1/23
Looks like no tags are added yet.
Name | Mastery | Learn | Test | Matching | Spaced | Call with Kai |
|---|
No analytics yet
Send a link to your students to track their progress
Describe fission
Take a large fissile nuclear (eg. U235 or Pu239)
Interact with a neutron
Nucleus becomes unstable, vibrates deforms and splits
Forms
Lighter nuclei (fission products)
Kinetic energy
Gamma
Free neutrons (key for chain reaction)
Advantages and disadvantages of fusion
ADV
Fusion materials are more plentiful
Much less radioactive waste
Waste decays away much quicker
DIS
Thermonuclear fusion - ~100 million degrees
Costs a lot
Structural materials need to endure extreme conditions
Configuration to prevent plasma from touching reactor walls
Energy input vs output
Define fissile
Capable of sustaining a chain reaction of nuclear fission, with neutrons of any energy (any - slow thermal neutrons)
Define fissionable
Capable of undergoing fission
Fissile is a sub set of fissionable (low energy neutrons)
Define fertile
Can be converted to fissile with bombardment of neutrons in a reactor
Describe how U-235 and U-238 relate to fission terms
U-235 can undergo thermal fission (fission induced by absorption of slow moving neutrons
U-238 is both fissionable and fertile (can be converted into Pu-239) but not fissile only fission with high energy neutrons
Describe fission neutrons released after fission
On average around 2-3 released per fission (2.4 avg), this increases with the incident neutron energy, one additional neutron is emitted for every 6-7 MeV increase in incident neutron energy
Prompt neutrons - >99% emitted instantly (~10^-14s)
Delayed neutrons - <1% released comparatively long after the fission event
Delayed neutrons are from beta decay of some fission products
Delayed neutrons are key to control nuclear reactors
Describe the fission fragments
Almost always splits into roughly equal parts but never exactly equal
Highly energetic and highly ionised atoms
Average charge of lighter group ~ +20e
Average charge of heavier group ~ +22e
Travel short distances
Need added cladding
What is a barn?
Chance of a physical collision between a neutron and an atom
What is the mean free path of a neutron?
Average distance of travel before neutrons interact with the fission nuclei to trigger fission
Equation for collision rate
Sigma = cross section
I = Intensity flux (nv) [n = neutron number density, v = neutron speed]
X = distance
A = area
N = number density
![<p>Sigma = cross section</p><p>I = Intensity flux (nv) [n = neutron number density, v = neutron speed]</p><p>X = distance </p><p>A = area</p><p>N = number density</p>](https://assets.knowt.com/user-attachments/3e80103e-e2b2-443f-bd27-add3e039acb5.png)
Describe the cross section
Proportionality constant in the collision rate expression
Number of collisions with one nucleus/time/intensity
Sigma/A = probability that a neutron in the beam will collide with the nucleus
Sigma = micro cross section for nuclei
Sigma N = macro cross section for matrerials
Describe the two types of neutron interactions with matter

What are the equations for the 4 different adsorption reactions with neutrons?

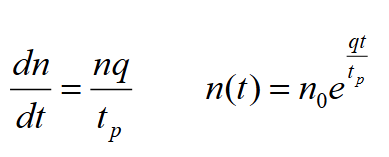
What is the neutron multiplication factor , k?
If q =k-1 >0, number of neutrons will increase by nq within time tp

What is prompt neutron lifetime?
Average time of prompt neutrons between their emission and absorption in a reactor or escape from the reactor
Equal to diffusion time plus deceleration time
For an infinite thermal reactor, diffusion time dominates therefore lifetime ~ diffusion time

What are the diffusion times for water, graphite, heavy water, fast reactor?

What are the mechanisms of radiation damage?
Transmutation - product of helium
Frenkel defects
Wigner energy (a radiation induced effect in graphite)
Describe transmutation as an effect of radiation