide by the total number of alleles in this population.
brown alleles
In this beetle population, the number of brown alleles is ____
8
In this beetle population, the total number of alleles is _____
20
The frequency of the brown allele in this beetle population is ___
0.4

Natural selection
Consistently causes a population to become better adapted to its enviorment
a result of differential success in reproduction

Genetic drift
Can result from the founder effect
can result from the bottleneck effect
causes allele frequencies to fluctuate randomly

gene flow
can introduce new alleles into a populations gene pool
a result of the movement of fertile individuals or their gametes
The frequency of the green allele in this beetle population is ____
0.6

a
natural seelction

b
frequency of white allele increases

c
genetic drift

d
frequency of purple allele increases

e
genetic drift

f
allele frequencies change but not predictably

g
natural selection

h
frequency of purple allele increases

i
gene flow

j
frequency of white allele increases

what is the frequency of cats with long tails in the population?
0.84

What is the frequency of cats with short tails in the population?
0.18

What is the frequency of cats that are homozygous dominant in the population?
0.36

What is the frequency of the T allele in the gene pool of this population
0.60

what is the frequency of the t allele int eh green pool of this population?
0.40

use the Hardy-weinberg equation to predict the prequency of heterozygous cats int eh next geenration
0.48

Use the Hardy-Weinberg equation to predict the frequency of homozygous recessive catsin the next generation
0.16

Use the HArdy-Weinberg equation and your answer to question 7 to estimate the frequency of hte recessive allele t in the next generation
0.40

Parents
According ot Mendels Law of segregation, what is the probability that a gamete (egg or sperm from an Rr parent carries an R allele?
50%

Parents
what is the probability that a gemete from an Rr parent carries an r allele?
50%

Offspring
When an Rr female is crossed with an Rr male, what is the probability of producing a homozygous dominant (RR) offspring?
25%

Offspring
What is the probability of producing a homozygous recessive (rr) offspring?
25%

Offspring
What is the probability of producing a heterozygous (Rr) offspring?
50%

Select the 5 statements that are true
Heterozygotes make up 20% of the population.
Homozygotes make up 80% of the population.
In the entire cat population, 60% of the alleles are TS.
In the entire cat population, the frequency of the TL allele is 0.4.
Assuming random mating, each gamete has a 40% chance of having a TL allele and a 60% chance of having a TS allele.

a
0.16

b
0.48

c
0.36

select the four statements that are true
Based on the equation for Hardy-Weinberg equilibrium, the expected number of wolves with the FBFB genotype is 12.
Based on the equation for Hardy-Weinberg equilibrium, the expected number of wolves with the FBFW genotype is 96
The population may be evolving because the actual number of individuals with each genotype differs from the expected number of individuals with each genotype.
The population is not at Hardy-Weinberg equilibrium.
Reconsider our flower population of 500 individuals with p=0.8 (CR) & q=0.2 (CW).
There are 1000 copies of the gene; 800 CR and 200 CW.
The probability of selecting CR CR alleles is:
0.64 = 64%

Reconsider our flower population of 500 individuals with p=0.8 (CR) & q=0.2 (CW).
There are 1000 copies of the gene; 800 CR and 200 CW.
The frequency of CWCW individuals is:
0.04 = 4%

Reconsider our flower population of 500 individuals with p=0.8 (CR) & q=0.2 (CW).
There are 1000 copies of the gene; 800 CR and 200 CW.
Heterozygotes can be CRCW or CwCR
0.32 = 32%

We can Write the equation for the gene pool of htease 2 alleles as:
P2 + 2pq + q2 = 1
p + q = 1
Phenylketonuria (PKU) is a recessive disorder that
affects 1 in 10,000 babies. What is the frequency of
carriers in a population?
1.98%

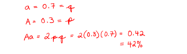
In a Hardy-Weinberg population, the frequency of
the a allele is 0.7. What is the frequency of
individuals with Aa genotype?
42%

A population of purple flowers has 10 plants. Purple
is dominant to white. There are 3 heterozygous
plants. What is the allele frequency of this
population?
p = 0.85
q = 0.15

Consider the previous question. The population of
flowers reaches 10,000. How many plants will have
white flowers?
225 white flowers
